相关产品推荐更多 >
万千商家帮你免费找货
0 人在求购买到急需产品
- 详细信息
- 文献和实验
- 技术资料
- 库存:
549
- 英文名:
Beaucage reagent
- CAS号:
66304-01-6
- 保质期:
2年
- 供应商:
北京百奥莱博科技有限公司
- 保存条件:
-20℃,有效期2年,溶入溶剂后-20℃
特别声明:本产品及我公司所售其他产品均为科研类试剂产品,严禁用于药物、医疗及其他非科研用途。
Beaucage reagent 细胞生物学试剂的品牌:百奥莱博,是优质的细胞生物学试剂产品,用于生化研究,本产品质量好,且极具价格优势,深为用户称道,了解更多Beaucage reagent等细胞生物学试剂产品请联*(代"系")我司咨询订购。
名称:Beaucage reagent 细胞生物学试剂
编号:M02271
规格:1mL(10mM)|250mg|1g
英文名:Beaucage reagent
品牌:百奥莱博
产地:北京
Beaucage reagent有效应用于DNA切割。
注:本品仅可用于科研实验,严禁用于临床医疗及其他用途!
CAS号:66304-01-6
纯度:98.0%
分子式:C₇H₄O₃S₂
分子量:200.23
结构式:

储存条件:-20℃,有效期2年,溶入溶剂后-20℃请尽量在一个月内使用。
欲了解更多Beaucage reagent 细胞生物学试剂的品牌、产地、价格及说明书等产品信息,请致电北京百奥莱博科技有限公司,我们将竭诚为您服务,另外,以下产品正在火爆促销:
GL1346 pH标准缓冲溶液(pH=6.86) 50ml|100ml
SNM239 Xmol/L硫*(代"酸") Xmol/L sulfuric acid
GL0341 甲**(代"胺")蓝染色液(0.5%,磷酸盐法) 100ml
SK193 血*浓度检测试剂盒 Blood magnesium concentration detection kit
GL1109 胃蛋白酶抗原修复液 100ml
SNM038 半胱*酸含量测试盒(比色法) Cysteine (Cys) content test kit
GL1793 *化铵溶液(50mmol/L) 100ml
SNM582 β-羟丁酸脱*酶(HBDH)(EC1.1.1.30) β- hydroxybutyrate dehydrogenase
GL0834 Gram碘液 100ml
GL1919 总铁结合力(TIBC)检测试剂盒(亚铁嗪比色法) 50T
GL1524 Tween20/TBS溶液(20×TBST,pH8.0) 500ml
SNM381 Tween-20 Tween-20
GL0542 PLPD固定液 500ml
GL1676 甘油溶液(100%) 100ml|500ml
GL1272 SSC缓冲粉剂(20×) 1L|10×1L|500g
SNM179 苹果酸脱*酶测定试剂盒(测组织)(紫外比色法) Malate Dehydrogenase assay kit
Beaucage reagent 细胞生物学试剂关键词:Beaucage reagent,66304-01-6
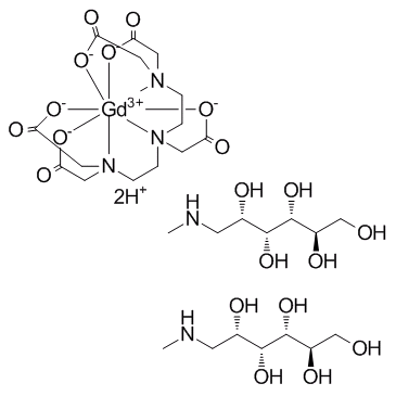
·Gadopentetate dimeglumine
编号:M08014
英文名称:Gadopentetate dimeglumine
规格:1mL(10mM)|10mg|50mg|100mg|200mg|500mg
Gadopentetate dimeglumine(SH-L-451A)用于核磁共振成像(MRI)中,更清晰地看到血管,器官和其他非骨组织。
注:本品仅可用于科研实验,严禁用于临床医疗及其他用途!
CAS号:86050-77-3
别名:SH-L-451A;Gadopentetic acid dimeglumine salt
纯度:99.40%
分子式:C₂₈H₅₄GdN₅O₂₀
分子量:938.0
结构式:

储存条件:-20℃,有效期2年,溶入溶剂后-20℃请尽量在一个月内使用。
Beaucage reagent 细胞生物学试剂关键词:Beaucage reagent,66304-01-6
SNM522 DNA ladder检测试剂盒 DNA ladder detection kit
GL0748 甲基红-亚甲基蓝指示剂 100ml
GL1854 尿蛋白定性检测试剂盒(磺基水杨酸法) 100T
SK047 过氧化*酶检测试剂盒 CAT Test Kit
SNM321 *测试盒比色法 Magnesium Assay Kit
GL0455 Bouin"s脱*液 500ml
GL1590 IPTG(20%,0.8mol/L) 5ml
GL1207 XB盐溶液(20×) 100ml
SNM120 己糖激酶测定试剂盒(测组织、血清)(紫外比色法) Hexokinase assay kit
GL0182 RPMI 1640 Medium(含双抗) 500ml
GL1341 甘油溶液(75%,无菌) 100ml
GL0950 噻嗪红染色液(0.2%) 100ml
GL2012 维生素C检测试剂盒(磷钼酸微板法) 100T
SK190 血*浓度检测试剂盒 Blood potassiu*(代"m") concentration detection kit
GL1106 柠檬酸*抗原修复液(50×) 100ml
我公司正在打折促销细胞生物学试剂全系列产品,恭候您的咨询选购Beaucage reagent 细胞生物学试剂。
风险提示:丁香通仅作为第三方平台,为商家信息发布提供平台空间。用户咨询产品时请注意保护个人信息及财产安全,合理判断,谨慎选购商品,商家和用户对交易行为负责。对于医疗器械类产品,请先查证核实企业经营资质和医疗器械产品注册证情况。
文献和实验本制品是一种快速方便的总RNA提取试剂,可以从动物组织、植物材料、各种微生物、培养细胞等中提取总RNA。样品在RNAiso Reagent中能够充分被裂解,在加入氯仿离心后,溶液会形成上清层、中间层和有机层(下层),RNA分布在上清层中,收集上清层后,经异丙醇沉淀便可以回收得到总RNA。RNAiso Reagent具有很强的广谱性,可以适用于各种样品的总RNA提取,提取过程方便快速,整个操作在一小时内便可以完成。经本制品提取的总RNA纯度高,基本不含蛋白质及基因组 DNA,提取的RNA可以直接
为与 SH 基进行反应,而抑制其功能的试剂。从作用方式来看,大致可分为三类:( 1 )氧化剂:亚碘酰苯甲酸( o-iodosobenzoic acid )、 5 , 5 ′ - 二硫基二硝基苯甲酸( DTNB ,亦称 Ellman 试剂)、 4 , 4 ′ - 二硫基吡啶;胱氨酸;氧化型谷胱苷肽;连四硫酸( tetrathionic acid )、脱氢抗坏血酸; 2 , 6- 二氯酚靛酚( 2 , 6-dichlorophenolindophenol )等。( 2 )形成
使蛋白质分子内或蛋白质与核酸间或DNA的二个链之间以共价键交联的试剂(参见化学修饰)。作为蛋白质交联的试剂有酪氨酸残基之间用四硝基甲烷(单独或与紫外线照射同时使用)、氨基与羧基间用碳二酰亚胺类、氨基间用甲醛、戊醛及酰亚胺酯类等。其中酪氨酸残基或氨基与羧基间未插入交联剂,而氨基间可以插入含不同碳原子的或含 S-S键桥,也可作放射标记或以后再将 S-S键切断而除去交联等。蛋白质与 DNA的交联可以单独使用紫外线,作为试剂可以用甲醛、戊醛、氮芥等。戊醛也可作为细胞的固定液来使用。近年来开展
技术资料暂无技术资料 索取技术资料










