相关产品推荐更多 >
万千商家帮你免费找货
0 人在求购买到急需产品
- 详细信息
- 文献和实验
- 技术资料
- 库存:
大量
- 英文名:
MK-571 (LTD4受体拮抗剂)
- 保质期:
1年
- 供应商:
上海联迈生物工程有限公司
- 保存条件:
-20℃保存
- 规格:
5mg
| 产品编号 | 产品名称 | 产品包装 | 产品价格 |
| LM2398-5mg | MK-571 (LTD4受体拮抗剂) | 5mg | 392.00元 |
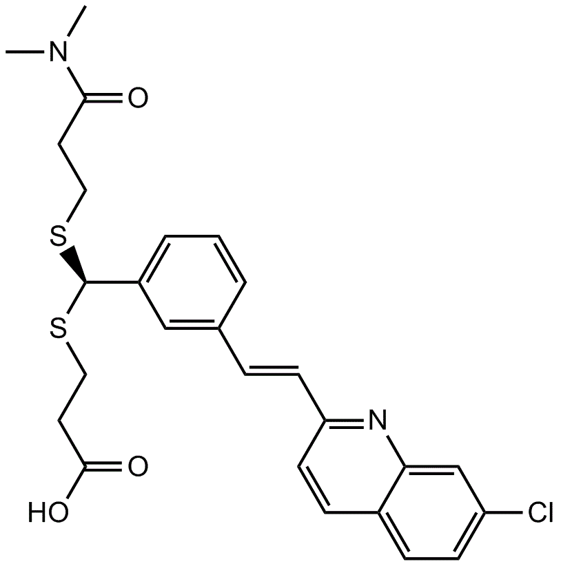
| 化学名 | 3-[[3-[(E)-2-(7-chloroquinolin-2-yl)ethenyl]phenyl]-[3-(dimethylamino)-3-oxopropyl]sulfanylmethyl]sulfanylpropanoic acid | ![]() |
| 简称 | MK-571 | |
| 别名 | L 660,711, L 660711, L-660711, MK 0571, MK 0679, MK 571, MK-0571, MK-0679, MK-679, MK571 cpd, Verlukast, Verlukast, (R-(E))-isomer | |
| 中文名 | N/A | |
| 化学式 | C26H27ClN2O3S2 | |
| 分子量 | 515.09 | |
| CAS号 | 115104-28-4 | |
| 纯度 | 98% | |
| 溶剂/溶解度 | Water<1mg/ml; DMSO6mg/ml; Ethanol<1mg/ml | |
| 溶液配制 | 5mg加入0.97ml DMSO,或者每5.15mg加入1ml DMSO,配制成10mM溶液。LM2398-10mM用DMSO配制。 |
| 产品描述 | MK 571 (L-660711)是一种新型有效的和选择性的leukotriene D4 (LTD4)受体拮抗剂,在豚鼠和人肺膜中的Ki值分别为0.22nM和2.1nM。MK 571也是多药耐药蛋白1(MRP1)的特异性抑制剂。 | ||||
| 信号通路 | GPCR & G Protein | ||||
| 靶点 | LTD4 | - | - | - | - |
| IC50 | - | - | - | - | - |
| 体外研究 | Leukotriene D4 (LTD4)是一种由嗜碱性粒细胞产生的白三烯。LTD4诱导平滑肌的收缩,增加血管通透性。半胱氨酰白三烯受体1(cysLT1受体,LTD4受体)是一种G蛋白偶联受体,被LTD4所激活。 MK 571(L-660711)是一种有效的、选择性的和可口服的LTD4受体拮抗剂。MK 571完全拮抗LTD4(pA2值分别为9.4和10.5)和LTE4(pA2值分别为9.1和10.4)诱导的豚鼠气管和回肠的收缩,也拮抗LTD4诱导的人气管的收缩,pA2值为8.5。 在麻醉豚鼠中,MK 571拮抗LTC4、LTD4和LTE4诱导的支气管收缩。在小鼠中,MK 571(1、10、100mg/kg)剂量依赖地抑制支气管肺泡灌洗时的炎性细胞浸润,100mg/kg时达到90%的最大抑制效果。MK 571也可以抑制支气管高反应性,在10mg/kg浓度时减少肺微血管渗漏。 | ||||
| 体内研究 | N/A | ||||
| 临床实验 | N/A | ||||
| 特征 | N/A | ||||
| 酶活性检测实验 | |
| 方法 | N/A |
| 细胞实验 | |
| 细胞系 | N/A |
| 浓度 | N/A |
| 处理时间 | N/A |
| 方法 | N/A |
| 动物实验 | |
| 动物模型 | N/A |
| 配制 | N/A |
| 剂量 | N/A |
| 给药方式 | N/A |
1. Jones TR, Zamboni R, Belley M, et al. Can J Physiol Pharmacol, 1989, 67(1), 17-28.
2. Vellenga E, Tuyt L, Wierenga BJ, et al. Br J Pharmacol, 1999, 127(2), 441-448.
3. Blain JF, Sirois P. Prostaglandins Leukot Essent Fatty Acids, 2000, 62(6), 361-368.
包装清单:
| 产品编号 | 产品名称 | 包装 |
| LM2398-10mM | MK-571 (LTD4受体拮抗剂) | 10mM×0.2ml |
| LM2398-5mg | MK-571 (LTD4受体拮抗剂) | 5mg |
| LM2398-25mg | MK-571 (LTD4受体拮抗剂) | 25mg |
| — | 说明书 | 1份 |
-20℃保存,至少一年有效。5mg和25mg包装也可室温保存,至少6个月有效。如果溶于非DMSO溶剂,建议分装后-80℃保存,预计6个月内有效。
注意事项:
本产品对人体有刺激性,操作时请小心,并注意适当防护以避免直接接触人体或吸入体内。
本产品仅限于专业人员的科学研究用,不得用于临床诊断或治疗,不得用于食品或药品,不得存放于普通住宅内。
为了您的安全和健康,请穿实验服并戴一次性手套操作。
风险提示:丁香通仅作为第三方平台,为商家信息发布提供平台空间。用户咨询产品时请注意保护个人信息及财产安全,合理判断,谨慎选购商品,商家和用户对交易行为负责。对于医疗器械类产品,请先查证核实企业经营资质和医疗器械产品注册证情况。
文献和实验佚名 纳洛酮(naloxone)化学结构与吗啡极相似,主要区别为叔氮上以烯丙基取代甲基,6位羟基变为酮基(见表18-1)。纳洛酮对4型阿片受体都有拮抗作用(见表18-2)。它本身并无明显药理效应及毒性,给人注射12mg后,不产生任何症状;注射24mg只产生轻微困倦。但对吗啡中毒者,小剂量(0.4~0.8mg)肌内或静脉注射能迅速翻转吗啡的作用,1~
网络 第四节 阿片受体拮抗剂――纳洛酮与纳曲酮 纳洛酮(naloxone)化学结构与吗啡极相似,主要区别为叔氮上以烯丙基取代甲基,6位羟基变为酮基(见表18-1)。纳洛酮对4型阿片受体都有拮抗作用(见表18-2)。它本身并无明显药理效应及毒性,给人注射12mg后,不产生任何症状;注射24mg只产生轻微困倦。但对吗啡中毒者,小剂量(0.4~0.8mg
上海西唐生物科技有限公司 021-55229872, 65333639 www.westang.com 大鼠 MK(Midkine)ELISA 试剂盒 ( 用于血清、血浆、细胞培养上清液和其它生物体液内 ) 原理 本实验采用双抗体夹心 ABC-ELISA 法。用抗大鼠 Midkine 单抗包被于酶标板上,标准品和样品中的 Midkine 与单抗结合,加入生物素化的抗大鼠 Midkine ,形成免疫复合
技术资料暂无技术资料 索取技术资料











