相关产品推荐更多 >
万千商家帮你免费找货
0 人在求购买到急需产品
- 详细信息
- 文献和实验
- 技术资料
- 库存:
312
- 英文名:
Ubenimex
- CAS号:
58970-76-6
- 保质期:
长期
- 供应商:
北京百奥莱博科技有限公司
特别声明:本产品及我公司所售其他产品均为科研类试剂产品,严禁用于药物、医疗及其他非科研用途。
乌*美司对照品现货促销由专业试剂供应商北京百奥莱博提供,用于科研目的生化试验项目,本产品质量好,且极具价格优势,深为用户称道,了解更多乌*美司等标准品对照品产品请联*(代"系")我司咨询订购。
名称:乌*美司对照品现货促销
品牌:百奥莱博
产地:国产|进口
英文名:Ubenimex
规格:100mg/支
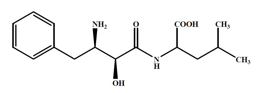
本品为乌*美司化学对照品,供含量测定用,使用前不需干燥处理,供HPLC法测定,按C16H24N2O4计,含量为99.5%。
分子式:C16H24N2O4
结构式:

分子量:308.37
CAS号:58970-76-6
包装及装量:棕色西林瓶装,每支约100毫克。
储存条件:遮光,密封保存。
除乌*美司对照品现货促销外,我公司正在打折促销以下产品:
F030840 BIOTIN标记兔抗驴IgG抗体 Polyclonal Rabbit Anti-Donkey IgG*BIOTIN
BL1209 Cole氏苏木素染色液(常规染色)
ARB13186 小鼠胰岛素样生长因子2(IGF-2)血清中含量检测 Mouse insulin-like growth factor 2,igf-2 ELISA KIT
抗酸染色液(Kinyoun冷染法) 3×50ml|3×100ml
ARB13140 小鼠总三碘甲腺原*酸(TT3)含量分析 Mouse tt3 ELISA KIT
57-30-7 Pentobarbital Sodium *
D2000 II DNA ladder(100-2000bp) 100次
ARB14127 人脂肪酸合酶(FASN)免费代测
CYB162021 兔抗马IgG(抗血清) 0.5ml
9005-65-6 Tween-80 吐温-80
BTN121002 绿如蓝核酸染料(可见光型) DNAGREEN(Visible Light)
HC0193 记号笔(黑色)油性
ARB13547 兔子S100B蛋白(S-100B)定量分析 Rabbit soluble protein-100b,s-100b ELISA KIT
乌*美司对照品现货促销关键词:58970-76-6,Ubenimex,乌*美司
酸性品红 DL-Pyroglutamic acid 3244-88-0
ARB10235 人γ谷*酰转移酶(GGT)酶免分析 Human gamma glutamyl transpeptidase,ggt ELISA KIT
PY02-038 *化*孔雀绿增菌液(MM) 250克
聚酰胺-6-薄膜 Methyl gallate 63428-83-1
9032-75-1 Pectinase 果胶酶(40u/mg)
ARB12543 大鼠胰岛素样生长因子结合蛋白1(IGFBP-1)含量检测 Rat insulin-like growth factor binding protein 1,igfbp-1 ELISA KIT
玉米浆 NAC 66071-94-1
F020221 兔抗人IgG FC抗体 Rabbit Anti-Human IgG(FC)
ARB12103 大鼠甘露糖结合蛋白/甘露糖结合凝集素(MBP/MBL)定量分析 Rat mannma binding protein/mannan binding lectin,mbp/mbl ELISA KIT
001002 马血清
乙酸*缓冲液(0.2mol/L,pH3.6-5.8,无菌) 500ml
ARB10914 人抗凝血酶受体(ATR)血清中含量检测 Human anti-thrombin receptor,atr ELISA KIT
乳酸酚棉蓝染色液 50ml|100ml
PY02-401 BAT培养基 250克
ARB12724 小鼠17羟孕酮(17-OHP)酶免分析 Mouse 17-hydroxyprogesterone,17-ohp ELISA KIT
PCR产物纯化试剂盒 50次|100次
HC0237 大龙单道整只消毒可调移液器
黑色素(醇溶) 12-Aminolauric acid 8005-02-5
利巴韦林 D-Trytophan 36791-04-5
丁烷磺酸* Cremophor EL 2386-54-1
BL0863 羊抗人IgA免疫血清
司盘80 Ammonium iodide 1338-43-8
乌*美司对照品现货促销关键词:58970-76-6,Ubenimex,乌*美司
我公司是一家专注于生命科学和生物技术领域的高科技企业,专业提供生物学试剂、免疫学试剂、生物化学试剂、乌*美司以及其他常用实验室用品以及分子生物学、免疫学、生命科学基础研究诸多领域的生物技术服务。我们秉承着“质量第一,客户至上”的原则,用热情、认真、主动、周到的服务实践着公司的承诺,进而使公司逐步成长为国内具有影响力的生物产品供货商。目前公司客户遍及各大医院、科研机构、大专院校、制药单位、医学检验单位、卫生防疫、生物技术公司、食品单位等诸多领域。于此同时公司严格的管理制度,使百奥莱博形成了独特的市场优势:产品种类齐全、包装规格完善、价格合理、质量保证、信息反馈及时、售后服务周到。
CYB162002 兔抗人IgA(抗血清) 0.5ml
Tris-HCl缓冲液(1mol/L,pH8.5,RNase free) 500ml
67-68-5 二甲基亚砜 DMSO
D-色*酸 BOC-L-Alanine 153-94-6
N-(反式-环氧丁二酰基)-L-亮*酸-4-胍基丁基酰胺 N-Acetyl-glycine 66701-25-5
PY02-056 EE增菌肉汤培养基 250克
ARB10159 人SH2携带蛋白(SHC/SLP-76)免费代测 Human sh2-containing protein,shc/slp-76 ELISA KIT
BTN131227 10 nt随机引物 Octomer
ARB11617 人羟基胶原吡*(代"啶")交联(OH-PYD)含量分析 Human hydroxy-pyridinium crosslinks,oh-pyd ELISA KIT
L-谷*酸溶液 0.2mol/L 100ml
CYB168010 鸡血清 500ml/瓶
ARB12192 大鼠主要组织相容性复合体I类(MHCI/AgBI/H-1I)elisa检测 Rat major Histocomp*(代"a")tibility complexi,mhci/agbi/h-1i ELISA KIT
碳酸*洗液(10%) 500ml
BTN131086 HRP标记亲和素 HRP-Avidin
地衣红 Azithromycin 1400-62-0
ARB12010 大鼠TH2 Elisa定量检测
ARB12754 小鼠CXC趋化因子配体16(CXCL16)代做ELISA实验 Mouse cxc-chemokine ligand 16,cxcl16 ELISA KIT
ARB12726 小鼠3-羟基-3甲基-戊二酰辅酶A还原酶(HMG-COA)含量检测
我公司提供多种购买方式:登陆网站联*(代"系")客服查询!(您可通过电话/传真/QQ/邮件等方式咨询,订购或索取乌*美司最新报价)
我们专业供应科研试剂多年,品质保证 售前,售中,售后服务一条*(代"龙"),无效果、免费退换。您只需告诉我们您的需要或要求,我们的客户服务代表将会给您提供专业的咨询和解答。优质服务让您更省心,更舒心,更放心。敬请关注!
我公司专业供应高品质 elisa试剂盒,血清,抗体,培养基,标准品,乌*美司,生物试剂,实验耗材,公司位于北京市海淀区,是一家专业从事“产品研发生产、市场销*(代"售")、技术服务”为一体的高科技生物技术公司。
北京百莱博科技有限公司是标准品对照品产品的专业生产供应销*(代"售")商,恭候您的咨询选购乌*美司对照品现货促销。
风险提示:丁香通仅作为第三方平台,为商家信息发布提供平台空间。用户咨询产品时请注意保护个人信息及财产安全,合理判断,谨慎选购商品,商家和用户对交易行为负责。对于医疗器械类产品,请先查证核实企业经营资质和医疗器械产品注册证情况。
文献和实验-21-50793722-606 慢病毒现货产品促销:http://tong.dxy.cn/upload/2010/sbo/index2.html Email:sunbio@sbo-bio.com.cn
作为其中国区总代理,为回馈广大新老客户的支持与厚爱,我公司特对德国BISCHOFF液相色谱柱进行全面促销,凡在活动期间购买BISCHOFF色谱柱的顾客即可获赠原装瑞士军刀一把。 活动期限:2010.5.5-2010.7.30 BISCHOFF液相色谱柱采用超纯球形多孔硅胶作为基质,以高效的键合与封端技术研制而成。产品规格非常齐全,种类丰富,既能满足您常规分析的要求,也能满足水系流动相、耐酸耐碱等特殊需求。针对复杂组分的分离,BISCHOFF还推出
祝贺〖雅裕睿安〗成为Signalway Antibody(SAB)独家
祝贺〖上海雅裕 〗成为 Signalway Antibody 品牌 (SAB) 的独家总代理。 促销【 ABCD 】细则如下: 【 A 】 买两支 SAB 抗体免费获得 8G 优盘 活动时间:即日起,至 2011 年
技术资料暂无技术资料 索取技术资料









