相关产品推荐更多 >
万千商家帮你免费找货
0 人在求购买到急需产品
- 详细信息
- 询价记录
- 文献和实验
- 技术资料
- 库存:
99
- 保质期:
已收到实际货物为准
- 供应商:
北京诺博莱德科技有限公司
- 保存条件:
已收到实际货物为准
产品特点:
- 只需其他ECL底物一半的价格-低管理费用和对消费者价格的承诺使我们可以以其他公司价格的一半将产品提供给您。(该声明基于2008 US.市场公开价)
- 无需优化-您改用我们的ECL底物之后无需进行优化和实验步骤的改变
- 您可以信赖的品牌-该产品凝聚了我们强大的技术支持和声誉

Thermo Scientific ECL底物和GE Healthcare ECL底物信号强度的比较。HeLa细胞裂解液经SDS-PAGE电泳分离后,转移至硝化纤维素膜上,并进行β-actin检测。信号经Kodak 1D Imaging Station进行分析。Error bars代表相对强度单位中±20%的差别。


Thermo Scientific ECL底物在多种条件下具有和GE ECL底物相同的表现。各个纵列分别代表三次不同的免疫印迹实验,每个纵列的两个结果除了选用不同的底物之外其余条件均相同。两种品牌底物的工作液按照操作手册进行准备,并且加到膜上1min。无论使用何种大小、类型和纯度的蛋白,或使用不同的曝光时间,ECL底物都与更贵的GE Healthcare产品有相似的表现。
订购信息:
| 产品货号 | 产品名称 | 包装 |
| 32106 | ECL免疫印迹底物 足够用于4000cm2膜的底物 |
500ml 试剂盒 |
| 32209 | ECL免疫印迹底物 足够用于2000cm2膜的底物 |
250ml试剂盒 |
| 32109 | ECL免疫印迹底物 足够用于400cm2膜的底物 |
50ml试剂盒 |
资源文章
- 免疫印迹的化学发光底物
- 当底物发生化学反应而产生的能量以光的形式释放出来的时候,我们称这个过程为化学发光。鲁米诺(luminol)是最常用的化学发光试剂之一,被过氧化物氧化后它会产生一种激发态的产物——aminophthalate。这种产物衰变至低能态的同时释放出光子。专利添加物可以提高鲁米诺反应的发光强度和持续时间(稳定性),从而使增强型化学发光(ECL)成为可能。
化学发光底物被广泛使用是因为其具有其他检测方法不具备的优点,这些优点使得化学发光成为大多数蛋白实验室首选的检测方法。使用化学发光可以通过多次曝光获得最好的成像结果。还可以将检测试剂完全去除,再对其他目的蛋白进行检测并成像,或对检测条件进行优化。具有很宽的线性响应范围,从而可以检测并定量很宽浓度范围的蛋白质。最重要的是,化学发光在所有的检测方法中具有最高的灵敏度。使用辣根过氧化物酶标记的抗体和Thermo ScientificSuperSignal West Femto Chemiluminescent Substrate(Product # 34095),可以检测的下限为1飞克,而这得益于这种底物中的增强剂可以很大程度地增强发光强度并增加发光持续时间。
化学发光底物与其他底物不同之处在于只有在酶和底物发生反应的时候才会产生瞬时的可被检测的光。这与那些可产生稳定有颜色产物的底物不同;些有颜色的沉淀在酶-底物反应结束之后仍然存在于膜上。在化学发光免疫印迹中,底物是反应限制试剂。一旦其耗尽,光就会逐渐变弱并消失。实验中一定要使用适当稀释浓度的抗体,这样才会在几小时内产生稳定的光信号输出,从而维持蛋白检测的一致性和灵敏度。当抗体没被足够稀释时,永远不会获得稳定的光信号输出。系统中太多的酶会快速氧化底物并终止信号。

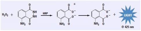
化学发光。鲁米诺在HRP和双氧水存在的条件下会被氧化形成激发态的产物(3-aminophthalate)。3-aminophthalate在衰变至基态的过程中会发出波长为425nm的光。
增强型化学发光的优点灵敏性 •强信号,低背景
•只需很少的抗原和抗体快速 •印迹上快速的底物处理
•信号在几秒钟之内产生稳定 •与放射性同位素不同,存放期很长
•4oC储存硬拷贝结果 •用X光胶片捕获结果
•结果不会随时间而褪色,不用担心膜的破裂
•永久保存胶片结果 •信号随曝光时间增强而增强
•可选择在不同时间曝光
•可优化显色的方法印迹可重新检测 •非同位素标记的探针可从膜上洗掉
•可重复进行免疫检测宽线性范围 •可检测很宽范围的蛋白浓度 可定量 •可用反射型显象密度计或成像设备
(例如CCD相机)扫描X光胶片
Thermo Scientific化学发光底物的比较
Pierce ECL 底物 SuperSignal West Pico
化学发光底物主要优点 •只需同类竞争ECL底物价格
的一半即可获得同样的信号强度•相比同类竞争产品,
更好的信号,更低的价格更低的检测极限† •低-微克(10-6)
•高-皮摩尔(10-11)•低-皮克(10-12)
•中-阿摩尔(10-17)信号持续时间 •30分钟-2小时 6-8小时 建议抗体稀释度‡ 一抗:1:100-1:5000
二抗:1:1000-1:15000一抗:1:1000-1:5000
二抗:1:20000-1:100000室温工作溶液稳定性 1小时 24小时 储液存放时间 4oC一年 室温一年 SuperSignal West Dura
持久性化学发光底物SuperSignal West Femto
最高灵敏度化学发光底物主要优点 •可以获得持续的信号,是
用于成像设备的理想产品•对HRP检测系统是最灵敏的底物
更低的检测极限† •中-飞克(10-14)
•高-zeptomole(10-19)•低-飞克(10-15)
•中-zeptomole(10-20)信号持续时间 24小时 8小时 建议抗体稀释度‡ 一抗:1:1000-1:50000
二抗:1:50000-1:250000一抗:1:5000-1:100000
二抗:1:100000-1:500000室温工作溶液稳定性 24小时 8小时 储液存放时间 室温一年 4℃一年或室温六个月
风险提示:丁香通仅作为第三方平台,为商家信息发布提供平台空间。用户咨询产品时请注意保护个人信息及财产安全,合理判断,谨慎选购商品,商家和用户对交易行为负责。对于医疗器械类产品,请先查证核实企业经营资质和医疗器械产品注册证情况。
- 作者
- 内容
- 询问日期
文献和实验Western blotting using ECL reagent
REAGENTSECL Western blotting kit (Amersham Life Science; cat# RPN2108): contains second antibodies for both mouse and rabbit, substrate and milk blocker (the milk blocker is not normally used when using ruminant samples).Hybond ECL nitrocellulose
WESTERN BLOTTING USING CHEMILUMINESCENCE
REAGENTS ECL Western blotting kit (Amersham Life Science; cat# RPN2108): contains second antibodies for both mouse and rabbit, substrate and milk blocker (the milk blocker is not normally used when using ruminant samples). Hybond ECL
蛋白实验,及ECL要求来定. 4度,过夜.最好有那种4度摇床.我一般早上到实验室后,再摇床上再摇3个小时左右. 洗膜液洗3次,每次10分钟. 二抗: 用杂交液配置.室温,摇床,1小时. 洗膜液洗3次,每次10分钟.PBS洗5分钟. 如果一抗没有混浊,放置时间不长,可以重复使用,本人一般连作二天时,才会重复用,如果因为一抗的原因而不出结果,太不值了. 杂交液: BSA0.5克, 洗膜液50ML.4度保存
技术资料暂无技术资料 索取技术资料









