相关产品推荐更多 >
万千商家帮你免费找货
0 人在求购买到急需产品
- 详细信息
- 询价记录
- 文献和实验
- 技术资料
- 英文名:
Anti-Diethylstilbestrol/Hexestrol monoclonal antibody
- 保质期:
5年
- 供应商:
山东绿都
- 保存条件:
-20°
鼠抗己烯雌酚单克隆抗体说明书
【中文名称】鼠抗己烯雌酚单克隆抗体
【英文名称】Mouse Anti-diethylstilbestrol Monoclonal Antibody
【货 号】LD-Ab0014
【来 源】Balb/c 小鼠
【亚 型】IgG
【物理性状】液体,避免反复冻融
【ELISA 效价】 0.005M PBS 体系下1:300000 以上
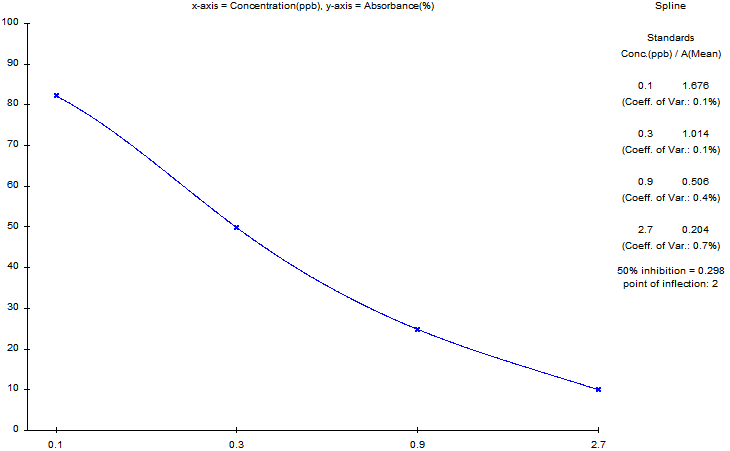
【IC50 】0.2ppb(µg/Kg)
【缓冲液】0.01M PBS PH7.4 不加防腐剂
【储存及有效期】-20℃以下,3 年,避免反复冻融
【相关产品】鼠抗睾酮单克隆抗体;鼠抗雌三醇单克隆抗体;鼠抗己烯雌酚单克隆抗体;鼠抗诺龙单克隆抗体;鼠抗孕酮单克隆抗体;鼠抗雌酮单克隆抗体
己烯雌酚偶联全抗原说明书
【中文名称】己烯雌酚偶联全抗原
【英文名称】Diethylstilbestrol-Protein Conjugate
【货 号】LD-Ag0014
【蛋白载体】牛血清白蛋白/卵清白蛋白/匙孔血蓝蛋白BSA/OVA/KLH
【物理性状】液体,避免反复冻融
【ELISA效价】 0.005M PBS 体系下1:30000以上
【免疫层析效价】 1:40以上,偶联比大于1:60
【蛋白浓度】5.0 mg/ml
【缓冲液】0.01M PBS PH7.4无防腐剂
【储存条件】-20℃以下
【有效期】2年,避免反复冻融
风险提示:丁香通仅作为第三方平台,为商家信息发布提供平台空间。用户咨询产品时请注意保护个人信息及财产安全,合理判断,谨慎选购商品,商家和用户对交易行为负责。对于医疗器械类产品,请先查证核实企业经营资质和医疗器械产品注册证情况。
- 作者
- 内容
- 询问日期
文献和实验CD11a/CD11b/CD11c 分子 CDlla 常用单克隆抗体或代号:MHM24, 2F12; CRIS―3(LFA―lα链,整合素α1) 主要表达细胞:Leu[A5] 分子质量(kDa)和结构:spl80(整合素α) 功 能:与1CAM-l(CD54)、ICAM-2(CDl02)、ICAM-3(C1350)结合,介导细胞黏附;与JAMl结合,参与白细胞穿过内皮细胞
分析法,将识别同一分化抗原的来自不同实验室的单克隆抗体归为一个分化群,简称CD(cluster of differentiation)。在许多场合下,抗体及其识别的相应抗原都用同一个CD序号,因此在参阅教科书和文献时需加注意。 一、人白细胞分化抗原的分类 迄今为至,人CD的序号已从CD1命名至CDw130(见表1-2),可大致划分为T细胞、B细胞、髓系细胞、NK细胞、血小板、激活抗原、粘附分子、内皮细胞和细胞因子受体等九个组(表1-1)。 表1-1 CD单抗分组(1993
�1)也是一种含硒酶,其活性中心为Se�Cys,分布于甲状腺、肝、肾和脑垂体中。能催化甲状腺激素T4向其活性形式T3的转化。 近年来研究发现硒与多种疾病的发生有关。如克山病、心肌炎、扩张型心肌病、大骨节病、及碘缺乏病均与缺硒有关。硒还具有抗癌作用,是肝癌、 乳腺癌 、皮肤癌、结肠癌、鼻咽癌及肺癌等的抑制剂。硒还具有促进人体细胞内新陈代谢、核酸合成和抗体形成、抗血栓及抗 衰老 等多方面作用。 硒是人体必需的微量











