相关产品推荐更多 >
万千商家帮你免费找货
0 人在求购买到急需产品
- 详细信息
- 文献和实验
- 技术资料
- 库存:
大量
- 英文名:
Pennogenin
- CAS号:
507-89-1
- 保质期:
2年
- 供应商:
上海钰博生物科技有限公司
- 规格:
5mg
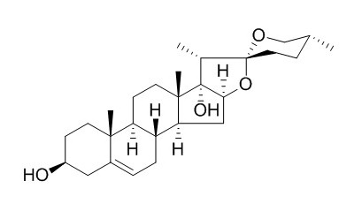
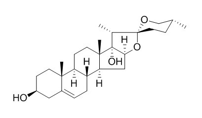
CAS号: 507-89-1
分子式:C27 H42 O4
分子量:430.62
纯度: HPLC≥98%
中文名称:偏诺皂苷元
英文名称:Pennogenin
英文别名: Pennogenin (7CI); Spirost-5-ene-3b,17-diol, (25R)- (8CI); (-)-Pennogenin; Penogenin
CAS号: 507-89-1
分子式:C27 H42 O4
分子量:430.62
纯度: HPLC≥98%
熔点: 247 °C
沸点: 565.0±50.0 °C | Condition
密度: 1.18±0.1 g/cm3 | Condition: Temp: 20 °C
值: 14.02±0.70 | Condition: Most Acidic Temp: 25 °C
储存条件: 2-8°C,干燥、避光、密封
规格: 20mg 50mg 100mg 500mg 1g 2g等应客户需求包装.
用途:用于含量测定、鉴别、药理实验、活性筛选等。药理药效:具有较强的利尿和镇痛作用
用途:用于含量测定、鉴别、药理实验、活性筛选等。
检测条件: 甲醇-0.1%磷酸水(40:60)为流动相(仅供参考)
质量检测:所有钰博生物产品均由经CNAS认可的实验室进行质量检测,分为以下3种方式:
①常规-质谱、氢谱、碳谱、高效液相色谱或气相色谱;
②溯源-数据溯源到国家法定的标准物质;
③定值-质量守恒原则检测水分、有机溶剂、无机杂质、有机成分。
目前产品有两个等级,即高纯度分析试剂级别和分析标准品级别。
高纯度分析试剂经过MS、NMR等结构确认及HPLC或GC纯度分析(面 积归一化法);
分析标准品经过MS、NMR等结构确认,并采用溯源法,即溯源至国家标准物质或采用质量守恒法进行定值,提供准确的含量数据。
1.对照品的选择原则
对照品的选择原则包括物质稳定性以及参比物质和测定物质的同质性。
例如:克拉维酸的对照品为克拉维酸锂,实际被测物为克拉维酸钾。用阿莫西林三水合物制备阿莫西林对照品而不用一水合物或阿莫西林制备。但是目前研发员对对照品的选择、制备和标化重视程度尚不足,造成同一个品种可能具有不同成盐形式、含不同结晶水,不同晶型的对照品。由于上述不同,某些晶型或者某些成盐形式的药物由于其不稳定性而不适宜制备成为对照品,但仍然发现个别研发员选择了不稳定形式作为对照品。
其次,在对照品选择时应该充分关注不同盐基、酸根的不同用途。比如头孢替坦二钠,由于成盐的缘故,头孢替坦与头孢替坦二钠的红外图谱肯定存在不同。但是某些申请人仍采用头孢替坦对照品进行红外鉴别。
红外鉴别是抗生素的常规鉴别方法,由于抗生素常常具不同的晶型,因此在使用对照品进行鉴别试验时,要考虑对照品和供试品的晶型是否一致,并注意是否与供试品生产工艺采用的精制方法一致。以避免在研究或者药检所复核时出现不一致现象。
2.对照品的制备、标化和质量要求
由于来源、选择、制备和质量标准的不同,造成目前在对照品质量控制方面存在不统一现象。所以研发员在对照品选择时要和对照品厂家充分沟通,交流清楚。避免选用了不符合自己要求的试剂。公司提供的中药对照品在这方面做的不错,可以满足各种需求。
3.对照品使用时需要注意的细节
由于对照品的用途繁多,在使用时有些研发人员存在用同一对照品作不同目的。在实际使用中发现部分研发员混杂使用同一对照品,将含量测定用对照品用于鉴别,鉴别用对照品用于含量测定。最后导致实验结果不准确。
另外需要注意所选的药品标准物质稳定性和数量应满足整个实验计划的需要,已超过稳定期的标准物质不能使用。另外,美国药典的对照品没有有效期,但美国药典会每2月一期的药典论坛随时发布最新批号的对照品,而在美国药典实验室内,不断地对留样对照品进行监控,保证对照品的有效。
风险提示:丁香通仅作为第三方平台,为商家信息发布提供平台空间。用户咨询产品时请注意保护个人信息及财产安全,合理判断,谨慎选购商品,商家和用户对交易行为负责。对于医疗器械类产品,请先查证核实企业经营资质和医疗器械产品注册证情况。
文献和实验CRlSPR/Cas9是细菌和古生物菌用来抵抗外来质粒或噬菌体等遗传物质入侵的一种获得性免疫系统。利用CRlSPR/Cas9技术建立哺乳动物全基因组突变库或者与某类功能相关的基因突变体库,通过功能性筛选和富集以及随后的PCR扩增和深度测序分析,发掘与筛选表型相关的基因,称为CRlSPR/Cas9 gRNA文库筛选。gRNA文库是药物筛选或靶向筛选特定通路的理想工具,gRNA文库的建立将在功能基因筛选、疾病机制研究及药物研发等方面发挥重要的功能。 CRlSPR/Cas9 gRNA文库筛选流程
三句话读懂一篇 CNS,酗酒背后的机制,环境-基因互作诱导肿瘤发生,Cas9 时钟...
loci by integrative epigenomics。该工作通过整合 ENCODE、Roadmap 计划,对超过 800 种组织细胞样本进行分析, 绘制了染色质修饰和染色质开放性特征等表观遗传图谱。进一步地,将 210 万个增强子划分为 300 个模块,结合 GWAS 数据对这些增强子在疾病的潜在作用进行探究。 上述工作对深入理解组织器官病变及调控环路机制具有重要意义,为后续实验提供了精准的线路图。 图 9:来源 Nature 10. Cell: 利用 CRISPR-Cas 系统记录生物
华人学者开发新型单碱基编辑系统,实现所有碱基的自由转换和增删!
;在已知的 cas9 脱靶位点上,提供了比 cas9 核酸酶低得多的脱靶效率,原则上可以纠正大约 89% 的已知致病性人类基因变异。总而言之,Prime Editor 提供了一种单碱基替换和小片段删除、插入的新工具,极大地扩展了基因组编辑的范围并在基因治疗领域具有巨大潜力。回顾单碱基编辑技术发展历程2016 年 4 月 David R. Liu 实验室在 nature 发文首次报道了利用 dCas9 蛋白与 APOBEC1(胞苷脱氨酶 1)共表达,开发了胞嘧啶碱基编辑工具 (Cytidine base
技术资料暂无技术资料 索取技术资料










