相关产品推荐更多 >
万千商家帮你免费找货
0 人在求购买到急需产品
- 详细信息
- 技术资料
- 库存:
779
- 英文名:
Nateglinide
- CAS号:
105816-04-4
- 保质期:
2年
- 供应商:
北京百奥莱博科技有限公司
- 保存条件:
-20℃,有效期2年,溶入溶剂后-20℃
特别声明:本产品及我公司所售其他产品均为科研类试剂产品,严禁用于药物、医疗及其他非科研用途。
北京现货Nateglinide打折促销的品牌:百奥莱博,是优质的细胞生物学试剂产品,用于生化科学研究,本产品质量好,且极具价格优势,深为用户称道,了解更多Nateglinide等细胞生物学试剂产品请联*(代"系")我司咨询订购。
名称:北京现货Nateglinide打折促销
编号:M02899
规格:1mL(10mM)|10mg|50mg
英文名:Nateglinide
品牌:百奥莱博
产地:北京
Nateglinide是胰岛素促分泌剂,可作用于非胰岛素依赖型糖尿病(NIDDM)。
注:本品仅可用于科研实验,严禁用于临床医疗及其他用途!
CAS号:105816-04-4
别名:A4166;Senaglinide
纯度:98.73%
分子式:C₁₉H₂₇NO₃
分子量:317.42
结构式:

储存条件:-20℃,有效期2年,溶入溶剂后-20℃请尽量在一个月内使用。
关于北京现货Nateglinide打折促销的更详细说明,请致电我公司咨询,我们将以最饱满的热情为您提供解答,此外,我公司专业供应下列产品:
·丝*酸/半胱*酸蛋白酶抑制剂(Leupeptin hemisulfate)
编号:M04376
英文名称:Leupeptin hemisulfate
规格:1mL(10mM)|5mg|10mg
Leupeptin半硫*(代"酸")盐是一种可逆的,竞争性丝*酸/半胱*酸蛋白酶抑制剂,可抑制组织蛋白酶B,H,L和S,*蛋白酶,和胰蛋白酶,Leupeptin半硫*(代"酸")盐是一种的抗氧化和抗炎剂。
注:本品仅可用于科研实验,严禁用于临床医疗及其他用途!
CAS号:103476-89-7
纯度:98.0%
分子式:C₂₀H₃₈N₆O₄ . ₁/₂H₂SO₄
分子量:475.59
结构式:

储存条件:-20℃,有效期2年,溶入溶剂后-20℃请尽量在一个月内使用。
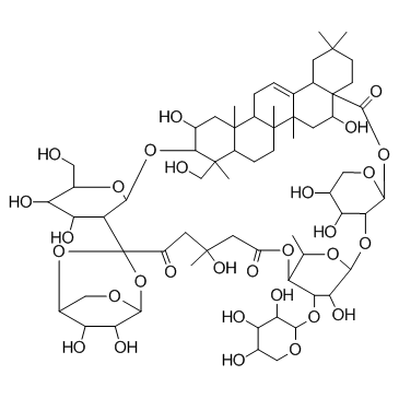
·Tubeimoside II
编号:M02450
英文名称:Tubeimoside II
规格:1mL(10mM)|5mg|10mg
Tubeimoside II(Tubeimoside-B)是齐墩果烷型三萜皂甙天然类似物,具有抗炎症和抗癌等生物活性。
注:本品仅可用于科研实验,严禁用于临床医疗及其他用途!
CAS号:115810-12-3
别名:Tubeimoside-B
分子式:C₆₃H₉₈O₃₀
分子量:1335.43
结构式:

储存条件:-20℃,有效期2年,溶入溶剂后-20℃请尽量在一个月内使用。
北京现货Nateglinide打折促销关键词:Senaglinide,Nateglinide,A4166
SNM340 网状纤维染液 Reticular Fiber Stain Kit
GL1475 Western及IP细胞裂解液(无抑制剂) 100ml
GL0323 碘化丙啶PI染色液(RNA染色) 50ug/ml 10ml
SNM224 高密度脂蛋白胆固醇测定试剂盒(双试剂直接法)(酶标仪及生化分析仪) High-density lipoprotein cholesterol assay kit
SNM542 IMDM培养基(含碳酸**,含酚红) IMDM medium
GL1731 TCA 10% 100ml|500ml
GL0623 淀粉酶水溶液(1%,pH5.3) 100ml
SNM426 TMB显色液(沉淀型) TMB substrate solution
SK152 可溶性酸性转化酶检测试剂盒 S-AI Test Kit
GL1970 尿素(Urea)检测试剂盒(二乙酰一肟比色法) 100T
GL0900 甲基绿染色液(1%) 100ml
GL1296 RNA杂交缓冲液(含甲酰胺) 100ml
北京现货Nateglinide打折促销关键词:Senaglinide,Nateglinide,A4166
GL1166 Tris-硼*(代"酸")电泳缓冲液(10×TBE) 500ml
GL1548 Western洗涤液 100ml|500ml
GL0412 软骨染色液(甲**(代"胺")蓝法) 100ml
SNM284 活化部分凝血活酶时间测试盒(白陶土/半自动凝血仪) Activated partial thromboplastin time Assay Kit
GL1407 Tris-甘*酸电泳缓冲液(10×) 500ml
GL1815 斐林试剂(Fehling"s solution) 2×100ml
GL0711 茜素黄R指示剂 100ml
SNM485 复合消化液 Complex digestive
SK213 土壤碱性磷酸酶检测试剂盒 S-AKP/ALP Test Kit
GL2037 葡萄糖-6-磷酸脱*酶(G6PD)检测试剂盒(6-PGD校正比色法) 50T
GL0984 脱氧胆酸*溶液(1%,pH7.0) 100ml
SK094 线粒体呼吸链复合体Ⅲ活性检测试剂盒 Mitochondrial respiratory chain complex III activity detection kit
我公司正在火爆促销细胞生物学试剂系列产品,欢迎您的垂询选购北京现货Nateglinide打折促销。
风险提示:丁香通仅作为第三方平台,为商家信息发布提供平台空间。用户咨询产品时请注意保护个人信息及财产安全,合理判断,谨慎选购商品,商家和用户对交易行为负责。对于医疗器械类产品,请先查证核实企业经营资质和医疗器械产品注册证情况。
技术资料暂无技术资料 索取技术资料









