相关产品推荐更多 >
万千商家帮你免费找货
0 人在求购买到急需产品
- 详细信息
- 技术资料
- 库存:
大量
- 英文名:
Gomisin D
- 保质期:
1-3年
- 供应商:
上海沪震实业有限公司
- 保存条件:
常温或2-8℃保存
- 规格:
5mg/10mg/20mg
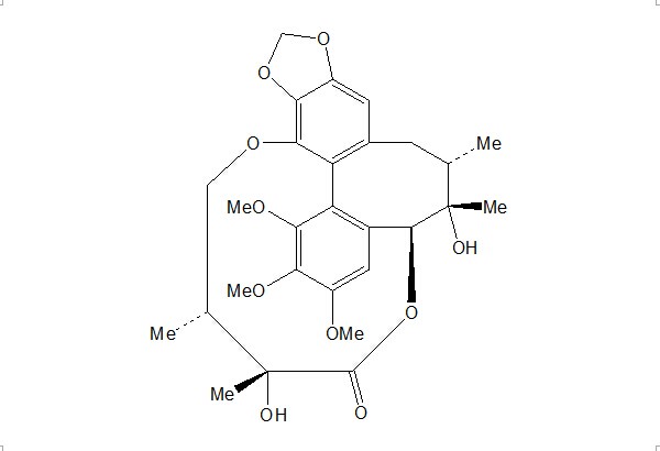
戈米辛D(60546-10-3)
【Product Name】 Gomisin D
【CAS Number】 60546-10-3
【中文名称】 戈米辛D
【Chemical Name】 5,13-(Epoxybutanoxy)benzo[3,4]cycloocta[1,2-f][1,3]benzodioxol-18-one, 5,6,7,8-tetrahydro-6,17-dihydroxy-1,2,3-trimethoxy-6,7,16,17-tetramethyl-, (5S,6S,7S,13aR,16R,17R)-
【Chemical Formula】 C28H34O10
【Molecular Weight】 530.57
【Chemotaxonomic Group】 木脂素类 Lignanoids
相关标准品-对照品列表:
| HZ31119-100mg | 3,3',5-三碘代-L-甲状腺原氨酸 | 3,3',5-THZiiodo-L-thyHZonine | 6893-02-3 | 98% | 100mg | 240.00 |
| HZ31119-1g | 3,3',5-三碘代-L-甲状腺原氨酸 | 3,3',5-THZiiodo-L-thyHZonine | 6893-02-3 | 98% | 1g | 1000.00 |
| HZ31119-5g | 3,3',5-三碘代-L-甲状腺原氨酸 | 3,3',5-THZiiodo-L-thyHZonine | 6893-02-3 | 98% | 5g | 3500.00 |
| HZ31120-100g | 二聚酸 | DimeHZ acid | 61788-89-4 | 98% | 100g | 100.00 |
| HZ31120-500g | 二聚酸 | DimeHZ acid | 61788-89-4 | 98% | 500g | 300.00 |
| HZ31121-100g | 双(HZ-三乙氧基硅基丙基)四硫化物 | HZis[3-(tHZiethoxysilyl)pHZopyl] tetHZasulfide | 40372-72-3 | 98% | 100g | 400.00 |
| HZ31121-25g | 双(HZ-三乙氧基硅基丙基)四硫化物 | HZis[3-(tHZiethoxysilyl)pHZopyl] tetHZasulfide | 40372-72-3 | 98% | 25g | 120.00 |
| HZ31121-500g | 双(HZ-三乙氧基硅基丙基)四硫化物 | HZis[3-(tHZiethoxysilyl)pHZopyl] tetHZasulfide | 40372-72-3 | 98% | 500g | 1500.00 |
| HZ31122-100g | 左旋香芹酮 | L(-)-CaHZvone | 6485-40-1 | GC≥99% | 100g | 280.00 |
| HZ31122-25g | 左旋香芹酮 | L(-)-CaHZvone | 6485-40-1 | GC≥99% | 25g | 160.00 |
| HZ31122-5g | 左旋香芹酮 | L(-)-CaHZvone | 6485-40-1 | GC≥99% | 5g | 80.00 |
风险提示:丁香通仅作为第三方平台,为商家信息发布提供平台空间。用户咨询产品时请注意保护个人信息及财产安全,合理判断,谨慎选购商品,商家和用户对交易行为负责。对于医疗器械类产品,请先查证核实企业经营资质和医疗器械产品注册证情况。
技术资料暂无技术资料 索取技术资料
戈米辛D(60546-10-3)
¥1100 - 2600









