相关产品推荐更多 >
万千商家帮你免费找货
0 人在求购买到急需产品
- 详细信息
- 文献和实验
- 技术资料
- 库存:
747
- 英文名:
p-nitrophenyl phosphate,disodium salt
- 保质期:
一年
- 供应商:
北京百奥莱博科技有限公司
- 保存条件:
常温
特别声明:本产品及我公司所售其他产品均为科研类试剂产品,严禁用于药物、医疗及其他非科研用途。
百奥莱博专业生产销*(代"售")pNPP干粉价格厂家,我公司供应的分子生物学试剂品类齐全,且具有优势价格,欢迎新老客户垂询订购。
名称:pNPP干粉价格厂家
编号:BTN131116
规格:1g
英文名:p-nitrophenyl phosphate,disodiu*(代"m") salt
品牌:百奥莱博
产地:北京
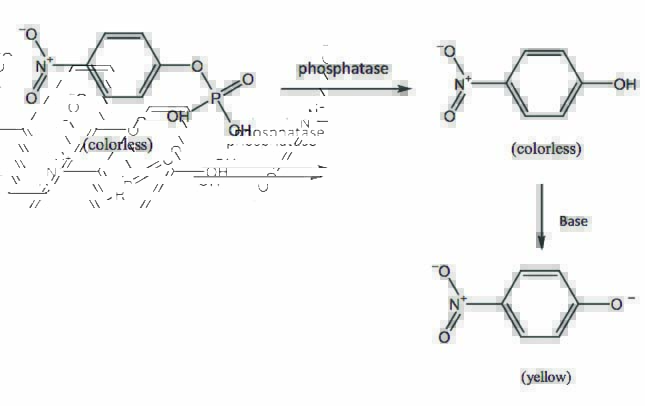
pNPP在ELISA应用中作为检测碱性磷酸酶的底物而被广泛使用。当碱性磷酸酶与PNPP反应后,形成黄色水溶性反应产物。该产物在405nm有光吸收,并可使用传统方法终止反应。其反应原理如下:

储存条件:常温运输,避光保存,有效期一年。
pNPP干粉价格厂家极具性价比,此外,我公司正火爆促销以下产品:
·衣霉素溶液
编号:BTN120702
英文名称:Tunicamycin Solution
规格:1mL
本产品为5mg/mL的衣霉素溶液,溶剂为甲醇。衣霉素(链病毒菌素;Nsc177382;Aids010655),分子式:C37H60N4O16,分子量:816.89,CAS号:11089-65-9 。为放线菌Streptomyces lysosuperficus产生的核苷酸抗生素。可抑制具有被膜(envelope,含糖蛋白)的病毒的繁殖。作用机理是抑制合成糖蛋白糖链必需的拟脂(多萜醇,dolichol)中间产物的生成。常作为研究糖蛋白的工具,能通过抑制N-乙酰*基葡萄糖-1-磷酸到一磷酸长醇的转移从而阻止糖蛋白的形成。
储存条件:低温运输,4℃避光保存,有效期6个月。
·蛋白marker(43~200kD)
编号:BTN70102C
英文名称:Protein Marker(43-200kD)
规格:10次
本产品为蛋白质电泳标准系列,为已知的标准蛋白质混合物,在SDS-PAGE时可以作为分子量标准,估计其他蛋白质的分子量大小。
产品特点:
1.简单,不需要自己单独购买各种蛋白质配置。
2.本产品有粉末型和溶液型两种,十分稳定。
3.本系列三种产品涵盖从 3.3 KD-200 KD的分子量范围。
| 所含成分及其分子量 | A型 | B型 | C型 | |
| 肌球蛋白重链 | 200.0KD | 有 | ||
| *调素结合蛋白 | 130.0KD | 有 | ||
| 兔磷酸化酶B | 97.4KD | 有 | 有 | |
| 牛血清白蛋白 | 66.2KD | 有 | 有 | |
| 兔肌动蛋白 | 43.0KD | 有 | 有 | |
| 牛碳酸酐酶 | 31.0KD | 有 | ||
| 人生长激素 | 22.0KD | |||
| 大豆胰蛋白酶抑制剂A | 20.1 KD | 有 | 有 | |
| 鸡蛋清溶菌酶 | 14.4KD | 有 | 有 | |
| 人工合成肽1 | 7,823D | 有 | ||
| 人工合成肽2 | 5,856D | 有 | ||
| 人工合成肽3 | 3,313D | 有 | ||
产品组成:
| 成分 | A型 | B型 | C型 |
| 蛋白分子量标准A型(低分子量) | 15T | - | - |
| 蛋白分子量标准B型(中分子量) | - | 20T | - |
| 蛋白分子量标准C型(高分子量) | - | - | 10T |
| 1×SDS-PAGE上样液 | 0.5ml | 0.5ml | 0.5ml |
| 说明书 | 1份 | 1份 | 1份 |
储存条件:低温运输,-20℃保存,有效期两年。
使用方法:
一、干粉型的使用:
1.开封后将1×SDS-PAGE上样液加入到样品管中溶解蛋白质粉末,各分子量标准所需的1×SDS-PAGE上样液的体积如下:
低分子量标准(BTN70102A)需要150μL。
中分子量标准(BTN70102B)需要200μL。
高分子量标准(BTN70102C)需要100μL。
2.沸水浴中加热 5分钟。
3.短暂离心后将溶液按每管10μL的体积分装到多个塑料离心管中,置-20℃长期保存。
4.使用时每次取一管,室温放置直到液体融化后,沸水浴中加热3~5分钟,即可上样进行SDS-PAGE电泳。BTN70102A型推荐使用Tricine-甘油SDS-PAGE胶、BTN70102B 推荐使用12%的分离胶、BTN70102C 推荐使用8%的分离胶。
5.电泳后进行考马斯亮蓝G-250染色,染色后出现的带型见上表。
二、溶液型的使用:
1.将溶液按每管一次电泳的用量分装到塑料离心管中冻存,每次只用一管,这样避免反复冻融。
2.使用时取一管室温放置直到液体融化。
3.沸水浴中加热3~5分钟后趁热上样并进行SDS-PAGE电泳。BTN70102A型推荐使用Tricine-甘油SDS-PAGE胶、BTN70102B 推荐使用12%的分离胶、BTN70102C 推荐使用8%的分离胶。
4.电泳后进行考马斯亮蓝G-250染色,染色后出现的带型见上表。
疑难解答:
1.分子量不同,SDS-PAGE的分离胶和浓缩胶浓度不同。需要自己根据具体情况调整。
2.电泳之后可将胶进行染色观察,如果使用传统配方进行染色时效果不好或考虑其毒性,请选择本公司的一步式蓝色PAGE染液(BTN61204),该产品具有染色快,无毒,灵敏性高等物点,是常规蛋白染色液的替代品。
pNPP干粉价格厂家关键词:p-nitrophenyl phosphate,disodiu*(代"m") salt,pNPP干粉,BTN131116
·非冻型血液RNA保存液
编号:BTN111202
英文名称:RNAhold Blood RNA non-freezing preservation solution
规格:100mL
由于血液富含RNase,因此血液RNA非常容易降解,是临床分子生物学研究中的一个棘手的问题。为解决此问题,本公司在非冻型组织RNA保存液的基础上,开发了本产品。
产品特点:
1. 能快速渗透到新鲜血液细胞内,抑制RNA分子的降解。保存的血液RNA常温可放置3天,4℃可放置5天,-20℃可放置3个月。
2. 操作简单,直接将本产品和新鲜血液细胞沉淀按比例混合即可。
3.适用于人新鲜血和哺乳动物新鲜血液,不适用于陈旧血液和冻凝血液,也不适用于禽类血液和其他动物血液。
4. 重复性好,效果跟进口同类产品相当。
5. 保存的样品可直接用本公司血液RNA提取试剂盒提取RNA。
储存条件:室温运输及保存,有效期两年。
使用方法:
注意:RNase污染无处不在,最好用本公司的高效无毒固相RNase清除剂处理RNA工作区域,千万不要使用烷基化试剂DEPC(相当于芥子*(代"气"))。
一:以白细胞为材料的保存方法(此法效果好于全血保存法)
1.室温1500-2000 g离心新鲜抗凝血液10-15分钟,最上层为血浆,最下层为红细胞,中间层为膜状的、含白细胞的Buffy Coat(含白细胞多的血液此层可能很厚)。
2. 吸出血浆后,小心将中间的白细胞层吸出(允许污染部分红细胞)到新的离心管中,加入5-10倍体积的本产品,混匀后放常温(不超过30℃)保存不超过3天或者放-20℃保存3月(放-20℃前需要现在4℃放置过夜,然后再离心去除保存液,最后再把细胞沉淀放到-20℃。如果直接放入-20℃,冰晶会刺破白细胞,释放出其中的RNA,在后续实验去掉上清时会丢失)。
二:以EDTA抗凝全血为材料的保存方法
3. 将血液取到EDTA抗凝管中后,迅速将0.5mL血液与1.5mL本产品混合,充分颠倒混匀,然后放常温(不超过30℃)保存不超过3天或者放-20℃保存3月(放-20℃前需要现在4℃放置过夜,然后再离心去除保存液,最后再把细胞沉淀放到-20℃。如果直接放入-20℃,冰晶会刺破白细胞,释放出其中的RNA,在后续实验去掉上清时会丢失)。
三:血液RNA的提取(本产品不含RNA提取试剂。此处以本公司的跟Trizol相当的动物RNA提取试剂盒操作步骤为参考。用户也可以使用其他RNA纯化试剂)
4. 提取RNA时,如果保存的白细胞在-20℃,则需要先室温化冻,如果保存在常温或4℃,则直接使用。
5. 取1.8mL混合液到新的2mL离心管中,5000g室温离心1分钟。
6.小心吸弃上清液(本产品),细胞将形成沉淀(如果样品时全血,沉淀中将含有大量血液蛋白)。注意:上清一般会很浑浊,一定要尽可能弃尽。有时沉淀上面有白色晶体出现,属于正常现象。
7.在细胞沉淀中加入动物RNA提取试剂盒 1mL溶液A,剧烈震荡30秒(不能感觉到震荡即可,一定要看见管底液体旋转起来,否则只是液体表面的震动,下同)。震荡后颠倒几次看溶液是否均匀,如果有颗粒状物体说明还需要震荡裂解。
8.室温放置5分钟以使细胞充分裂解。
9. 将0.2mL自备的*仿加入到离心管中,剧烈震荡30秒。
10. 12000~15000g4℃离心3分钟。一般上清为无色的水相(含RNA,约0.5-0.9mL);中间层为白色,含有DNA、蛋白质和其他细胞破碎物,不要触及;下层为有机相,一般呈深红色。注意:有时水相比重大于有机相,出现反相现象,此时应该取下面的水相。
11.小心将水相转移到另一自备的1.5mL塑料离心管中。如果水相超过0.75mL,则需要分成2管,否则在下步没法加入等体积的异丙醇。
12. 加入等体积的异丙醇到水相中,充分颠倒混匀。
13. 12000~15000g4℃离心10分钟沉淀RNA。
14. 吸弃上清。注意:如果离心后出现两个相,则需要吸弃上面的一相,然后在下相(含RNA)中加入一倍体积的超纯水和一倍体积的异丙醇,混匀后12000~15000g4℃离心10分钟沉淀RNA,吸弃上清。
15. 将75% RNase-free乙醇加入到RNA沉淀中,震荡几秒后12000~15000g4℃离心1分钟。
16. 弃上清
17. 12000~15000g4℃离心半分钟,用移液枪去除残留的液体。
18. 将20-50μL DEPC处理的水加入到沉淀中并吹打溶解,立即用于下述完整性、产率和纯度的检测,也可直接用于后续RT-PCR等试验或存放于-80℃待用。
四: RNA的检测(列出步骤仅供参考,本产品不提供相关产品)
19. RNA完整性的电泳检测:强烈建议用户使用甲醛变性胶进行RNA电泳,因为非变性胶中单链RNA分子会自生折叠成各种形状,尤其不能使用DNA上样液,因为没有经过去RNase处理。
20. RNA产量产率测定:将5-10μl RNA用TE缓冲液(pH8.2)稀释10倍后检测其在OD260的光吸收。通过光吸收可以得出RNA浓度(1 OD260的RNA=40μg/mL),进而计算出RNA的产量(浓度X体积)和产率(RNA产量/组织用量)。人血RNA产率一般为2-5μg/mL。
21. RNA纯度测定:无污染的总RNA的OD260/OD280一般在2.0左右(具体数值与其碱基组成和溶液成分等多种因素有关),高于此范围则分别表示样品可能有蛋白质污染,但一般不影响RT-PCR等反应。
pNPP干粉价格厂家关键词:p-nitrophenyl phosphate,disodiu*(代"m") salt,pNPP干粉,BTN131116
·Southern封堵液(Nylon专用)
编号:BTN120677
英文名称:Southern Blocking Buffer (Nylon)
规格:100mL
本产品为专门针对Nylon膜的核酸杂交封堵液,用于降低检测时的非特异性信号,降低背景,增强信噪比。即开即用,方便快捷。
储存条件:低温运输、-20℃保存,有效期一年。
·双酶一管式RT-PCR试剂盒(MMLV-Taq)
编号:BTN91202
英文名称:Two-Enzyme One-Tube RT-PCR Kit
规格:50次
本产品是经过精心优化的、基于MMLV 逆转录酶和Taq DNA聚合酶的双酶一管式RT-PCR试剂盒,它含有除模版RNA和其专一性引物以外的所有RT-PCR试剂,包括MMLV 逆转录酶、Taq DNA聚合酶、RT-PCR缓冲液等,可以在同一反应管内完成RNA→cDNA→PCR反应(RT-PCR反应)。
产品特点:
1.一管式完成RT-PCR反应,避免样品交叉污染。
2. 即开即用,用户不需要单独准备RT-PCR所需的各种试剂。
3. 主要成分只有两个RT-PCR buffer和MMLV-Taq Mix,将加样步骤减少到最低,极大降低了加样误差,增加了可重复性。
4. 使用范围广,适用于从病毒RNA 到人RNA的各种RNA 模板。
5.高灵敏度,每个RT-PCR 体系最低可以检测200拷贝的RNA分子,可扩增的模版RNA的最长达2000nt。
6. 所得RT-PCR产物可以直接用于AT克隆。
试剂盒组成:
| 成分 | 规格 |
| 双酶一管式RT-PCR Buffer(2×) | 750μl |
| MMLV-Taq Mix | 100μl |
| RNase-free水 | 1ml |
| 说明书 | 1份 |
储存条件:低温运输,-20℃保存,有效期一年。
使用方法:
注意:所有离心管用前最好全部短暂离心几秒使管壁上溶液沉淀到管底。下面以一个30μL 体系的RT-PCR 为例,如果体积不同,各成分用量需要适当调节。
1.在一干净的无RNase的PCR管中,先加入下列成分:
| 成分 | 阴性对照 | 样品 |
| RNA模板(自备,分下面三种情况) | 无 | 见下 |
| 总RNA | 无 | 100-500ng |
| 或poly(A)mRNA | 无 | 10-500ng |
| 或体外转录得到的专一RNA | 无 | 0.01 pg-500ng |
| RNA特异性引物一(自备) | 终浓度300nM | 终浓度300nM |
| RNA特异性引物二(自备) | 终浓度300nM | 终浓度300nM |
| 探针(仅对Realtime RT-PCR) | 终浓度200nM | 终浓度200nM |
| RNase-free水 | 补到13μL | 补到13μL |
| 双酶一管式RT-PCR Buffer(2×) | 15μl | 15μl |
| MMLV-Taq Mix | 2μl | 2μl |
注:通常初次使用本试剂时,可用引物浓度300nM,探针浓度200nM进行实验,根据实验结果具体情况,在200~800nM 范围内调整引物浓度,在50~400nM 范围内调整探针浓度以达到最佳检测效果。引物、探针、待检样品的具体加量用户可以根据实际情况调整,同时增减DEPC 水用量,保证总反应体积不变即可。
2. 轻柔混合均匀后放入PCR 仪中进行RT-PCR。
3. 设定RT-PCR反应条件时,一般将RT的条件设定成42℃,30 钟,后接94℃变性5分钟,然后进入PCR循环(PCR参数将根据自备引物的Tm 值由用户自行决定注)、最后72℃,5分钟。对Realtime PCR,在复性步骤设置荧光检测,检测通道:FAM/HEX/VIC/ROX/CY5
4. RT-PCR结束后取5-10μL电泳检查。
注意事项:
1. 使用已校准的移液器,选用一次性PCR反应管、离心管、tip 头等进行样本处理及配液等操作,所有用具应不含DNA酶和RNA酶。
2.引物、探针设计过程中应尽可能避免发夹结构、二聚体等现象的发生,探针的位置尽可能靠近上游引物,PCR 目标片段最好小于200bp,尽可能在150bp以内。
3. 实验样品尽可能新鲜,提取过程应严防RNA酶污染及操作不当导致的RNA 降解。
4. 使用本产品时建议对RT-PCR扩增条件、引物浓度和样品用量进行调整,选择最适当的引物浓度、样品浓度和PCR扩增条件。
5. 本产品使用前应在室温充分融解,并用漩涡震荡器充分混匀。
6. 统一配液后分装以减少加样误差,每次实验应设置阴性对照。
7. 禁止标记PCR反应管,避免外源性荧光信号干扰。
8. PCR反应管中不能有气泡,否则会产生非特异的荧光信号。若有气泡,可先用手指将气泡弹破,然后再低速离心消除。
9. 实时荧光PCR 仪器连续进行实验时,最好间隔一小时以上再使用。
10. 实时荧光PCR 仪需经常校正和清洁载样板板孔。
11. 若使用Roch LightCyclerTM荧光PCR 仪,应将毛细管放在专门套管中,以便分装反应体系和加入待检样品。前述操作完毕应低速离心数秒再将毛细管垂直缓慢放入样品架,以免折断;若发生折断,应小心取出,用专用小毛刷擦拭干净后方可进行扩增。
12. 实验室应严格分区,避免PCR产物污染。
我公司正在优惠促销蛋白质研究等系列产品,期待您的咨询选购pNPP干粉价格厂家。
风险提示:丁香通仅作为第三方平台,为商家信息发布提供平台空间。用户咨询产品时请注意保护个人信息及财产安全,合理判断,谨慎选购商品,商家和用户对交易行为负责。对于医疗器械类产品,请先查证核实企业经营资质和医疗器械产品注册证情况。
文献和实验。 实验类型:大多数只标明用于WB、IP、IHC、IF、ChIP的抗体都不适用于流式实验(FC,flow cytometry)。选择标明用于FC实验的抗体,并有引用文献和实验数据图。 克隆号:有一些标记物有多个克隆号,选择文献报道中使用多,荧光标记种类多的克隆号。 厂家和批号:不同厂家或同一厂家生产的不同批号的相同荧光的相同标记物的抗体,荧光染料的强度可能有少许差别,不建议一次实验混合使用。 2、流式抗体荧光标记的方式包括直接标记和间接标记两种。 在流式实验过程中,直标抗体一抗上连接有荧光染料,间标
全自动生化分析仪以其快速、准确、经济效益好而被广泛使用,在品牌众多的全自动生化分析仪中,多数仪器使用试剂为开放型,从而就出现一台仪器做不同检验项目而使用不同厂家生产的试剂,再加上日常工作中不正确的操作,造成同一患者前后几天内几次相同的检验出现无法解释的检验结果(疾病本身和用药因素除外)。笔者认为只要从以下几个方面加以注意就能保证被测标本的检验质量。 1 正确采集患者血液标本 清晨用真空采血管采集患者血液,空腹12 h以上坐位取静脉血3mL置37℃
超声波细胞粉碎机是我公司重点研发、生产的产品之一,我公司生产的超声波细胞粉碎机大屏幕显示,微电脑控制,隔音箱效果好等特点,超声波细胞粉碎机年销量领先我公司其它产品。 根据客户在购买与使用过程中的有关超声波细胞粉碎机的相关的问题,我们进行汇总,答疑,希望对顾客有一定的帮助。 超声波细胞粉碎机问题一:超声波粉碎机能粉碎干粉吗? 普森答疑:超声波细胞粉碎机的原理简单说就是将电能通过换能器转换为声能,这种能量通过液体介质(如水)而变成一个个密集的小气泡,这些小气泡迅速炸裂
技术资料暂无技术资料 索取技术资料









