相关产品推荐更多 >
万千商家帮你免费找货
0 人在求购买到急需产品
- 详细信息
- 文献和实验
- 技术资料
- 库存:
498
- 英文名:
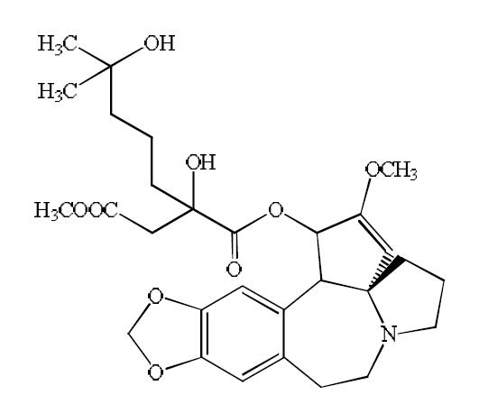
Homoharringtonine
- 保质期:
长期
- 供应商:
北京百奥莱博科技有限公司
特别声明:本产品及我公司所售其他产品均为科研类试剂产品,严禁用于药物、医疗及其他非科研用途。
北京百奥莱博公司供应包括高三尖杉酯碱标准品特价优惠在内的化学标准品,化学对照品,杂志对照品,HPLC标准品,UV标准品等高品质标准品、对照品
名称:高三尖杉酯碱标准品特价优惠
产地:国产|进口
英文名:Homoharringtonine
编号:BP1189
品牌:百奥莱博
本品为高三尖杉酯碱化学对照品,供含量测定用。
分子式:C29H39NO9
分子量:545.62
结构式:

包装:棕色瓶。
装量:每支约 20 毫克。
保存条件:干燥密闭保存。
欲咨询购买高三尖杉酯碱标准品特价优惠,请致电北京百奥莱博科技有限公司,为您提供最全面周到的产品服务,除此之外,我公司正在促销以下产品:
SJ0697 超低分子量蛋白Marker Ⅱ (3.5-26.6kD)
松香酸 Gelatin 514-10-3
ARB13024 小鼠肝细胞生长因子(HGF)Elisa分析 Mouse hepatocyte growth factor,hgf ELISA KIT
F040307 小鼠IgG1抗原 Mouse IgG1
ARB12854 小鼠水通道蛋白4(AQP-4)ELISA检测服务 Mouse aquaporin 4,aqp-4 ELISA KIT
D-谷*酰胺 L-Cystathionine 5959-95-5
ARB10854 人抗信号识别颗粒抗体(SRP)酶免分析 Human signal recognization particle antibody,srp ELISA KIT
PY01-079 盐*(代"酸")吡哆辛(VB6) 25克
ARB12214 大鼠肉毒碱脂酰转移酶(CACT)elisa检测 Rat carnitine-acylcarnitine translocase,cact ELISA KIT
超氧化物歧化酶 T7 DNA Polymerase 9054-89-1
DL-α-硫辛酸 3-Methylindole 1077-28-7
头孢曲松 Paromomycin sulfate salt 73384-59-5
1405-20-5 Polymyxin B Sulfate 多粘菌素B
ARB13055 小鼠转化生长因子β2(TGFβ2)定量分析 Mouse transforming growth factorβ2,tgfβ2 ELISA KIT
2,4-二甲基吡*(代"咯") Maleic hydrazide potassiu*(代"m") salt 625-82-1
丽春红S染色液(1×Ponceau S) 100ml|500ml
高三尖杉酯碱标准品特价优惠关键词:BP1189,Homoharringtonine,高三尖杉酯碱
·苄达赖*酸
编号:BP0428
英文名称:Bendazac Lysine
规格:100mg
·磷酸吡哆醛
编号:BP0650
英文名称:Pyridoxal Phosphate Monohydrate
规格:100mg
·枸橼酸锌
编号:BP0282
英文名称:Zire Citrate
规格:100mg
本品为枸橼酸锌化学对照品,含两分子结晶水。供原子吸收法溶出度测定用。
分子式:C12H10O14Zn3·2H2O
分子量:610.35
CAS号:5990-32-9
包装及装量:棕色小瓶装,每支约100毫克。
储存条件:遮光,密闭保存。
注意事项:使用前不需干燥处理。
·雪胆素甲
编号:BP1182
英文名称:Cucurbitacin Ⅱa
规格:20mg
本品为雪胆素甲化学对照品,供项下比色法含量测定用,含量以99.6%计。
分子式:C32H50O8
分子量:563。
包装及装量:棕色瓶。
储存条件:室温干燥保存。
注意事项:置五氧化二磷干燥器中减压干燥 12 小时后使用,本品有引湿性。
·*甲*(代"酸")甲硝唑
编号:BP0566
英文名称:Metronidazole Benzoate
规格:100mg
本品为雪胆素甲化学对照品,供项下比色法含量测定用,含量以99.6%计。
分子式:C32H50O8
分子量:563。
包装及装量:棕色瓶。
储存条件:室温干燥保存。
注意事项:置五氧化二磷干燥器中减压干燥 12 小时后使用,本品有引湿性。
·双唾液酸四己糖神经节苷脂*
编号:BP1920
英文名称:Disialoganglioside GD1a.disodiu*(代"m")
规格:5mg/瓶
本品为双唾液酸四己糖神经节苷脂*化学对照品,供有关物质检查及含量测定系统适用性试验用。
CAS号:12707-58-3
分子式:C84H146N4O39·2Na
分子量:1882.1
包装:棕色西林瓶
规格:约5mg/瓶
储存条件:2~8℃冷藏保存
注意事项:本品具有引湿性,建议开包装后一次使用。
高三尖杉酯碱标准品特价优惠关键词:BP1189,Homoharringtonine,高三尖杉酯碱
高三尖杉酯碱由我公司优惠供应,公司常年现货,欢迎广大科研工作者及经销商同仁前来咨询选购,另外公司专业从事进口科研生化试剂的批发及零售业务,产品涉及分子生物学、细胞生物学、免疫学、生物化学等诸多生命科研领域。因公司业务发展的需要,现诚征各地经销代理商,欢迎有志从事本行业的精英、同行莅临指导。
·亮*酸
编号:BP1147
英文名称:Leucine
规格:100mg
本品为亮*酸化学对照品,供相关物质鉴别用。
包装及装量:棕色瓶,每支约100毫克
储存条件:干燥密闭保存。
·2”-0-没食子酰基金丝桃苷
编号:BP1250
英文名称:2-O-galloylhyperin
规格:20mg
本品为2”-O-没食子酰基金丝桃苷化学对照品,供含量测定用,含量以88.3%计。
分子式:C28H24O16
分子量:616.11
包装及装量:棕色安瓿瓶。
储存条件:室温干燥避光保存。
·克林霉素B
编号:BP1706
英文名称:Clindamycin B
规格:50mg
本品为克林霉素B化学对照品,供盐*(代"酸")克林霉素HPLC系统适应性试验及有关物质使用,含量以克林霉素B(C17H31ClN2O5S)计。
使用方法:精密称取本品适量,按相关质量标准,用流动相溶解并稀释至所需的浓度,进样使用。
储存条件:置5℃以下低温避光保存。开启安瓿后严密保持干燥,以防吸水。
注意事项:使用前不需干燥处理。
·人参茎叶皂苷
编号:BP1204
英文名称:Ginserg Stem and Leaf Faponins
规格:50mg
本品为克林霉素B化学对照品,供盐*(代"酸")克林霉素HPLC系统适应性试验及有关物质使用,含量以克林霉素B(C17H31ClN2O5S)计。
使用方法:精密称取本品适量,按相关质量标准,用流动相溶解并稀释至所需的浓度,进样使用。
储存条件:置5℃以下低温避光保存。开启安瓿后严密保持干燥,以防吸水。
注意事项:使用前不需干燥处理。
·N-反式-对-香豆酰基去甲辛弗林
编号:BP1521
英文名称:N-trans-p-coumaroyloctopamine
规格:20mg/支
本品为N-反式-对-香豆酰基去甲辛弗林化学对照品,供含量测定用,含量以97.2%计,使用前不需干燥处理。
CAS号:66648-45-1
分子式:C17H17NO4
分子量:299.32
结构式:

包装:棕色安瓿
规格:约20mg/支
储存条件:冷冻保存
注意事项:N-反式-对-香豆酰基去甲辛弗林在溶液状态下不稳定,建议临用前配制并立即进
我公司是一家生物高新技术企业,主要从事免疫学、分子生物学和常规生化试剂的研发、销*(代"售")。并代理销*(代"售")Omega、Sigma、R&D、GBD、ATCC、HYCLONE等二十多家国外知名品牌,致力于为广大高校、科研院所和企事业单位提供一流的科研试剂和完善的技术服务,满足生物化学、分子生物学 、高三尖杉酯碱、细胞生物学、免疫学 ELISA试剂盒等生物科技实验需求。
我公司是一家专业经营生化试剂、仪器、高三尖杉酯碱、实验室耗材的公司,代理许多国际先进水平的高科技产品,包括分子生物学、细胞生物学、免疫学等多个研究及应用领域。我们努力将欧美专业生产厂家的具有国际先进水平的产品推荐给各类研究人员;另一方面也非常重视自主产品研究和开发,推出了一系列具有竞争力的产品和服务。同时国家对于生物行业的发展给予了极大的重视,更多地侧重于科研的投入。
北京百莱博科技有限公司专业生产供应销*(代"售")生物试剂、化学试剂、抗原抗体、血清血浆、Elisa试剂盒,更多试剂产品需求,欢迎来电咨询选购高三尖杉酯碱标准品特价优惠。
风险提示:丁香通仅作为第三方平台,为商家信息发布提供平台空间。用户咨询产品时请注意保护个人信息及财产安全,合理判断,谨慎选购商品,商家和用户对交易行为负责。对于医疗器械类产品,请先查证核实企业经营资质和医疗器械产品注册证情况。
文献和实验质分子量标准(19-119KD) (50次)--每支 280元 五. 秋季部分产品特价促销单 具体产品和价格如下: 一. DNA分子量标准产品: DNA分子量标准 规格 优惠价 DL2000 50次 58元 参照片断(bp):100 、250、500、750、1000、2000bp Marker1 50次 58元 参照片断(bp):100 、200、300、400、500、600bp Marker2 50次 58元 参照片断(bp):100 、300、500
保存 5.准备好所有实验额外所需物品,如试管、吸头、移液器、离心机等 6.根据检测标本数量确定所需试剂的量 7.按说明书将所用试剂平衡至室温,配制所需试剂 8.若有问题,应与我公司或代理商的技术支持联系 博士德生产的ELISA试剂盒特点: 可靠性:博士德公司提供一系列细胞因子和其它蛋白质类ELISA试剂盒。这些试剂盒的标准品、检测抗体和显色剂等辅助试剂/耗材全部为进口产品。其中标准品主要来自SIGMA, R&D和PIERCE公司,保证了定量分析的准确性。检测抗体均已做过特异性和交叉反应的详细
的方法多是用酚氯仿抽提溶液后乙醇沉淀,由于有些多糖沉淀属性和DNA相似时就容易共沉淀下来。鉴于竞争的日趋激烈,纯化试剂价格逐渐向下,连核酸纯化领域的顶级名牌Qiagen也开始大幅度的折扣优惠,所以,有条件还是选择试剂盒,比自己慢慢摸索要更能节约宝贵的青春。所以,这里准备将回收片断按照大小不同来分别介绍不同用途的产品: 常规片断级(DNA片段为100bp-10kb):主流方法是柱回收试剂盒 大片段级(DNA片段>7kb):可选方法是玻璃奶/纯化填料胶回收试剂盒,电洗脱
技术资料暂无技术资料 索取技术资料










