相关产品推荐更多 >
万千商家帮你免费找货
0 人在求购买到急需产品
- 详细信息
- 文献和实验
- 技术资料
- 库存:
780
- 英文名:
Saikosaponin d
- CAS号:
20874-52-6
- 保质期:
长期
- 供应商:
北京百奥莱博科技有限公司
特别声明:本产品及我公司所售其他产品均为科研类试剂产品,严禁用于药物、医疗及其他非科研用途。
北京百奥莱博公司供应包括柴胡皂苷d标准品价格厂家在内的化学标准品,化学对照品,杂志对照品,HPLC标准品,UV标准品等高品质标准品、对照品
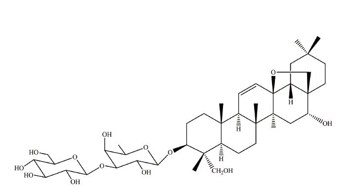
名称:柴胡皂苷d
编号:BP1073
规格:20mg/支
产地:国产|进口
品牌:百奥莱博
英文名:Saikosaponin d
本品为柴胡皂苷d化学对照品,供鉴别和含量测定用,使用前不需干燥处理。含量以95.8%计。
CAS号:20874-52-6
分子式:C42H68O13
分子量:780.98
结构式:

包装:棕色安瓿瓶
规格:约20mg/支
储存条件:冷冻保存
关键词:20874-52-6,柴胡皂苷d,Saikosaponin d
更多有关柴胡皂苷d标准品价格厂家的价格及使用说明等,请联*(代"系")我们的业务经理王欣女士咨询,我公司还销*(代"售")以下产品:
| 编号 | 名称 |
| BP1308 | 染料木苷 |
| BP1798 | 重组人生长激素 |
| BP2129 | 碘塞罗宁* |
| BP1781 | 牛血红蛋白 |
| BP0880 | 11-顺阿维A |
| BP1986 | 蛋黄磷脂酰胆碱 |
| BP2126 | 门冬胰岛素 |
| BP1623 | 环丙沙星 |
| BP0259 | 林旦 |
| BP0494 | 4-*基-5-*基甲酰基咪唑 |
| BP1614 | 林可霉素 |
| BP0773 | 吲哚布芬 |
| BP1225 | 二*欧山芹醇当归酸酯 |
| BP1062 | 五味子乙素 |
| BP1701 | 替卡西林 |
| BP0827 | *碘羟喹系统适用性试验对照品 |
| BP1603 | 无味*霉素A晶型 |
| BP0258 | 卡铂 |
| BP1452 | 木通*乙醇苷B |
| BP0442 | 聚乙*(代"烯")醇 |
| BP1531 | 双去甲氧基姜黄素 |
| BP0387 | 盐*(代"酸")双环胺 |
| BP0742 | *丁美酮 |
| BP1776 | 可溶性淀粉 |
| BP1801 | D-葡萄糖醛酸 |
| BP0373 | *甲东莨菪碱 |
| BP1960 | 盐*(代"酸")纳洛酮杂质 |
| BP0632 | 甲氧*普胺 |
| BP2106 | 三(壬基酚)亚磷酸酯(抗氧剂1178) |
| BP0619 | 维库*铵 |
| BP0372 | 盐*(代"酸")环仑特罗 |
| BP0407 | 盐*(代"酸")美司坦 |
风险提示:丁香通仅作为第三方平台,为商家信息发布提供平台空间。用户咨询产品时请注意保护个人信息及财产安全,合理判断,谨慎选购商品,商家和用户对交易行为负责。对于医疗器械类产品,请先查证核实企业经营资质和医疗器械产品注册证情况。
文献和实验本文主要介绍 ELISA 试剂盒、实验样本、相关问题,帮助大家更好地开展实验 试剂盒 Q1:科研试剂盒与临床试剂盒的区别 ? A1:临床试剂是经过权威机构认可的,如 FDA、CFDA 等;而科研试剂一般是厂家自主研制,不需要通过权威机构验证。 经营临床诊断类产品的机构需要取得《医疗器械经营企业许可证》;经营科研试剂的机构不需要此证件。 临床试剂盒一般仅用于检测人血清/血浆等较为单一的分泌性样本类型;科研试剂盒的样本检测种类、检测范围则比临床试剂盒宽广得多。但一般来说,临床试剂盒的质量
,鉴于 DAAO 对 D 型酸性氨基酸的活性较差,在确定了 D 型氨基酸的主要生产菌株后,作者通过对其中产量最高的 8 株菌做进一步 LC-MS/MS 分析,对包括 2 种酸性氨基酸和宿主无法合成的 D 型丙氨酸在内的 5 种 D 型氨基酸进行准确定量。作者先将产物通过 SCX-SPE 除盐并富集其中的氨基酸,并基于标准品计算这 5 种 D 型氨基酸回收率。根据标准品的保留时间和额外加样,作者确定了这些样品中 5 种目标 D 型氨基酸的含量(图 3)。值得注意的是,蜡样芽孢杆菌的 D 型氨基酸产物谱中存在高
市面上的 ELISA 试剂盒五花八门,质量良莠不齐。如何浪里淘金,选择既符合科研需求,又品质上乘的 ELISA 试剂盒呢? 教你七招,快速搞定 ELISA 试剂盒的选择! 01 查找待测样本的蛋白浓度 通过检索 SCI 文献、Genecards、Mayocliniclabs 等,获得目标蛋白的表达部位及表达浓度参考值,比较 ELISA 试剂盒中给出的样本测值与参考值是否一致。 02 明确试剂盒的应用种属&检测的样本类型 不同厂家验证的样本类型不同。除试剂盒特别说明外,一般情况下,不同
技术资料暂无技术资料 索取技术资料










