万千商家帮你免费找货
0 人在求购买到急需产品
- 详细信息
- 文献和实验
- 技术资料
- 库存:
525
- 英文名:
D-Fructose
- CAS号:
57-48-7
- 保质期:
长期
- 供应商:
北京百奥莱博科技有限公司
- 保存条件:
冷处(2-10℃
特别声明:本产品及我公司所售其他产品均为科研类试剂产品,严禁用于药物、医疗及其他非科研用途。
北京百奥莱博公司供应包括北京现货D-果糖标准品销*(代"售")在内的化学标准品,化学对照品,杂志对照品,HPLC标准品,UV标准品等高品质标准品、对照品
名称:北京现货D-果糖标准品销*(代"售")
产地:国产|进口
编号:BP1171
英文名:D-Fructose
规格:30mg/支
本品为D-果糖化学对照品,供含量测定用,含量以100.0%计,使用前不需干燥处理。
CAS号:57-48-7
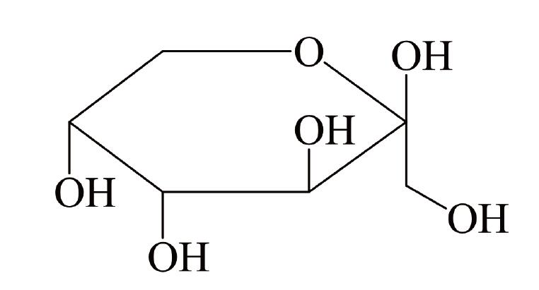
分子式:C6H12O6
分子量:180.16
结构式:

包装:棕色安瓿瓶。
规格:约30mg/支。
储存条件:冷处(2-10℃)保存。
注意事项:本品极具引湿性,建议打开包装一次性使用完毕。
除北京现货D-果糖标准品销*(代"售")外,我公司正在打折促销以下产品:
BTN130863 碘化丙啶干粉 PI Powder
ARB13077 小鼠单胺氧化酶(MAO)Elisa定量检测 Mouse monoamine oxidase,mao ELISA KIT
1,1-二*基-2-苦基肼 Cefazolin sodiu*(代"m") salt 1898-66-4
3-吲哚丙*(代"酸") Protamine sulfate 830-96-6
ARB13798 豚鼠免疫球蛋白G(IgG)ELISA检测服务 Guinea pig immunoglobulin g,IgG ELISA KIT
KG204 血液直接PCR试剂盒
HC0133 擦镜纸
磺胺二甲基嘧啶 Iron(II) D-gluconate dihydrate 57-68-1
BTN100407 人淋巴细胞分离液A型 Lymphocyte Separation Solution A
ARB10635 人血管内皮生长因子(VEGF)酶联免疫定量检测 Human vascular endothelial growth factor,vegf ELISA KIT
F050304 山羊IgG抗体 Goat IgG
717阴离子交换树脂 ACHE 122560-63-8
ARB11141 人肿瘤坏死因子可溶性受体I(TNFsR-I)ELISA代测服务 Human tumor necrosis factor soluble receptor i,tnfsr-iELISA KIT
ARB10516 人白细胞介素35(IL-35)elisa测定使用说明书 Human interleukin35,IL-35 ELISA KIT
HC0270 Conbitips Plus分液管适配器(50ml)
Scott蓝化液 500ml
北京现货D-果糖标准品销*(代"售")关键词:D-Fructose,57-48-7,D-果糖
BTN111116 一站式GST标记蛋白质微量纯化套装 One-Stop GST-Tagged Protein Miniprep Pack
CYB168016 大鼠血清 100ml/瓶
ARB11275 人骨桥蛋白(OPN)Elisa分析 Human osteopontin,opn ELISA KIT
ARB10293 人己糖激酶(HK)elisa检测操作说明书 Human hexokinase,hk ELISA KIT
2483-12-3 4*dNTPs
甲醛缓冲吸收液 100× 100ml|500ml
72-19-5 L-Threonine L-苏*酸
井冈霉素 E-64 37248-47-8
PY01-091 肌苷 10克
麦芽糖溶液 Maltose Solution 20% 100ml
ARB10860 人抗神经元核抗体1型/抗Hu抗体(ANNA-1/Hu)尿液中含量检测 Human neuronal nuclear autoantibody,anna-1/hu ELISA KIT
ELISA封闭液(5%BSA) 100ml
F040108 鸡卵清蛋白偶联莱克多巴胺 OVA-RAC
甲壳素 Auramine O 1398-61-4
BL1409 "Western blotting(小鼠IgG)
L-丙*酸甲酯盐*(代"酸")盐 Cytochrome C 2491-20-5
ARB12301 大鼠抗单核细胞抗体(AMA)酶联免疫定量检测 Rat anti-monocyte antibody,ama ELISA KIT
3-甲氧基*甲*(代"酸") Laccase from Trametes versicolor 586-38-9
北京现货D-果糖标准品销*(代"售")关键词:D-Fructose,57-48-7,D-果糖
我公司提供多种购买方式:登陆网站联*(代"系")客服查询!(您可通过电话/传真/QQ/邮件等方式咨询,订购或索取D-果糖最新报价)
我们专业供应科研试剂多年,品质保证 售前,售中,售后服务一条*(代"龙"),无效果、免费退换。您只需告诉我们您的需要或要求,我们的客户服务代表将会给您提供专业的咨询和解答。优质服务让您更省心,更舒心,更放心。敬请关注!
·磷酸吡哆醛
编号:BP0650
英文名称:Pyridoxal Phosphate Monohydrate
规格:100mg
·马钱苷
编号:BP1257
英文名称:Loganin
规格:约20mg/支
本品为马钱苷化学对照品,供鉴别或含量测定用,含量以99.2%计,使用前不需干燥处理。
CAS号:18524-94-2
分子式:C17H26O10
分子量:390.40
结构式:

包装:棕色安瓿
规格:约20mg/支
储存条件:冷处(2~10℃)。
·双唾液酸二己糖神经节苷脂*
编号:BP1921
英文名称:Disialoganglioside GD3.disodiu*(代"m")
规格:5mg/瓶
本品为双唾液酸二己糖神经节苷脂*化学对照品,供有关物质检查及含量测定系统适用性试验用。
CAS号:62010-37-1
分子式:C70H123N3O29·2Na
分子量:1517.8
包装:棕色西林瓶
规格:约5mg/瓶
储存条件:2~8℃冷藏保存
注意事项:本品具有引湿性,建议开包装后一次使用。
·发色底物S-2238
编号:BP1919
英文名称:chromogenic substrate S-2238
规格:约18.8mg/瓶
本品为发色底物S-2238标准试剂,供肝素、低分子肝素抗IIa因子效价测定使用
CAS号:113711-77-6
分子式:C27H38N8O5Cl2
分子量:625.6
包装:透明玻璃瓶
规格:约18.8mg/瓶(约30μmol/瓶)
储存条件:4℃,避光
·3’-*-3’-脱氧胸苷(齐多夫定杂质)
编号:BP0891
英文名称:3’-chloro-3’-deoxythymidine
规格:50mg
本品为齐多夫定杂质(3"-*-3"-脱氧胸苷)化学对照品,供HPLC法测定,按C10H13N2O4Cl计,含量为98.0%。
分子式:C10H13N2O4Cl
分子量:260.68
包装及装量:西林瓶装,每支约50毫克。
储存条件:遮光,密封保存。
注意事项:使用前不需干燥处理。
D-果糖如何储存?
化学试剂的变质,大多数情况是因为受外界条件的影响,如空气中的氧气、二氧化碳、水蒸气、空气中的酸碱性物质以及环境 温度、光照等,都可使化学试剂发生氧化、还原、潮解、风化、析晶、稀释、锈蚀、分解、挥发、升华、聚合、发霉、变色以及燃爆等变化。经常检查储存中的化学 试剂的存放状况发现实际起过的储存期或变质应及时报告,并按规定妥善处理 ( 降级使用或报废) 和销帐。在正常储存条件下,一般化学试剂贮有不宜超过2年,基准试剂不超1年。为了避免环境和其他因素的干扰,所有化学试剂一经取出不得放回贮有容器: 属于必须回收的试剂或指定、退库、的试剂,必须另设专用容器回收或贮存,具有吸潮性或易氧化,易变质的化学试试剂必须密封保存,避免吸湿解,氧化或变质。 定期盘点,核对出现差错应及时检查原因,并报主管领导或部门处理。
我公司位于北京市海淀区,是一家专业从事生化试剂、分子生物学试剂、实验耗材研发、销*(代"售")、服务为一体的生物科技公司,公司主要经营的进口品牌包括Sigma,Invitrogen,Roche,Abcam,BD, R&D,GE,Amresco,Merck等;产品涉及化工原料、生化试剂、分子克隆相关试剂、细胞培养及检测常用试剂、实验室常用耗材等。百奥莱博秉承博采众长、诚信为本、德行天下的宗旨服务于客户。公司合作单位及客户包括各大医院、科研机构、大专院校、制药单位、医学检验单位、卫生防疫、生物技术公司、食品单位等诸多领域,正逐步成长为一流的生化试剂和耗材供应商。 我们将一如既往的为您提供优质的产品和完善的售后服务。
我公司强烈推荐标准品对照品系列产品,热情期待您的咨询选购北京现货D-果糖标准品销*(代"售")。
风险提示:丁香通仅作为第三方平台,为商家信息发布提供平台空间。用户咨询产品时请注意保护个人信息及财产安全,合理判断,谨慎选购商品,商家和用户对交易行为负责。对于医疗器械类产品,请先查证核实企业经营资质和医疗器械产品注册证情况。
文献和实验Cell Signaling Technology(CST)宣布个性化癌症诊断许可
成立的全资子公司,于2008年成立于上海,公司拥有非常专业的技术支持和应用团队,拥有经验丰富的市场、销售和物流团队,拥有功能齐全的仓库和配送中心,且在上海和北京备有丰富的现货,致力于为中国客户提供一流的技术支持和客户服务。始于客户需求,终于客户满意是我们的宗旨! 更多信息请联系美国CST公司中国分公司: 地址:上海市浦东南路1101号远东大厦514室,200120 电话:86-21-5835-6288ext 811 或 822 传真:86
http://www.dxy.cn/bbs/post/view?bid=65&id=2788531&sty=1&tpg=3&age=0 求助IEF http://www.dxy.cn/bbs/post/view?bid=65&id=2790118&sty=1&tpg=3&age=0 有谁做过关于膜受体的western blot吗? http://www.dxy.cn/bbs/post/view?bid=65&id=2790221&sty=1&tpg=3&age=0 请问现在哪些公司生产销售
平台生产更有效而价谦的设备,与此相呼应,英国的Amershcem Pharmacia Biotechnology公司也在同一天宣布将提供部分掌握的技术以推动这项技术的应用(16)。美国关于芯片技术召开了两次会议,克林顿总统在会上高度赞赏和肯定该技术,将基因芯片看作是保证一生健康的指南针(17)。预计在今后五年内生物芯片销售可达200-300亿美元;据《财富》杂志预测(97.3),在21世纪,生物芯片对人类的影响将可能超过微电子芯片。 我国在生物芯片研究方面刚刚起步,以97香山会议以来,我国对生
技术资料暂无技术资料 索取技术资料










