相关产品推荐更多 >
万千商家帮你免费找货
0 人在求购买到急需产品
- 详细信息
- 文献和实验
- 技术资料
- 英文名:
Anti-2-Nitrofurazone metabolite monoclonal antibody
- 保存条件:
-20°
呋喃西林代谢物抗体 呋喃西林代谢物单抗 抗呋喃西林代谢物单克隆抗体说明书
【中文名称】抗呋喃西林代谢物单克隆抗体
【英文名称】Anti-2-Nitrofurazone metabolite monoclonal antibody
【货 号】LD-KSS-1059-2
【来 源】Balb/c 小鼠
【亚 型】IgG
【物理性状】液体,避免反复冻融
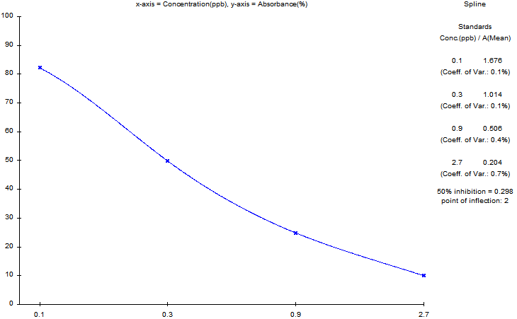
【ELISA 效价】 0.005M PBS 体系下1:400000 以上
【IC50】0.2ppb
【胶体金灵敏度】2ppb,完全消线
【蛋白浓度】8mg/ml
【缓冲液】0.01M PBS PH7.4
【储存条件】-20℃以下
【有效期】3 年,避免反复冻融
【有效期】5 年,-70℃以下保存
【相关产品】抗呋喃西林代谢物;抗呋喃妥因代谢物;抗呋喃唑酮代谢物;抗呋喃它酮代谢物
风险提示:丁香通仅作为第三方平台,为商家信息发布提供平台空间。用户咨询产品时请注意保护个人信息及财产安全,合理判断,谨慎选购商品,商家和用户对交易行为负责。对于医疗器械类产品,请先查证核实企业经营资质和医疗器械产品注册证情况。
文献和实验Cell Metab:浙大吕志民团队揭示肿瘤细胞 Warburg 效应促进肿瘤免疫逃逸
细胞的活性,这是肿瘤免疫逃逸的一个重要机制。目前,针对 PD-L1 或 PD-1 的单克隆抗体已被应用到多种肿瘤的治疗上,并显现出了良好的治疗效果。但是,肿瘤细胞 PD-L1 表达是否受肿瘤微环境的营养物质、以及细胞内代谢酶和代谢物质的调控等尚不清楚。 2022 年 8 月 24 日,浙江大学转化医学研究院/附属第一医院吕志民教授团队在 Cell Metabolism 杂志在线发表了题为 Aerobic glycolysis promotes tumor immune evasion
这种水果将助力癌症治疗?增强免疫治疗效果,有望克服 PD-1 耐药难题!
8+ T 细胞介导的,研究者在 MCA-205 小鼠中,施用抗 CD8+单克隆抗体以消耗 CD8+ T 细胞亚群,同时结合 CC 口服灌胃。结果显示,与 CC/IsoCD8+(对照)相比,使用 CC 和抗 CD8+单克隆抗体的小鼠肿瘤生长增加,表明 CC 的微生物组介导的作用是具有 CD8+ T 细胞依赖性的。 题图来源:Cancer Discovery 卡姆果中的多酚物质 Castalagin,具有抗肿瘤作用 接下来,研究了卡姆果的微生物组依赖性抗肿瘤活性的生物活性分子。使用高效液相色谱(HPLC
补充精氨酸能抗癌?Nature:用细菌把「肿瘤克星」送到抗癌前线,免疫治疗效果提高 30%
菌株,单独或合并抗 PD-L1 抗体。结果发现,合并用药降低了肿瘤的生长速率,并且 74% 使用了合并疗法的小鼠甚至根除了肿瘤。与之相对的,单独使用抗 PD-L1 抗体或与野生型菌株合并使用,分别只有 44% 和 39% 的小鼠根除了肿瘤。这增加的 30% 根除肿瘤的治疗效果可归功于生物工程编辑的细菌。综合这些结果可知,L-Arg 菌株增强了 PD-L1 介导的免疫治疗。接下来,研究者试图探究是否该免疫治疗效果是由 T 细胞介导的。他们在 T 细胞缺陷的 cd3e-/-小鼠中重复了上述实验,同样
技术资料暂无技术资料 索取技术资料










