相关产品推荐更多 >
万千商家帮你免费找货
0 人在求购买到急需产品
- 详细信息
- 询价记录
- 文献和实验
- 技术资料
- 英文名:
Description of monoclonal antibody against chloramphenicol
- 保存条件:
-20°
氯霉素类抗体 氯霉素类单抗 鼠抗氯霉素类单克隆抗体说明书
【中文名称】抗氯霉素类单克隆抗体
【英文名称】Description of monoclonal antibody against chloramphenicol
【货 号】LD-KSS-1008-2
【来 源】Balb/c 小鼠
【亚 型】IgG
【物理性状】液体,避免反复冻融
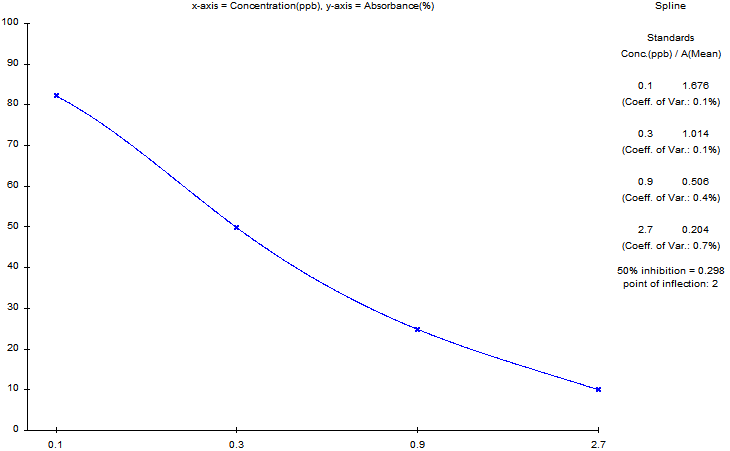
【ELISA 效价】 0.005M PBS 体系下1:400000 以上
【IC50】0.2-0.4 ppb
【Elisa 灵敏度】0.03ppb
【胶体金灵敏度】0.3ppb,对比消线
【蛋白浓度】9.0mg/ml
【缓冲液】0.01M PBS PH7.4
【储存条件】-20℃以下
【有效期】3 年,避免反复冻融
【有效期】5 年,-70℃以下保存
【交叉率】氯霉素100%,氟ben尼考95%;甲砜霉素70%
风险提示:丁香通仅作为第三方平台,为商家信息发布提供平台空间。用户咨询产品时请注意保护个人信息及财产安全,合理判断,谨慎选购商品,商家和用户对交易行为负责。对于医疗器械类产品,请先查证核实企业经营资质和医疗器械产品注册证情况。
- 作者
- 内容
- 询问日期
文献和实验2019 年 10 月 8 日,美国食品药品监督管理局(FDA)批准了诺华的 Beovu®(brolucizumab)注射剂用于治疗 wet-AMD,这是 FDA 批准的首个兔源单抗药物。Beovu(brolucizumab)的本质是一种人源化单链抗体片段(scFv),是目前达到开发阶段的临床上最先进的人源化单链抗体片段。单链抗体片段体积小、组织渗透性强、可从全身循环里快速清除及其药物释放特性,其在药物开发中备受追捧。单克隆抗体技术起源于 Kohler 等创建的体外鼠源杂交瘤技术。经几十年发展
兔单抗。1 1% 的幸运来自 99% 的勤奋兔的抗血清用于科学研究已有一百多年历史,远远早于鼠抗使用,尤其是在亲和力及特异性上更胜一筹。甚至在上世纪初,就有科学家们尝试用兔的抗血清来治疗一些传染病。然而,可能是由于兔强大的免疫系统,无法像小鼠一样被化学诱导产生骨髄瘤,从而难以建立用于制备杂交瘤单克隆抗体的融合细胞株(fusion partner cell line)。芝加哥 Loyola 大学的 Katherine Knight 教授(曾是美国微生物及免疫协会主席)用了近十年的时间才将二个癌基因引入
抗体是机体免疫系统的重要效应分子,其结构多样,可特异识别抗原,并且自身之间可相互识别。抗体在现代医学中起着重要的作用,被广泛地应用于实验室研究、疾病的诊断与治疗。抗体技术发展经历了四个阶段:第一代:杂交瘤单克隆抗体技术;第二代:嵌合抗体和人源化改造单克隆抗体技术;第三代:全人重组抗体技术;第四代:天然全人重组抗体技术。 过去由于均质性的全人重组抗体通过传统的制备方法很难大量获得,限制了抗体的大规模临床应用。而 90 年代初发展起来的噬菌体抗体库技术为制备全人重组单抗提供了可能。噬菌体抗体将基因
技术资料暂无技术资料 索取技术资料










