万千商家帮你免费找货
0 人在求购买到急需产品
- 详细信息
- 技术资料
- 库存:
929
- 英文名:
Gabexate Mesylate (Mesilate)
- 保质期:
长期
- 供应商:
北京百奥莱博科技有限公司
- 保存条件:
冷藏
特别声明:本产品及我公司所售其他产品均为科研类试剂产品,严禁用于药物、医疗及其他非科研用途。
北京百奥莱博公司供应包括北京甲磺酸加贝酯对照品大量库存促销在内的化学标准品,化学对照品,杂志对照品,HPLC标准品,UV标准品等高品质标准品、对照品
名称:北京甲磺酸加贝酯对照品大量库存促销
规格:100mg
产地:国产|进口
英文名:Gabexate Mesylate (Mesilate)
更多有关北京甲磺酸加贝酯对照品大量库存促销的价格及使用说明等,请联*(代"系")我们的业务经理王欣女士咨询,我公司还销*(代"售")以下产品:
·齐多夫定
编号:BP0517
英文名称:Zidovudine
规格:100mg
本品为齐多夫定化学对照品,供含量测定用。
CAS号:30516-87-1
分子式:C10H13N5O4
分子量:267.24
包装及装量:棕色小瓶装,每支约100毫克。
储存条件:遮光,密封保存。
注意事项:105℃干燥3小时后使用,避光操作。
·异丙安替比林
编号:BP0401
英文名称:Propyphenazone
规格:200毫克/支
本品为异丙安替比林化学对照品,供含量测定用,使用前不需干燥处理,供HPLC法测定,按C14H18N2O计,含量为100%。
分子式:C14H18N2O
结构式:

分子量:230.31
CAS号:479-92-5
包装:棕色西林瓶
规格:约200毫克/支
储存条件:遮光,密闭,10~30℃保存
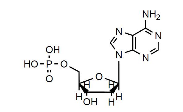
·脱氧核糖腺嘌呤核苷酸*(A)
编号:BP1852
英文名称: deoxyribose adenylic acid sodiu*(代"m")(dAMP-Na)
规格:20mg/瓶
本品为脱氧核糖腺嘌呤核苷酸*化学对照品,含量以脱氧核糖腺嘌呤核苷酸计为94.7%。供脱氧核苷酸鉴别及含量测定用。
分子式:C10H14N5O6P
分子量:331.22
结构式:

包装:棕色瓶
装量:约20mg/支
储存条件:-20℃低温保存
注意事项:使用前不需干燥。
北京甲磺酸加贝酯对照品大量库存促销关键词:Gabexate Mesylate (Mesilate),甲磺酸加贝酯,BP0723
我公司以高效的产品质量,完善的销*(代"售")体系、快速、安全的产品渠道,优质的客户服务,以诚信的态度,真诚的对待客户、合作伙伴以及各位同仁,欢迎来电咨询甲磺酸加贝酯!
·枸橼酸喷托维林
编号:BP0340
英文名称:Pentoxyverine Citrate
规格:100mg
本品为枸橼酸喷托维林化学对照品,供含量测定用,使用前不需干燥处理,按C20H31NO3·C6H8O7计,含量为98.7%。
分子式:C20H31NO3·C6H8O7
结构式:

分子量:525.6
CAS号:23142-01-0
包装及装量:棕色西林瓶,约100mg/支。
储存条件:遮光,密封保存。
·硫*(代"酸")*小檗碱
编号:BP0357
英文名称:Berberine Bisulfate
规格:100mg
本品为枸橼酸喷托维林化学对照品,供含量测定用,使用前不需干燥处理,按C20H31NO3·C6H8O7计,含量为98.7%。
分子式:C20H31NO3·C6H8O7
结构式:

分子量:525.6
CAS号:23142-01-0
包装及装量:棕色西林瓶,约100mg/支。
储存条件:遮光,密封保存。
·对羟基*乙酮
编号:BP1441
英文名称:4’-Hydroxyacetophenone
规格:20mg/支
本品为对羟基*乙酮化学对照品,供含量测定用,含量以99.9%计,使用前不需干燥处理。
CAS号:99-93-4
分子式:C8H8O2
分子量:136.05
结构式:

包装:棕色安瓿瓶。
装量:约20mg/支。
储存条件:冷处(2-10℃)保存。
·盐*(代"酸")伪麻黄*(代"碱")
编号:BP1959
英文名称:Pseudoephedrine Hydrochloride
规格:100mg
本品为对羟基*乙酮化学对照品,供含量测定用,含量以99.9%计,使用前不需干燥处理。
CAS号:99-93-4
分子式:C8H8O2
分子量:136.05
结构式:

包装:棕色安瓿瓶。
装量:约20mg/支。
储存条件:冷处(2-10℃)保存。
·甲巯咪唑
编号:BP0028
英文名称:Thiamazole
规格:100mg
本品为对羟基*乙酮化学对照品,供含量测定用,含量以99.9%计,使用前不需干燥处理。
CAS号:99-93-4
分子式:C8H8O2
分子量:136.05
结构式:

包装:棕色安瓿瓶。
装量:约20mg/支。
储存条件:冷处(2-10℃)保存。
·吴茱萸次碱
编号:BP1090
英文名称:Rutaecarpine
规格:约20mg/支
本品为对羟基*乙酮化学对照品,供含量测定用,含量以99.9%计,使用前不需干燥处理。
CAS号:99-93-4
分子式:C8H8O2
分子量:136.05
结构式:

包装:棕色安瓿瓶。
装量:约20mg/支。
储存条件:冷处(2-10℃)保存。
·二磷酸腺苷二*
编号:BP1905
英文名称:Adenosine disodiu*(代"m") diphosphate
规格:20mg/瓶
本品为二磷酸腺苷二*化学对照品,含量以C10H13N5Na2O10P2计为85.3%,供磷酸肌酸*杂质检查使用。
CAS号:16178-48-6
分子式:C10H13N5Na2O10P2
分子量:471.16
包装:棕色西林瓶
规格:约20mg/瓶
储存条件:-20℃,避光
北京甲磺酸加贝酯对照品大量库存促销关键词:Gabexate Mesylate (Mesilate),甲磺酸加贝酯,BP0723
我公司立足北京,辐射全国。随着产品战略的不断延伸,产品理念的不断完善,百奥莱博将逐步成长为一流的生化试剂供应商,并一如既往的为您提供优质的甲磺酸加贝酯和完善的售后服务,与您一起携手整合各自的优势资源,竭尽全力支持您的事业,为中国生命科学的发展贡献一份力量。
细胞松弛素B储存液(1mg/ml) Cytochalasin B 1mg/ml 1ml
ARB13060 小鼠肾素(RenIn)elisa检测说明书 Mouse renin ELISA KIT
ARB10882 人抗浦肯野细胞抗体/抗Yo抗体(PCA-1/Yo)ELISA代测服务 Human purkinje cell autoantibody,pca-1/yo ELISA KIT
ARB12716 大鼠磷酸肌醇3激酶(PI3K)elisa检测操作说明书 Rat phosphotylinosital 3 kinase,pi3k ELISA KIT
ARB11501 人脂肪型脂肪酸结合蛋白(FABP4)Elisa定量检测 Human fabp4 ELISA KIT
ARB14208 猪小反刍兽疫抗体(PPR)代做ELISA实验
A5512-32 鸡血清 100ml|500ml
尼罗红 Pectin 7385-67-3
牛磺酸 3-Mercaptopropionic acid 107-35-7
BS固定液 500ml
ARB12130 大鼠甲状旁腺激素(PTH)elisa测定使用说明书 Rat paRathyroid hormone,pth ELISA KIT
9041-36-5 葡聚糖凝胶G-200 Sephadex G-200 medium
α-岩藻糖苷酶(AFU)检测试剂盒(PNP-F终点比色法) 100T
BTN120688 Actidione Solution
甲磺酸加贝酯的不同等级:
除了优级纯、分析纯、化学纯、实验试剂外,目前市场上尚有:基准试剂(PT):专门作为基准物用,可直接配制标准溶液。光谱纯试剂(SP):表示光谱纯净。但由于有机物在光谱上显示不出,所以有时主成分达不到99.9%以上,使用时必须注意,特别是作基准物时,必须进行标定。纯度远高于优级纯的试剂叫做高纯试剂(≥ 99.99%)。
一般化学试剂的品级:一级试剂、二级试剂、三级试剂、四级试剂
国内标准名称:优级纯(保证试剂)、分析纯、化学纯 、实验试剂
国内标签颜色:绿色、红色、蓝色、中黄色
我公司强烈推荐标准品对照品系列产品,热情期待您的咨询选购北京甲磺酸加贝酯对照品大量库存促销。
风险提示:丁香通仅作为第三方平台,为商家信息发布提供平台空间。用户咨询产品时请注意保护个人信息及财产安全,合理判断,谨慎选购商品,商家和用户对交易行为负责。对于医疗器械类产品,请先查证核实企业经营资质和医疗器械产品注册证情况。
技术资料暂无技术资料 索取技术资料









