相关产品推荐更多 >
万千商家帮你免费找货
0 人在求购买到急需产品
- 详细信息
- 文献和实验
- 技术资料
- 库存:
587
- 英文名:
Ethylenediamine Diaceturate
- 保质期:
长期
- 供应商:
北京百奥莱博科技有限公司
特别声明:本产品及我公司所售其他产品均为科研类试剂产品,严禁用于药物、医疗及其他非科研用途。
北京百奥莱博公司供应包括二乙酰*乙酸乙二*(代"胺")对照品销*(代"售")在内的化学标准品,化学对照品,杂志对照品,HPLC标准品,UV标准品等高品质标准品、对照品
名称:二乙酰*乙酸乙二*(代"胺")对照品销*(代"售")
产地:国产|进口
规格:100mg
品牌:百奥莱博
本品为二乙酰*乙酸乙二*(代"胺")化学对照品,供含量测定用。
分子式:C10H22O6N4
分子量:294.3
包装及装量:棕色小瓶装,每支约100毫克。
储存条件:遮光,密闭保存。
注意事项:使用前不需干燥处理。
关于二乙酰*乙酸乙二*(代"胺")对照品销*(代"售")的更详细说明,请致电我公司咨询,我们将以最饱满的热情为您提供解答,此外,我公司专业供应下列产品:
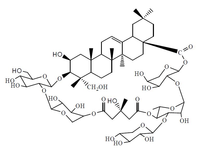
·土贝母苷甲
编号:BP1191
英文名称:Tubemoside Ⅰ
规格:20mg/支
本品为土贝母苷甲化学对照品,供含量测定用,含量以96.4%计,使用前不需干燥处理。
CAS号:102040-03-9
分子式:C63H98O29
分子量:1319.43
结构式:

包装:棕色安瓿瓶
规格:约20mg/支
储存条件:冷处保存
注意事项:本品有引湿性,建议打开包装一次性使用完。
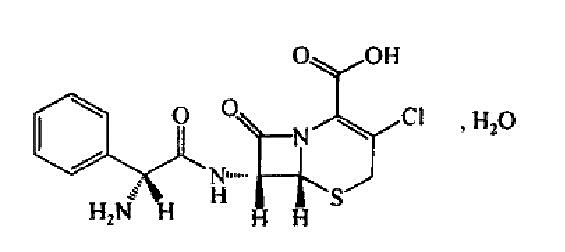
·头孢克洛
编号:BP1634
英文名称:Cefaclor
规格:100mg/支
本品为头孢克洛化学对照品,供HPLC法含量测定用,以C15H14ClN3O4S计,含量为94.4%,使用前不需干燥处理。
CAS号:70356-03-5
分子式:C15H14ClN3O4S·H2O
分子量:385.82
结构式:

包装:安瓿
规格:约100mg/支
储存条件:2-8℃保存
注意事项:本品建议打开包装一次性使用完毕。注意避光
·邻*二甲*(代"酸")二(2-甲氧乙基)酯
编号:BP2173
英文名称:Bis(2-methoxyethyl) Phthalate
规格:1ml
本品为邻*二甲*(代"酸")二(2-甲氧乙基)酯化学对照品,供HPLC法和GC法含量测定用,按C14H18O6计,含量为98.8%,使用前不需干燥处理。
CAS号:117-82-8
分子式:C14H18O6
分子量:282.29
包装及装量:棕色安瓿瓶装,每支约1毫升。
储存条件:遮光,密封保存。
二乙酰*乙酸乙二*(代"胺")对照品销*(代"售")关键词:二乙酰*乙酸乙二*(代"胺"),Ethylenediamine Diaceturate,BP0611
·杠柳毒苷
编号:BP1369
英文名称:Periplocin
规格:20mg/支
本品为杠柳毒苷化学对照品,含量以93.8%计,使用前无需处理。
分子式:C36H56O13
分子量:696
包装及装量:棕色安瓿瓶,约20mg/支
储存条件:干燥密闭保存。
·20(S)-原人参三醇
编号:BP1339
英文名称:20(S)-Protopanaxatriol
规格:20mg
本品为20(S)-原人参三醇化学对照品,供含量测定用。
CAS号:34080-08-5
分子式:C30H52O4
分子量:476
包装及装量:棕色瓶装,约20mg/支
储存条件:4C密封保存
注意事项:置五氧化二磷减压干燥器中干燥12小时以上使用。
·*曲南
编号:BP1656
英文名称:Aztrenom
规格:100mg
本品为20(S)-原人参三醇化学对照品,供含量测定用。
CAS号:34080-08-5
分子式:C30H52O4
分子量:476
包装及装量:棕色瓶装,约20mg/支
储存条件:4C密封保存
注意事项:置五氧化二磷减压干燥器中干燥12小时以上使用。
·舒他西林
编号:BP1643
英文名称:Sultamicillin
规格:100mg
本品为舒他西林化学对照品,供含量测定用,含量以舒他西林C25H30N4O9S2计,使用前不需干燥处理。
CAS号:83105-70-8
分子式:C25H30N4O9S2·C7H8O3S
分子量:766.8
包装:白色安瓿
规格:约100毫克/支
储存条件:2-8℃保存
·睾酮(T)
编号:BP1979
英文名称:Sultamicillin
规格:3支/套,0.5ml/支
本品为睾酮质控血清,供免疫测定用。
1、以睾酮纯品为原料加入至新鲜正常人混合血清制备而成。
2、本套质控血清为冻干品,3支/套,0.5ml/支。
3、使用时应用0.5ml去离子水将内容物完全溶解,充分混合后使用。
4、质控血清I理论值为2.0ng/ml;
质控血清Ⅱ理论值为4.0ng/ml;
质控血清Ⅲ理论值为11.0ng/ml。
由于免疫分析体系不同,各公司测定结果存在一定差异,数据仅供参考。
5、本套质控血清长期保存应在-20℃
二乙酰*乙酸乙二*(代"胺")对照品销*(代"售")关键词:二乙酰*乙酸乙二*(代"胺"),Ethylenediamine Diaceturate,BP0611
二乙酰*乙酸乙二*(代"胺")如何储存?
化学试剂的变质,大多数情况是因为受外界条件的影响,如空气中的氧气、二氧化碳、水蒸气、空气中的酸碱性物质以及环境 温度、光照等,都可使化学试剂发生氧化、还原、潮解、风化、析晶、稀释、锈蚀、分解、挥发、升华、聚合、发霉、变色以及燃爆等变化。经常检查储存中的化学 试剂的存放状况发现实际起过的储存期或变质应及时报告,并按规定妥善处理 ( 降级使用或报废) 和销帐。在正常储存条件下,一般化学试剂贮有不宜超过2年,基准试剂不超1年。为了避免环境和其他因素的干扰,所有化学试剂一经取出不得放回贮有容器: 属于必须回收的试剂或指定、退库、的试剂,必须另设专用容器回收或贮存,具有吸潮性或易氧化,易变质的化学试试剂必须密封保存,避免吸湿解,氧化或变质。 定期盘点,核对出现差错应及时检查原因,并报主管领导或部门处理。
·西索米星
编号:BP1575
英文名称:Sisomicin
规格:约150mg
本品为西索米星标准品,供效价测定用,使用前不需要干燥处理。
使用方法:本标准品使用时,精密称取适量,用磷酸盐缓冲液(pH7.8)使溶解,并制成每1ml中约含1000单位的溶液。1000西索米星单位的标准品溶液在5℃保存,可使用7日。
储存条件:置4℃以下低温避光保存。
·门冬*酸鸟*酸
编号:BP1872
英文名称:Ornithine Aspartate
规格:50mg/瓶
本品为门冬*酸鸟*酸化学对照品,含量以C9H19N3O6计为96.6%,供门冬*酸鸟*酸鉴别使用,以及门冬*酸鸟*酸制剂的含量测定使用。
CAS号:3230-94-2
分子式:C9H19N3O6
分子量:265.27
结构式:

包装:棕色西林瓶
装量:50mg/瓶
储存条件:4℃
·金胺O
编号:BP1349
英文名称:Auramine O
规格:约20mg/支
本品为金胺O化学对照品,供检查项对照用。
CAS号:2465-27-2
分子式:C17H21N3·HCl
分子量:303.83
结构式:

包装:棕色瓶
规格:约20mg/支
储存条件:阴凉处
·普罗瑞林
编号:BP1873
英文名称:Protirelin
规格:20mg
本品为普罗瑞林化学对照品,供HPLC法鉴别和含量测定用,以C16H22N6O4计,含量为96.1%,使用前不需干燥处理。
CAS号:24305-27-9
分子式:C16H22N6O4
分子量:362.4
结构式:

包装:棕色安瓿瓶
规格:约20毫克/支
储存条件:遮光,密封,-20℃保存。
注意事项:本品极具引湿性,临用前将安瓿瓶垂直放置
二乙酰*乙酸乙二*(代"胺")等科研试剂品质优良,受到广大科研工作者的一致肯定和赞许。质量品牌保证,价格公正,倾力为国内国外生命科学研究人员提供一流的产品。欢迎来电咨询!
我公司所售科研每月均有新品促销,您可对我公司网站时刻进行关注,在促销期间购买您所需产品,价格更优惠。二乙酰*乙酸乙二*(代"胺")质量保证,品质已经得到广大客户的认可,您可放心,且我公司有专门的售后部门对客户进行全线跟踪,全程免费技术指导。欢迎询价详谈!
我公司正在打折促销标准品对照品全系列产品,恭候您的咨询选购二乙酰*乙酸乙二*(代"胺")对照品销*(代"售")。
风险提示:丁香通仅作为第三方平台,为商家信息发布提供平台空间。用户咨询产品时请注意保护个人信息及财产安全,合理判断,谨慎选购商品,商家和用户对交易行为负责。对于医疗器械类产品,请先查证核实企业经营资质和医疗器械产品注册证情况。
文献和实验一枝蒿,百病都除掉”的民间谚语,一枝蒿用于治疗毒蛇咬伤、荨麻疹、消化不良、跌打红肿、感冒发烧、咽喉肿痛等症。以一枝蒿为主药的复方制剂,已针对感冒和过敏性鼻炎等症上市销售。一枝蒿中含有黄酮类、酮酸类、氨基酸类、苷类、多糖类、挥发油类、多肽和生物碱类等化学成分[5],其中倍半萜成分――一枝蒿酮酸含量较高[6],以该化合物作为药材对照品能够较好的控制药材质量,且倍半萜类成分大多具有抗肿瘤等多种生物活性。文章建立一枝蒿酮酸的含量测定方法,简便易行,准确可靠,可为一枝蒿药材及相关产品的质量控制奠定
技术资料暂无技术资料 索取技术资料










