万千商家帮你免费找货
0 人在求购买到急需产品
- 详细信息
- 文献和实验
- 技术资料
- 库存:
363
- 英文名:
Floxuridine
- 保质期:
长期
- 供应商:
北京百奥莱博科技有限公司
特别声明:本产品及我公司所售其他产品均为科研类试剂产品,严禁用于药物、医疗及其他非科研用途。
北京百奥莱博公司供应包括*尿苷标准品北京厂家在内的化学标准品,化学对照品,杂志对照品,HPLC标准品,UV标准品等高品质标准品、对照品
名称:*尿苷标准品北京厂家
编号:BP1809
品牌:百奥莱博
英文名:Floxuridine
规格:10mg
产地:国产|进口
本品为*尿苷化学对照品,供相关物质鉴别用,使用前不需干燥处理。
分子式:C9H11FN2O5
分子量:246.20
包装:棕色小瓶
规格:每瓶约10mg
储存条件:遮光,密封保存。
我公司的*尿苷标准品北京厂家,性价比高,货期短,送货上门,欢迎您来电咨询购买,另外,我公司还生产供应销*(代"售")下列产品:
·三(壬基酚)亚磷酸酯(抗氧剂1178)
编号:BP2106
英文名称:Tris(nonylphenyl) phosphite
规格:1ml/支
·脱水差向四环素
编号:BP1590
英文名称:4-epianhydrotetracycline
规格:50mg/支
本品为脱水差向四环素标准品,含量按脱水差向四环素C22H22N2O7计,供盐*(代"酸")四环素品种有关物质及含量测定用。
使用方法:精密称取本品适量,按相关质量标准的规定,溶解并稀释至所需浓度的溶液,立即使用。
储存条件:置5℃以下低温避光保存。开启安瓿后严密保持干燥,以防吸水。
注意事项:使用前不需干燥处理。
·m-甲*(代"酚")-4-磺酸铵(聚甲*(代"酚")磺醛杂质)
编号:BP0739
英文名称:Policresulen Impurity
规格:30mg/支
本品为m-甲*(代"酚")-4-磺酸铵(聚甲*(代"酚")磺醛杂质)化学对照品,供HPLC检查用。供HPLC法测定,按C7H11NO4S计,含量为100%。
分子式:C7H11NO4S
分子量:205.23
包装及装量:棕色瓶,约30mg/支
储存条件:遮光,密封保存
注意事项:使用前不需干燥处理
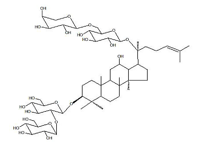
·人参皂苷Rb2
编号:BP1314
英文名称:Ginsenoside Rb2
规格:约10mg/支
本品为人参皂苷Rb2化学对照品,供供鉴别或含量测定用,含量以93.8%计。
CAS号:11021-13-9
分子式:C53H90O22
分子量:1079.27
结构式:

包装及装量:棕色安瓿瓶,约20mg/支
储存条件:冷冻保存
注意事项:使用前无需干燥处理。本品有引湿性,打开包装后一次使用完毕。
·白鲜碱
编号:BP1267
英文名称:Dictamnine
规格:20mg
本品为人参皂苷Rb2化学对照品,供供鉴别或含量测定用,含量以93.8%计。
CAS号:11021-13-9
分子式:C53H90O22
分子量:1079.27
结构式:

包装及装量:棕色安瓿瓶,约20mg/支
储存条件:冷冻保存
注意事项:使用前无需干燥处理。本品有引湿性,打开包装后一次使用完毕。
·脱水穿心莲内酯琥珀酸半酯
编号:BP1234
英文名称:Dehydroandrographolide Succinate
规格:20mg/支
本品为脱水穿心莲内酯琥珀酸半酯化学对照品,供含量测定用,含量以99.6%计,使用前不需干燥处理。
CAS号:786593-06-4
分子式:C28H36O10
分子量:532
结构式:

包装:棕色安瓿瓶
装量:约20mg/支
储存条件:冷冻保存
*尿苷标准品北京厂家关键词:BP1809,*尿苷,Floxuridine
我公司生产的*尿苷纯度高价格低,质量有保证,客户更放心。我们为科研用户提供上千种生物试剂现货及sigma全线产品原装期货,货期短,价格低,质量好。用我们100%的真诚、热情换取您100%的信任与支持!
·阿米卡星杂质A
编号:BP1691
英文名称:Amikacin Impurity A
规格:50mg
本品为阿米卡星杂质A化学对照品,供阿米卡星及硫*(代"酸")阿米卡星品种HPLC系统适用性用。
分子式:C22H43N5O13
分子量:585
结构式:

包装及装量:直口瓶;约50mg/支
储存条件:置4℃以下条件避光保存。
·米索前列醇
编号:BP2121
英文名称:Misoprostol
规格:50mg/支
本品为米索前列醇化学对照品,供HPLC法鉴别和含量测定用。需低温保存,开启后直接使用。以C22H38O5计,含量为98.9%。
CAS号:59122-46-2
分子式:C22H38O5
分子量:382.54
结构式:

包装:棕色V型底小瓶
规格:约50毫克/支
储存条件:-20℃密闭避光保存
注意事项:本品开启后直接称取,临用临配,避免长
·月桂酸
编号:BP1353
英文名称:Lauric acid
规格:约20mg/支
本品为月桂酸化学对照品,供含量测定用,含量以99.4%计,使用前不需干燥处理。
CAS号:143-07-7
分子式:C12H24O2
分子量:200.32
结构式:

包装:棕色安瓿瓶。
装量:约20mg/支
储存条件:阴凉处保存
·山柰酚-3-O-龙胆二糖苷
编号:BP1546
英文名称:Kaempferol-3-O-gentionbioside
规格:20mg/支
本品为山柰酚-3-O-龙胆二糖苷化学对照品,供含量测定用,含量以96.2%计,使用前不需干燥处理。
CAS号:22149-35-5
分子式:C27H30O16
分子量:610.52
结构式:

包装:棕色安瓿瓶
装量:约20mg/支
储存条件:冷处(2-10℃)保存
注意事项:本品有引湿性,建议打开包装后一次性使用完。
*尿苷标准品北京厂家关键词:BP1809,*尿苷,Floxuridine
*尿苷怎样保存?
一般试剂可保存在玻璃瓶内; 对玻璃有强烈腐蚀作用的试剂,如**酸、*氧化*应保存在聚乙*(代"烯")塑料瓶内; 易被空气氧化、分化、潮解的试剂应密封保存;易感光分解的试剂应用有色玻璃瓶贮存并藏于暗处; 易受热分解及低沸点溶剂,应存于冷处; 剧毒试剂应存于保险箱; 有放射性的试剂应存于铅罐中。如果化学试剂保管不当,就会失效变质,影响实验的效果,并造成物质的浪费,甚至有时还会发生事故。因此,科学地保管好试剂对于保证实验顺利进行,获得 可靠的实验数据具有非常重要的意义。
Orth固定液 500ml
A3308-22 驴血清 100ml|500ml
F030828 BIOTIN标记兔抗猫IgG抗体 Rabbit Anti-Cat IgG*BIOTIN
新生霉素 BEPyBr 1476-53-5
BL0826 HRP标记兔抗HRP抗体
C1501 狗血清(无菌过滤)
PY02-319 3%*化*MR-VP培养基 250克
ARB10124 人NOD样受体(NLR)elisa检测操作说明书 Human nod-like receptor9,nlr ELISA KIT
丁酰胆碱酯酶 Sephacryl S-1000 Superfine 9001-08-5
二甲*青FF溶液(1%) 10ml
β-谷甾烷醇 Terramycin 915-05-9
HC0195 记号笔(红色)
BL0831 HRP标记牛血清白蛋白BSA抗体
制霉菌素溶液(10mg/ml) Nystatin 10mg/ml 10ml
BL0987 Peptone 蛋白胨
KP201 Pfu PCR MasterMix
油红O Amid-Thin W 1320-06-5
BL1416 "Western blotting(山羊IgG)
我公司客户遍布大学、研究所、医院、卫生防疫、商品检验检疫、制药公司、生物技术公司和食品工业等单位。公司供应的*尿苷获得一致好评。其立足于生命科学领域,全力打造高品质生物科技产品链和技术服务链,也具备丰富的管理经验,同时我们建立了集技术支持、售后服务等多方位的服务体系。我们有激情、有理想,更有责任感,是您科研道路上值得信赖的伙伴。
公司的理念是:以诚信为本,努力打造优质品牌,为您提供全方位的售中、售后服务。
北京百莱博科技有限公司专业生产标准品对照品产品,欢迎来电咨询选购*尿苷标准品北京厂家。
风险提示:丁香通仅作为第三方平台,为商家信息发布提供平台空间。用户咨询产品时请注意保护个人信息及财产安全,合理判断,谨慎选购商品,商家和用户对交易行为负责。对于医疗器械类产品,请先查证核实企业经营资质和医疗器械产品注册证情况。
文献和实验本文主要介绍 ELISA 试剂盒、实验样本、相关问题,帮助大家更好地开展实验 试剂盒 Q1:科研试剂盒与临床试剂盒的区别 ? A1:临床试剂是经过权威机构认可的,如 FDA、CFDA 等;而科研试剂一般是厂家自主研制,不需要通过权威机构验证。 经营临床诊断类产品的机构需要取得《医疗器械经营企业许可证》;经营科研试剂的机构不需要此证件。 临床试剂盒一般仅用于检测人血清/血浆等较为单一的分泌性样本类型;科研试剂盒的样本检测种类、检测范围则比临床试剂盒宽广得多。但一般来说,临床试剂盒的质量
前段时间,小编的朋友圈被「我们的 18 岁」刷了屏,大家争相回忆自己曾经的似水年华。原来十年前,已经是 2009,而不再是 1999 了。,但是实验室的一些老物件却勾起了小编对于过去回忆……试剂篇这是一瓶好早以前的硫酸锌,从这个国家标准来看,应该是 1978 年后生产的。还有北京朝阳区化工四厂出品的硫酸锰。北京化工四厂 1956 年建厂, 1964 年由市区迁入房山区,是一个有 60 多年的老厂。这瓶柠檬酸三钠从批号看是 1985 年产的,比小编大了能有 10 岁。不看不知道,原来实验室很早
市面上的 ELISA 试剂盒五花八门,质量良莠不齐。如何浪里淘金,选择既符合科研需求,又品质上乘的 ELISA 试剂盒呢? 教你七招,快速搞定 ELISA 试剂盒的选择! 01 查找待测样本的蛋白浓度 通过检索 SCI 文献、Genecards、Mayocliniclabs 等,获得目标蛋白的表达部位及表达浓度参考值,比较 ELISA 试剂盒中给出的样本测值与参考值是否一致。 02 明确试剂盒的应用种属&检测的样本类型 不同厂家验证的样本类型不同。除试剂盒特别说明外,一般情况下,不同
技术资料暂无技术资料 索取技术资料









