相关产品推荐更多 >
万千商家帮你免费找货
0 人在求购买到急需产品
- 详细信息
- 文献和实验
- 技术资料
- 库存:
大量
- 英文名:
Ginsenoside Rh2, 20(S)-
- 保质期:
1-3年
- 供应商:
上海沪震实业有限公司
- 保存条件:
常温或2-8℃保存
- 规格:
5mg/10mg/25mg
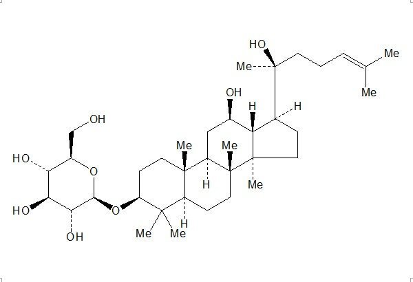
【Product Name】 Ginsenoside Rh2, 20(S)-
【CAS Number】 78214-33-2
【Del.CASNumber】 67400-18-4
【Synonyms】 Ginsenoside Rh2; 20(S)-Ginsenoside Rh2
【中文名称】 20(S)-人参皂苷Rh2
【Chemical Name】 β-D-Glucopyranoside, (3β,12β)-12,20-dihydroxydammar-24-en-3-yl
【Chemical Formula】 C36H62O8
【Molecular Weight】 622.88
【Chemotaxonomic Group】 三萜类 Triterpenoids

相关标准品-对照品列表:
| HZ24339-25g | 氧化铕 | EuHZopium(III)oxide | 1308-96-9 | 4N | 25g | 1900.00 |
| HZ24339-5g | 氧化铕 | EuHZopium(III)oxide | 1308-96-9 | 4N | 5g | 400.00 |
| HZ24340-5g | 氧化钆 | Gadolinium(III)oxide | 12064-62-9 | 3.5N | 5g | 30.00 |
| HZ24341-100g | 氧化镧 | Lanthanum oxide | 1312-81-8 | 3.5N | 100g | 140.00 |
| HZ24342-10g | 氧化钕 | Neodymium oxide | 1313-97-9 | 3N | 10g | 30.00 |
| HZ24343-100g | 氧化钐 | SamaHZium oxide | 12060-58-1 | 3N | 100g | 390.00 |
| HZ24343-10g | 氧化钐 | SamaHZium oxide | 12060-58-1 | 3N | 10g | 70.00 |
| HZ24343-25g | 氧化钐 | SamaHZium oxide | 12060-58-1 | 3N | 25g | 150.00 |
| HZ24343-500g | 氧化钐 | SamaHZium oxide | 12060-58-1 | 3N | 500g | 1200.00 |
| HZ24344-500ml | 蓖麻油 | CastoHZ oil | 8001-79-4 | CP | 500ml | 40.00 |
| HZ24345-500ml | 土耳其红油 | CastoHZ oil sulfonate | 8002-33-3 | CP | 500ml | 60.00 |
风险提示:丁香通仅作为第三方平台,为商家信息发布提供平台空间。用户咨询产品时请注意保护个人信息及财产安全,合理判断,谨慎选购商品,商家和用户对交易行为负责。对于医疗器械类产品,请先查证核实企业经营资质和医疗器械产品注册证情况。
文献和实验【选题投稿】还在为 Meta 选刊烦恼?20+ 本选优期刊汇总
来源于 PubMed) 笔者,在 Greenpubmed 中对数据进行筛选。发现截止到 5 月 9 日,2020 年已经发表了超过 8 千篇 Meta 分析文章。笔者以 3 分为界,选取了发表超过 20 篇 3 分以上的 Meta 期刊,筛选出来将近 30 本期刊。 其中,已发表超过 50 篇的期刊有 Sci Rep (IF=4.011) 73 篇,Int J Surg(IF=3.158)62 篇,Cochrane Database Syst Rev (IF=7.755) 56 篇,J
Purification of Large Cytosolic Proteases for In Vitro Assays: 20S and 26S Proteasomes
Proteasomes are the main cytosolic proteases responsible for generating peptides for antigen processing and presentation in the MHC (major histocompatibility complex) class-I pathway. Purified 20S and 26S proteasomes have been widely used
近期,来自广州海洋实验室的陈凯教授,昆明医科大学口腔医学院的杨禾丰教授和胡江天教授团队在 Bioactive Materials 杂志发表了题为「miR-423-5p-enriched small extracellular vesicles drive periodontal regeneration via Sfrp2+ cell expansion」的科研论文,IF = 20.3。 研究背景: 牙周缺损(periodontal defect)是牙周炎引发的成年人牙齿脱落的主要原因
技术资料暂无技术资料 索取技术资料










