相关产品推荐更多 >
万千商家帮你免费找货
0 人在求购买到急需产品
- 详细信息
- 文献和实验
- 技术资料
- 英文名:
Antisulfonamides multiresidue 2(six-membered ring twelve) monoclonal antibody
- 保存条件:
-20°
抗磺胺多残2(六元环十二残)单克隆抗体 抗磺胺多残2(六元环十二残)抗体 抗磺胺多残2(六元环十二残)单抗说明书
【中文名称】抗磺胺多残2(六元环十二残)单克隆抗体
【英文名称】Antisulfonamides multiresidue 2(six-membered ring twelve) monoclonal antibody
【货 号】LD-KSS-1100-2
【来 源】Balb/c 小鼠
【亚 型】IgE1
【物理性状】液体,避免反复冻融
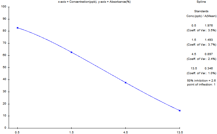
【ELISA 效价】 0.005M PBS 体系下1:400000 以上
【IC50】2-5 ppb
【胶体金灵敏度】10ppb,完全消线
【蛋白浓度】8mg/ml
【缓冲液】0.01M PBS PH7.4
【储存条件】-20℃以下
【有效期】3 年,避免反复冻融
【有效期】5 年,-70℃以下保存
【交叉率】
风险提示:丁香通仅作为第三方平台,为商家信息发布提供平台空间。用户咨询产品时请注意保护个人信息及财产安全,合理判断,谨慎选购商品,商家和用户对交易行为负责。对于医疗器械类产品,请先查证核实企业经营资质和医疗器械产品注册证情况。
文献和实验部胃壁,借以妥善地缝合十二指肠残端,但窦部粘膜需要完全剥除,以免溃疡复发。如溃疡虽已勉强切除,但十二指肠残端缝合不够满意,可于残端处插一导管造瘘减压较为安全。待残端愈合,无破漏现象(一般需观察10日)后,再拔除导管。 十二指肠溃疡旷置术的操作步骤如下:将幽门部大、小弯网膜分离至幽门近端3cm,以保证残端血运,在该处夹一把胃钳,于钳的远端把窦部前、后壁浆肌层作环形切开,达粘膜下层。用剪刀和纱布球分离浆肌层直达幽门环[图2 ⑴]。在环部从外面将粘膜作一荷包缝合[图2 ⑵],收紧缝线
Polymer二抗进行了反应的放大,该方法敏感性较高,可缩短抗体孵育时间或降低抗体浓度。 (2)内源性过氧化物酶残余:适度延长内源性过氧化物酶阻断剂阻断时间。 (3)一抗导致的非特异性染色:多克隆抗体易于产生非特异性染色,结合抗体官网信息合理选择多克隆抗体或单克隆抗体。 (4)一抗种属来源与组织样本来源相同:如使用鼠源一抗检测小鼠组织,尽量选择种属来源与样本种属不同的一抗。 (5)切片或细胞过于干燥:实验过程中,需保持样本的湿润。 Q5:阳性染色细胞定位不正确,如何修正? (1)抗原修复条件不合理:尝试改变
抗原并不是都有均等的和固相抗结合的机会,只有最贴近孔壁的一层溶液中的抗原直接与抗体接触。这是一个逐步平衡的过程,因此需经扩散才能达到反应的终点。在其后加入的酶标记抗体与固相抗原的结合也同样如此。这就是为什么 ELISA 反应总是需要一定时间的温育。 温育常采用的温度有 43℃、37℃、室温和4℃(冰箱温度)等。37℃ 是实验室中常用的保温温度,也是大多数抗原抗体结合的合适温度。在建立 ELISA 方法作反应动力学研究时,实验表明,两次抗原抗体反应一般在 37℃ 经 1-2 小时,产物的生成可达顶峰
技术资料暂无技术资料 索取技术资料










