相关产品推荐更多 >
万千商家帮你免费找货
0 人在求购买到急需产品
- 详细信息
- 文献和实验
- 技术资料
- 库存:
890
- 英文名:
Senegenin
- 保质期:
长期
- 供应商:
北京百奥莱博科技有限公司
- 保存条件:
冷藏
特别声明:本产品及我公司所售其他产品均为科研类试剂产品,严禁用于药物、医疗及其他非科研用途。
北京百奥莱博公司供应包括远志皂苷元标准品现货促销在内的化学标准品,化学对照品,杂志对照品,HPLC标准品,UV标准品等高品质标准品、对照品
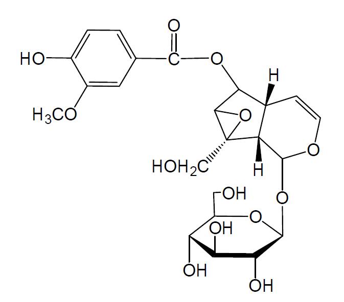
名称:远志皂苷元标准品现货促销
规格:20mg
英文名:Senegenin
产地:国产|进口
编号:BP1214
品牌:百奥莱博
我公司的远志皂苷元标准品现货促销,性价比高,货期短,送货上门,欢迎您来电咨询购买,另外,我公司还生产供应销*(代"售")下列产品:
·利福昔明
编号:BP1685
英文名称:Rifaximin
规格:100mg
本品为利福昔明化学对照品,供含量测定用,含量以利福昔明C43H51N3O11计,使用前不需干燥处理。
CAS号:80621-81-4
分子式:C43H51N3O11
分子量:785.89
结构式:

包装:棕色安瓿
规格:约100毫克/支
储存条件:2-8℃保存
·N-甲基帕罗西汀
编号:BP0833
英文名称:N-Methylparoxetine
规格:50mg
本品为利福昔明化学对照品,供含量测定用,含量以利福昔明C43H51N3O11计,使用前不需干燥处理。
CAS号:80621-81-4
分子式:C43H51N3O11
分子量:785.89
结构式:

包装:棕色安瓿
规格:约100毫克/支
储存条件:2-8℃保存
·**酸高乌甲素
编号:BP0230
英文名称:Lappaconitine Hydrobromide
规格:100mg
本品为**酸高乌甲素一水合物。供HPLC法测定,按C32H44N2O8·HBr计,含量为94.6%。
分子式:C32H44N2O8·HBr·H2O
分子量:683.64
包装及装量:棕色西林瓶装,每支约100毫克
储存条件:遮光,密封保存
注意事项:使用前不需干燥处理。
·己内酰胺
编号:BP0191
英文名称:Hexanolactam
规格:50mg
本品为己内酰胺( Caprolactam)化学对照品。供检查用。
分子式:C6H11NO
分子量:113.16
CAS号:105-60-2
包装及装量:棕色小瓶装,每支约50毫克。
储存条件:遮光,密闭保存。
注意事项:使用前不需干燥处理。
远志皂苷元标准品现货促销关键词:Senegenin,BP1214,远志皂苷元
·甲基橙皮苷
编号:BP1222
英文名称:Methyl Hesperidin
规格:50mg
·烟酸
编号:BP0342
英文名称:Nicotinic Acid
规格:100mg/支
本品为烟酸化学对照品,供含量测定用,使用前不需干燥处理。按C6H5NO2计,含量为99.8%。
分子式:C6H5NO2
分子量:123.11
CAS号:59-67-6
包装:棕色西林瓶装。
装量:约100毫克/支。
储存条件:遮光密闭,10~30℃干燥处保存。
·哌喹
编号:BP0747
英文名称:Piperaquine
规格:100mg
本品为烟酸化学对照品,供含量测定用,使用前不需干燥处理。按C6H5NO2计,含量为99.8%。
分子式:C6H5NO2
分子量:123.11
CAS号:59-67-6
包装:棕色西林瓶装。
装量:约100毫克/支。
储存条件:遮光密闭,10~30℃干燥处保存。
·氧化苦参碱
编号:BP1074
英文名称:Oxymatrine
规格:20mg/支
本品为氧化苦参碱化学对照品,供鉴别和含量测定用,使用前不需干燥处理。以C15H24N2O2计,含量92.5%。
CAS号:16837-52-8
分子式:C15H24N2O2
分子量:264.36
结构式:

包装:棕色安瓿瓶
规格:约20mg/支
储存条件:冷处(2-10℃)保存
注意事项:本品具有引湿性,建议打开包装一次性使用完。
·右旋糖酐分子量标准(套)
编号:BP1799
英文名称:Dextran Standard D0
规格:100mg/瓶
本品为右旋糖酐分子量标准套(10 种)化学对照品,供右旋糖酐系列与右旋糖酐铁分子量与分子量分布检查用,右旋糖酐D0 与D2000 为系统适应性试验用。
分子量:
右旋糖酐D0 Mp180;
右旋糖酐D1 Mp2700;
右旋糖酐D2 Mp5250;
右旋糖酐D3 Mp9750;
右旋糖酐D4 Mp13050;
右旋糖酐D5 Mp36800;
右旋糖酐D6 Mp64650;
右旋糖酐D7 Mp135350;
右旋糖酐D8 Mp300600;
远志皂苷元标准品现货促销关键词:Senegenin,BP1214,远志皂苷元
远志皂苷元由我公司优惠供应,公司常年现货,欢迎广大科研工作者及经销商同仁前来咨询选购,另外公司专业从事进口科研生化试剂的批发及零售业务,产品涉及分子生物学、细胞生物学、免疫学、生物化学等诸多生命科研领域。因公司业务发展的需要,现诚征各地经销代理商,欢迎有志从事本行业的精英、同行莅临指导。
·磷酸哌喹杂质Ⅲ
编号:BP0952
英文名称:Piperaquine Phosphate Impurity Ⅲ[1,4-bis(7-chloro-quinoline-4-yl)piperazin*(代"e")]
规格:50mg
本品为磷酸哌喹杂质Ⅲ[1,4双(7-*-喹*(代"啉")-4-基)哌*(代"嗪")]化学对照品,供检查用,按C22H18Cl2N4计,含量为100%,使用前不需干燥处理。
分子式:C22H18Cl2N4
分子量:409.31
包装:棕色安瓿瓶
规格:约50毫克/支
储存条件:遮光,置2-8℃保存密闭保存
·盐*(代"酸")氮卓斯汀
编号:BP0466
英文名称:Azelastine Hydrochloride
规格:100mg
本品为磷酸哌喹杂质Ⅲ[1,4双(7-*-喹*(代"啉")-4-基)哌*(代"嗪")]化学对照品,供检查用,按C22H18Cl2N4计,含量为100%,使用前不需干燥处理。
分子式:C22H18Cl2N4
分子量:409.31
包装:棕色安瓿瓶
规格:约50毫克/支
储存条件:遮光,置2-8℃保存密闭保存
·胡黄连苷II
编号:BP1232
英文名称:Picroside-II
规格:20mg/支
本品为胡黄连苷II化学对照品,供含量测定用,含量以96.2%计,使用前不需干燥处理。
CAS号:39012-20-9
分子式:C23H28O13
分子量:512.46
结构式:

包装:棕色安瓿瓶
规格:约20mg/支
储存条件:冷处(2-10℃)保存
·2-单硝酸异山梨酯
编号:BP0536
英文名称:Isosorbide 2-nitrate
规格:50mg/支
本品为2-单硝酸异山梨酯化学对照品,供HPLC法测定,按C6H9NO6计,含量为100.0%。
CAS号:16106-20-0
分子式:C6H9NO6
分子量:191.14
包装及装量:棕色瓶,约50mg/支
储存条件:遮光密封保存
注意事项:受热或受到撞击易发生爆炸,使用前不需干燥处理。
我公司客户遍布大学、研究所、医院、卫生防疫、商品检验检疫、制药公司、生物技术公司和食品工业等单位。公司供应的远志皂苷元获得一致好评。其立足于生命科学领域,全力打造高品质生物科技产品链和技术服务链,也具备丰富的管理经验,同时我们建立了集技术支持、售后服务等多方位的服务体系。我们有激情、有理想,更有责任感,是您科研道路上值得信赖的伙伴。
公司的理念是:以诚信为本,努力打造优质品牌,为您提供全方位的售中、售后服务。
远志皂苷元由我公司长期专业供应,公司为广大顾客提供 远志皂苷元产品说明,生产厂家,价格,规格,哪里买 。公司遵循高品质的产品,高质量的技术服务,合理的价格,是国内研发与生产,销*(代"售")合为一体的一家大型企业,我们承诺:以最少的经费,最高的效率,得到您最需要的实验结果,同时我们承诺,若有质量问题,无条件退换。
北京百莱博科技有限公司专业生产标准品对照品产品,欢迎来电咨询选购远志皂苷元标准品现货促销。
风险提示:丁香通仅作为第三方平台,为商家信息发布提供平台空间。用户咨询产品时请注意保护个人信息及财产安全,合理判断,谨慎选购商品,商家和用户对交易行为负责。对于医疗器械类产品,请先查证核实企业经营资质和医疗器械产品注册证情况。
文献和实验。博士德部分现货ELISA产品超低价促销! 供应以上产品均为现货。特价产品如下: h.Activin A 1000元/96T h.MIP-1a 1500元/96T m.IL-4 1000元/96T h.BDNF 1000元/96Th.MIP-3a 1500元/96T m.IL-5 1000元/96T h.BMP-2 1500元/96Th.MCP-1 1000元/96T m.IL-6 1000元/96T h.CD54 1500元/96Th.MMP
祝贺〖雅裕睿安〗成为Signalway Antibody(SAB)独家
祝贺〖上海雅裕 〗成为 Signalway Antibody 品牌 (SAB) 的独家总代理。 促销【 ABCD 】细则如下: 【 A 】 买两支 SAB 抗体免费获得 8G 优盘 活动时间:即日起,至 2011 年
技术资料暂无技术资料 索取技术资料










