万千商家帮你免费找货
0 人在求购买到急需产品
- 详细信息
- 技术资料
- 库存:
910
- 英文名:
Pirfenidone
- 保质期:
长期
- 供应商:
北京百奥莱博科技有限公司
- 保存条件:
阴凉干燥
特别声明:本产品及我公司所售其他产品均为科研类试剂产品,严禁用于药物、医疗及其他非科研用途。
北京现货吡非尼酮对照品批发由专业试剂供应商北京百奥莱博提供,用于生化研究,本产品质量好,且极具价格优势,深为用户称道,了解更多吡非尼酮等标准品对照品产品请联*(代"系")我司咨询订购。
名称:北京现货吡非尼酮对照品批发
规格:100mg/支
产地:国产|进口
品牌:百奥莱博
英文名:Pirfenidone
更多有关北京现货吡非尼酮对照品批发的价格及使用说明等,请联*(代"系")我们的业务经理王欣女士咨询,我公司还销*(代"售")以下产品:
·辛可尼丁
编号:BP0172
英文名称:Phenytoin Sodium
规格:50mg
·肌苷
编号:BP1817
英文名称:Inosine
规格:约50mg/瓶
本品为肌苷化学对照品,以C10H12N4O5计,含量为98.6%,供鉴别和含量测定使用。
CAS号:58-63-9
分子式:C10H12N4O5
分子量:268.23
包装:棕色西林瓶
规格:约50mg/瓶
储存条件:常温保存
·3, 5-O-二咖啡酰基奎宁酸
编号:BP1361
英文名称:3, 5-O-Dicaffeoylquinic acid
规格:约20mg/支
本品为3,5-O-二咖啡酰基奎宁酸化学对照品,含量测定用,含量以97.3%计,使用前不需干燥处理。
CAS号:89919-62-0
分子式:C25H24O12
分子量:516.44
结构式:

包装:棕色安瓿瓶
装量:约20mg/支
储存条件:冷处(2-10℃)保存
注意事项:本品具引湿性,建议打开包装一次性使用完。
·盐*(代"酸")多塞平
编号:BP0059
英文名称:Doxepin Hydrochloride
规格:100mg/支
本品为盐*(代"酸")多塞平(DoxepinHydrochloride)的化学对照品,供含量测定用,按C19H21NO·HCl计,含量为99.5%。
分子式:C19H21NO·HCl
分子量:315.84
CAS号:1229-29-4
包装及装量:棕色小瓶装,每支约100毫克。
储存条件:遮光,密封保存。
注意事项:本品极具引湿,打开包装一次性使用完。使用不需干燥处理。
·去甲斑蝥素
编号:BP0325
英文名称:Demethylcantharidin
规格:100mg
本品为去甲斑蝥素化学对照品,供含量测定用,使用前不需干燥处理,按C8H8O4计,含量为99.9%。
CAS号:29745-04-8
分子式:C8H8O4
分子量:168.15
包装及装量:棕色西林瓶装,每支约100毫克。
储存条件:遮光,密封保存。
注意事项:使用前不需干燥处理。
北京现货吡非尼酮对照品批发关键词:BP0918,Pirfenidone,吡非尼酮
吡非尼酮现货供应,凡在我公司购买该产品均可享受免费的技术咨询服务,年中降价>>低价格促销:elisa试剂盒,Amrecso原装试剂、抗体、等相关试剂,产品品种齐全,价格优惠。产品质量,服务质量均是一流,您尽可放心购买!
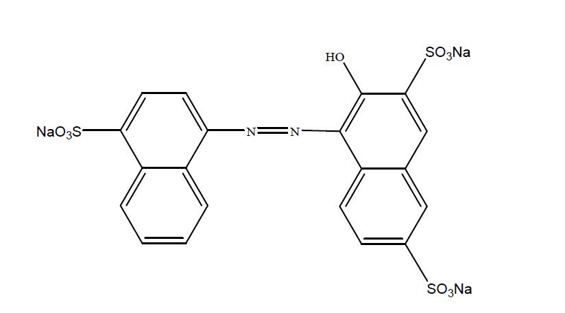
·苋菜红
编号:BP2161
英文名称:Amaranth
规格:50mg/支
本品为苋菜红化学对照品,供乌梅(炙乌梅)补充检验方法用,使用前不需干燥处理。含量以79.8%计。
CAS号:915-67-3
分子式:C20H11N2Na3O10S3
分子量:603.93
结构式:

包装:棕色安瓿瓶
规格:约50mg/支
储存条件:阴凉处保存
注意事项:本品极具引湿性,建议打开包装一次使用完毕。
·丹蒽醌
编号:BP0314
英文名称:Amaranth
规格:100mg
本品为苋菜红化学对照品,供乌梅(炙乌梅)补充检验方法用,使用前不需干燥处理。含量以79.8%计。
CAS号:915-67-3
分子式:C20H11N2Na3O10S3
分子量:603.93
结构式:

包装:棕色安瓿瓶
规格:约50mg/支
储存条件:阴凉处保存
注意事项:本品极具引湿性,建议打开包装一次使用完毕。
·色*酸
编号:BP1830
英文名称:Tryptophan
规格:100mg/支
本品为色*酸化学对照品,供*基酸含量测定和鉴别用,含量为99.9%。
CAS号:73-22-3
分子式:C11H12N2O2
分子量:204.23
包装及装量:2ml棕色西林瓶,约100mg/瓶
储存条件:避光,密封保存
注意事项:按照质量标准称量后溶解使用,使用前不需干燥处理。
·卷曲霉素
编号:BP1565
英文名称:Capreomycin
规格:100mg/支
本品为卷曲霉素标准品,供硫*(代"酸")卷曲霉素品种效价测定用。
包装及装量:安瓿;100mg/支
储存条件:4℃避光保存
使用方法:使用前不需要干燥处理。精密称取适量,按标准方法进行测定,1000u/ml的卷曲霉素溶液在5℃以下条件保存可使用14日。
北京现货吡非尼酮对照品批发关键词:BP0918,Pirfenidone,吡非尼酮
吡非尼酮由我公司优惠供应,公司常年现货,欢迎广大科研工作者及经销商同仁前来咨询选购,另外公司专业从事进口科研生化试剂的批发及零售业务,产品涉及分子生物学、细胞生物学、免疫学、生物化学等诸多生命科研领域。因公司业务发展的需要,现诚征各地经销代理商,欢迎有志从事本行业的精英、同行莅临指导。
BL1331 通用引物 27F
ARB13413 鸡5核苷酸酶(5-NT)Elisa方法检测 Chicken 5-nucleotidase,5-nt ELISA KIT
ARB13747 兔糖化血红蛋白A1c 酶联免疫定量检测 Rabbit glycated hemoglobin a1c ELISA KIT
ARB13390 牛瘦素(LEP)elisa检测
ARB11873 人糖链抗原19-9(CA19-9)Elisa定量检测 Human carbohydRate antigen19-9,ca19-9 ELISA KIT
磷酸*法细胞转染试剂盒 100T
ARB11459 人透明质酸酶(HAAse)尿液中含量检测 Human hyaluronidase,haase ELISA KIT
乙酸*溶液(3mol/L,pH5.6,RNase free) 500ml
ARB10197 人α-银环蛇毒素(α-BGT)定量分析 Human α-bungarotoxin,α-bgt ELISA KIT
DN3701 海洋动物组织基因组DNA快速提取试剂盒
ARB12953 小鼠血管内皮细胞生长因子(VEGF)elisa检测操作说明书 Mouse vascular endothelial cell growth factor,vegf ELISA KIT
BTN70903 一步法质粒 DNAOUT 2.0 One-Step Plasmid DNAOUT 2.0
ARB11056 人*丙*(代"酸")诺龙/*丙*(代"酸")去甲睾酮(NP)elisa检测 Human nandrolone phenylpropionate,np ELISA KIT
2′-脱氧肌苷 Ruodium (Ⅲ) Chloride Hydrate 890-38-0
miRNA cDNA第一链合成试剂盒
64285-73-0 3,3",5,5"-四甲基联*(代"*")*(代"胺")二盐*(代"酸") TMB 2HCL
BL0893 FITC标记羊抗人IgG抗体
91510-62-2 D-半乳糖醛酸 D-(+)-Galacturonic acid
*甲*(代"酚")绿-甲基红指示剂 100ml
F030205 HRP标记山羊抗小鼠IgG抗体 Goat Anti-Mouse IgG*HRP
ARB11502 人脂肪酸结合蛋白(FABP)酶标法分析 Human fatty acid-binding protein,fabp ELISA KIT
吡非尼酮的纯度及用途:纯度高质含量低,适用于研究和配制标准液; 纯度较高,杂质含量较低,适用于定性和定量分析 重量略低于二级试剂,用途近似二级试剂 化学试剂按纯度由低到高可分为工业纯、实验纯(LR)、化学纯(CP)、分析纯(AR)、优级纯(GR)和超纯等多种规格。
我公司生产供应销*(代"售")的标准品对照品正全品类优惠促销,十分期待您的咨询选购北京现货吡非尼酮对照品批发。
风险提示:丁香通仅作为第三方平台,为商家信息发布提供平台空间。用户咨询产品时请注意保护个人信息及财产安全,合理判断,谨慎选购商品,商家和用户对交易行为负责。对于医疗器械类产品,请先查证核实企业经营资质和医疗器械产品注册证情况。
技术资料暂无技术资料 索取技术资料










