相关产品推荐更多 >
万千商家帮你免费找货
0 人在求购买到急需产品
- 详细信息
- 技术资料
- 库存:
797
- 英文名:
Raddeanin A
- CAS号:
89412-79-3
- 保质期:
长期
- 供应商:
北京百奥莱博科技有限公司
- 保存条件:
冷处(2-10℃
特别声明:本产品及我公司所售其他产品均为科研类试剂产品,严禁用于药物、医疗及其他非科研用途。
北京百奥莱博公司供应包括北京竹节香附素A标准品大量库存促销在内的化学标准品,化学对照品,杂志对照品,HPLC标准品,UV标准品等高品质标准品、对照品
名称:北京竹节香附素A标准品大量库存促销
品牌:百奥莱博
编号:BP1311
英文名:Raddeanin A
产地:国产|进口
规格:约20mg/支
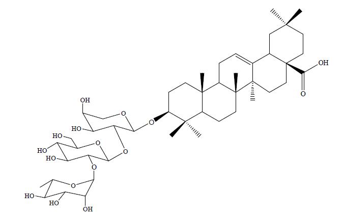
本品为竹节香附素A化学对照品,供鉴别或含量测定用,含量以96.1%计,使用前不需干燥处理。
CAS号:89412-79-3
分子式:C47H76O16
分子量:897.1
结构式:

包装:棕色安瓿
规格:约20mg/支储存条件:冷处(2-10℃)
注意事项:本品有引湿性,建议打开包装一次性使用完。
更多有关北京竹节香附素A标准品大量库存促销的价格及使用说明等,请联*(代"系")我们的业务经理王欣女士咨询,我公司还销*(代"售")以下产品:
BL0784 PCR纯化试剂盒
528-50-7 D-(+)纤维二糖
ARB10184 人α2抗纤溶酶(α2-AP)定量分析 Human α2-antiplasmin,α2-ap ELISA KIT
ARB13004 小鼠抗单链DNA抗体/变性DNA抗体(ssDNA)ELISA检测服务 Mouse single stranded dna antibody,ssdna ELISA KIT
ARB11030 人阿米巴(AmebIAsIs)elisa测定使用说明书 Human amebiasis ELISA KIT
5"-二磷酸葡萄糖腺苷二*盐 2-dT 102129-65-7
PY01-087 血清消化粉 250克|1公斤
D0502 脱纤维驴血(无菌 袋装) 500ml/1000ml/2000ml
ARB11166 人单纯疱疹病毒(HSV)酶标法分析 Human herpes simplex virus,hsv ELISA KIT
ARB12254 大鼠血管紧张素Ⅱ/生成素(AngⅡ)含量分析 Rat angiopoietin-2,ang-2 elis kit
抗体稀释液 50ml|100ml
ARB12201 大鼠皮质醇(CortIsol)定量分析 Rat cortisol ELISA KIT
北京竹节香附素A标准品大量库存促销关键词:Raddeanin A,竹节香附素A,89412-79-3
ARB13211 小鼠高密度脂蛋白胆固醇(HDL-C)血清中含量检测
葡萄糖脱*酶 Squalane 9028-53-9
PY02-243 亚利桑那菌琼脂(SA) 100克
BL1306 BCA蛋白浓度测定试剂盒
ARB12610 大鼠羟基吲哚一氧一甲基转移酶(HIOMT)酶标法分析
CYB163069 兔抗Avidin-FITC
ARB10958 人肠三叶因子(ITF)检测服务 Human intestinal trefoil factor,itf ELISA KIT
对硝基*(代"*")基-α-D-吡喃半乳糖苷 Peptidase 7493-95-0
BL0793 猪IgG抗原(干粉)
PUC19质粒 Vanillin
维生素C检测试剂盒(磷钼酸微板法) 100T
97-67-6 L-Malic acid L-苹果酸
RN1001 EASYspin 酵母RNA快速提取试剂盒
噻*隆 Glutaraldehyde 51707-55-2
PY08-026 亚硒*(代"酸")盐胱*增菌液(SC) 10ml 10支/盒,用于沙门氏菌选择性增菌培养
ARB10131 人N端前脑*素(NT-proBNP)酶免分析 Human n-terminal pro-brain natriuretic Peptide,nt-probnp ELISA KIT
002013 草酸*抗凝兔血
H0601 马血浆(去红细胞、无菌过滤)
D-葡萄糖醛酸 Mycophenolic acid 6556-12-3
D-果糖 Iohexol 57-48-7
D-丝*酸 DL-Glutamic acid 312-84-5
ARB10797 人抗心磷脂抗体IgG(ACA-IgG)检测服务 Human anti-cardiolipin antibody igg,aca-igG ELISA KIT
北京竹节香附素A标准品大量库存促销关键词:Raddeanin A,竹节香附素A,89412-79-3
我公司为您您提供竹节香附素A相关的所有信息,如:第二名称、CAS号、规格、熔点、MSDS、用途、作用、毒性、价格等。规格包装,现货供应,极速发货,实验即可安排,试剂随叫随到,无需等待!
·头孢唑林杂质E
编号:BP1729
英文名称:Cefazolin impurity E
规格:50mg
本品为头孢唑啉杂质E化学对照品,供头孢唑林*品种系统适用性试验用。
使用方法:精密称取本品适量,按相关质量标准的规定,溶解并稀释至所需浓度的溶液,立即使用。
储存条件:置5℃以下低温避光保存。开启安瓿后严密保持干燥,以防吸水。
注意事项:使用前不需干燥处理。
·盐*(代"酸")阿莫地喹
编号:BP0888
英文名称:Amodiaquine Hydrochloride
规格:100mg
本品为盐*(代"酸")阿莫地喹化学对照品,供含量测定用,使用前不需干燥处理。按C20H22ClN3O·2HCl计,含量为91.9%。
CAS号:6398-98-7
分子式:C20H22ClN3O·2HCl·2H2O
分子量:464.81
结构式:

包装:棕色西林瓶
规格:约100毫克/支
储存条件:遮光、密闭保存
·靛蓝
编号:BP1023
英文名称:Indigo
规格:20mg/支
本品为靛蓝化学对照品,供鉴别和含量测定用,使用前不需干燥处理。含量98.7%。
CAS号:482-89-3
分子式:C16H10N2O2
分子量:262.26
结构式:

包装:棕色安瓿瓶
规格:约20mg/支
储存条件:冷处(2-10℃)保存
·托伐普坦
编号:BP0900
英文名称:Tolvaptan
规格:100mg/支
本品为托伐普坦化学对照品,按C26H25ClN2O3计,含量为100.0%。
CAS号:150683-30-0
分子式:C26H25ClN2O3
分子量:448.94
包装及装量:棕色小瓶装,每支约100毫克。
储存条件:遮光密封保存。
注意事项:105℃干燥3 小时后使用。
我公司主要从事免疫学、分子生物学和常规生化试剂的研发、销*(代"售")。并代理销*(代"售")R&D、Sigma、Amresco 、Gibco、Pharmacia、HyClone、GIBCO等多个国外知名品牌,致力于为广大高校、科研院所和企事业单位提供一流的科研试剂和完善的技术服务,满足生物化学、分子生物学 、细胞生物学、免疫学等生物科技实验需求。 公司主要产品:试剂盒:竹节香附素A、ELISA试剂盒、分子生物学试剂、细胞凋亡试剂盒。各种动物血清:NBQQ、HyClone、GIBCO胎牛血清。抗体:进口原装抗体、进口分装抗体、单克隆抗体、多克隆抗体、一抗、二抗。 我们立足于生命科学领域,全力打造高品质生物科技产品链和技术服务链,立志成为生命科学研究领域的问题解决专家。
竹节香附素A现货供应,凡在我公司购买该产品均可享受免费的技术咨询服务,年中降价>>低价格促销:elisa试剂盒,Amrecso原装试剂、抗体、等相关试剂,产品品种齐全,价格优惠。产品质量,服务质量均是一流,您尽可放心购买!
我公司生产供应销*(代"售")的标准品对照品正全品类优惠促销,十分期待您的咨询选购北京竹节香附素A标准品大量库存促销。
风险提示:丁香通仅作为第三方平台,为商家信息发布提供平台空间。用户咨询产品时请注意保护个人信息及财产安全,合理判断,谨慎选购商品,商家和用户对交易行为负责。对于医疗器械类产品,请先查证核实企业经营资质和医疗器械产品注册证情况。
技术资料暂无技术资料 索取技术资料










