万千商家帮你免费找货
0 人在求购买到急需产品
- 详细信息
- 文献和实验
- 技术资料
- 库存:
526
- 英文名:
Oxcarbazepine
- CAS号:
28721-07-5
- 保质期:
长期
- 供应商:
北京百奥莱博科技有限公司
特别声明:本产品及我公司所售其他产品均为科研类试剂产品,严禁用于药物、医疗及其他非科研用途。
百奥莱博公司致力于为全国科研单位提供药典标准品、对照品、标准溶液、标准样品、对照培养基、国家标准品等可靠标准物质,其中奥卡西平对照品哪里卖的品质过硬,在广大科研人员中有口皆碑!
名称:奥卡西平对照品哪里卖
英文名:Oxcarbazepine
编号:BP0506
规格:100mg/支
本品为奥卡西平化学对照品,供HPLC含量测定用,按C15H12N2O2计,含量为99.8%。
CAS号:28721-07-5
分子式:C15H12N2O2
分子量:252.27
包装及装量:棕色小瓶装,每支约100毫克。
储存条件:遮光,密封保存。
注意事项:105℃干燥2小时后使用。
欲咨询购买奥卡西平对照品哪里卖,请致电北京百奥莱博科技有限公司,为您提供最全面周到的产品服务,除此之外,我公司正在促销以下产品:
·右旋布洛芬
编号:BP0878
英文名称:Dexibuprofen
规格:100mg
本品为右旋布洛芬化学对照品,供含量测定用。供HPLC法测定,按C13H18O2计,含量为99.9%。
CAS号:51146-56-6
分子式:C13H18O2
分子量:206.28
包装及装量:棕色小瓶装,每支约100毫克。
储存条件:干燥,密封保存。
注意事项:使用前不需干燥处理。
·补骨脂二*黄酮
编号:BP2198
英文名称:Bavachin
规格:30mg/支
本品为补骨脂二*黄酮化学对照品,供补骨脂二*黄酮HPLC法含量测定用,以C20H20O4计,含量为99.4%,使用前不需干燥处理。
CAS号:19879-32-4
分子式:C20H20O4
分子量:324
结构式:

包装及装量:棕色安瓿瓶装,每支约30毫克。本品略有引湿性,打开包装后一次使用完毕。
储存条件:遮光
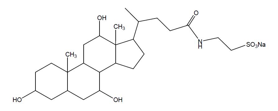
·牛磺胆酸*
编号:BP1102
英文名称:Sodium Taurocholate
规格:20mg
本品为牛磺胆酸*化学对照品,供鉴别或含量测定用,使用前不需干燥处理,含量以87.9%计。
CAS号:145-42-6
分子式:C26H44NNaO7S
分子量:537.68
结构式:

包装:棕色安瓿瓶
装量:约20mg/支
储存条件:常温干燥保存
注意事项:本品具引湿性,建议打开包装一次性使用完。
奥卡西平对照品哪里卖关键词:Oxcarbazepine,28721-07-5,奥卡西平
奥卡西平由我公司长期专业供应,公司为广大顾客提供 奥卡西平产品说明,生产厂家,价格,规格,哪里买 。公司遵循高品质的产品,高质量的技术服务,合理的价格,是国内研发与生产,销*(代"售")合为一体的一家大型企业,我们承诺:以最少的经费,最高的效率,得到您最需要的实验结果,同时我们承诺,若有质量问题,无条件退换。
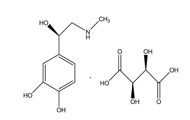
·重酒石酸肾上腺素
编号:BP0808
英文名称:Epinephrine Bitartrate
规格:50mg
本品为重酒石酸肾上腺素化学对照品,供HPLC法系统适用性试验用,使用前不需干燥处理。
CAS号:51-42-3
分子式:C9H13NO3·C4H6O6
分子量:333.29
结构式:

包装及装量:棕色西林瓶,充氩气,约50mg/支
储存条件:遮光,密闭,冷处保存。
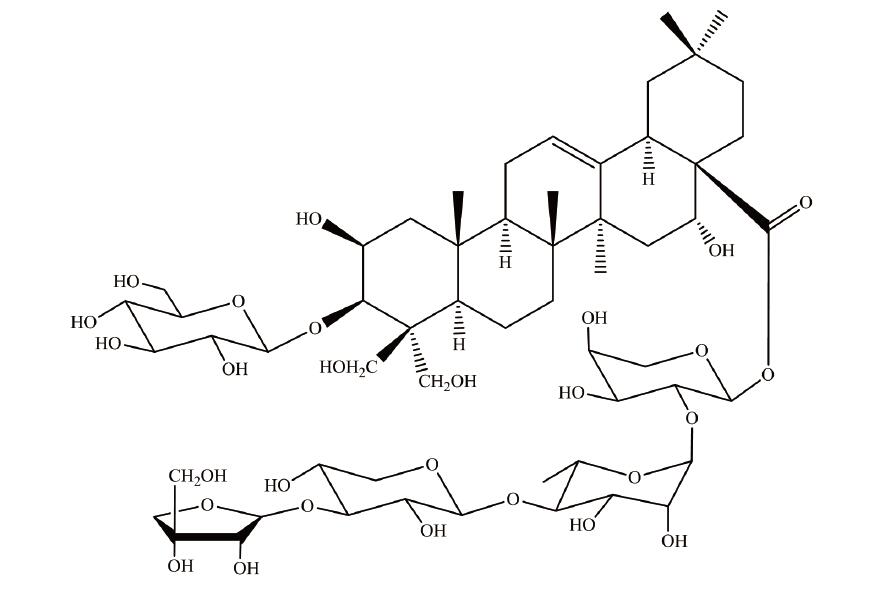
·桔梗皂苷D
编号:BP1409
英文名称:Platycodin D
规格:20mg/支
本品为桔梗皂苷D化学对照品,供含量测定用,含量以94.0%计,使用前不需干燥处理。
分子式:C57H92O28
分子量:1225.32
结构式:

包装:棕色安瓿瓶。
规格:约20mg/支。
储存条件:冷冻(-20℃)保存。
注意事项:本品具有引湿性,建议打开包装一次性使用完。
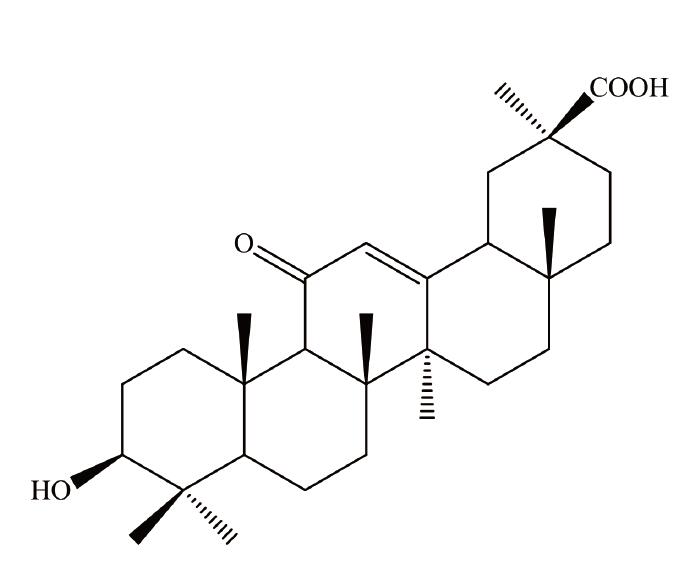
·甘草次酸
编号:BP1028
英文名称:Glycyrrhetinic acid
规格:20mg/支
本品为甘草次酸化学对照品,供鉴别及含量测定用,使用前不需干燥处理。含量以99.3%计。
CAS号:471-53-4
分子式:C30H46O4
分子量:470.64
结构式:

包装:棕色安瓿瓶
装量:约20mg/支
储存条件:冷处保存(2-10℃)
奥卡西平对照品哪里卖关键词:Oxcarbazepine,28721-07-5,奥卡西平
奥卡西平怎样保存?
一般试剂可保存在玻璃瓶内; 对玻璃有强烈腐蚀作用的试剂,如**酸、*氧化*应保存在聚乙*(代"烯")塑料瓶内; 易被空气氧化、分化、潮解的试剂应密封保存;易感光分解的试剂应用有色玻璃瓶贮存并藏于暗处; 易受热分解及低沸点溶剂,应存于冷处; 剧毒试剂应存于保险箱; 有放射性的试剂应存于铅罐中。如果化学试剂保管不当,就会失效变质,影响实验的效果,并造成物质的浪费,甚至有时还会发生事故。因此,科学地保管好试剂对于保证实验顺利进行,获得 可靠的实验数据具有非常重要的意义。
*化* PVPP 85017-82-9
CYB168008 标准小牛血清 100ml/瓶
ARB11625 人粒-巨噬细胞集落刺激因子(GM—CSF)ELISA检测服务 Human granulocyte-macrophage colony stimulating factor,gm-csf ELISA KIT
BL1384 SABC小鼠IgG-AP kit
SJ0090 Ciprofloxacin hydrochloride 环丙沙星盐*(代"酸")盐
BTN90904 膜结合DNA清除试剂盒 Membrane-Bound DNA Erasol
膜蛋白和胞浆蛋白提取试剂盒 Membrane protein and Cytoplasmic Protein Extraction Kit 50T|100T
ARB11408 人神经激肽B(NKB)酶联免疫定量检测 Human neurokinins b,nkb ELISA KIT
ARB14058 蓖麻凝集素(RCA)免费代测 Ricinus communis agglutinin,rca ELISA KIT
酚酞二磷酸四*盐 Neutral balsam 68807-90-9
非变性电泳高分子量蛋白Marker(66-669 kD) 20次
58-63-9 Inosine 肌苷/次黄嘌呤核苷
奥卡西平等级划分:
我国的试剂规格基本上按纯度(杂质含量的多少)划分,共有高纯、光谱纯、基准、分光纯、优级纯、分析和化学纯等7种。国家和主管部门颁布质量指标的主要优级纯、分级纯和化学纯3种。
(1)优级纯(GR),又称一级品或保证试剂,99.8%,这种试剂纯度最高,杂质含量最低,适合于重要精密的分析工作和科学研究工作,使用绿色瓶签。
(2)分析纯(AR),又称二级试剂,纯度很高,99.7%,略次于优级纯,适合于重要分析及一般研究工作,使用红色瓶签。
(3)化学纯(CP),又称三级试剂,≥ 99.5%,纯度与分析纯相差较大,适用于工矿、学校一般分析工作。使用蓝色(深蓝色)标签。
(4)实验试剂(LR),又称四级试剂。
我公司强烈推荐标准品对照品系列产品,热情期待您的咨询选购奥卡西平对照品哪里卖。
风险提示:丁香通仅作为第三方平台,为商家信息发布提供平台空间。用户咨询产品时请注意保护个人信息及财产安全,合理判断,谨慎选购商品,商家和用户对交易行为负责。对于医疗器械类产品,请先查证核实企业经营资质和医疗器械产品注册证情况。
文献和实验在HPLC检测中,供试品浓度的选取应该遵循什么的原则?浓度多少合适?以定量限做浓度检测的依据吗?10倍的信噪比?遵循最大还是最小浓度原则? 2.做回收率的时候,是取了9分不同含量的样品。我看到有的回收率是取3分不同含量的样品,分别加入其80%,100%,120%.也有的取6分不同含量的样品,加入其80%,100%,120%的对照品。请问:回收率有统一的取样标准吗? 3.关于含量低于万分之一时需要配合别的指标这条原则的理论依据是什么?或者说
的比例约为50%,如果能做出来,也存在一个问题,就是抗体大多只能用一次。我曾经把Santa的原装抗体和分装抗体做过比对(抗体品种,货号等完全一致),在都能做出来的前提下,原装抗体能重复使用的次数要多出许多。具体原因我已经揣测了好几年,不敢说出来,我一直在想是不是冬天西瓜切成牙和整个卖,也会有所不同。揣测归揣测,假如只为了发论文毕业走人,可以考虑选用进口分装的多克隆抗体。 国产抗体比较知名的就几家,但质量确实不敢恭维。western blot能做出来的确实不多,而且杂带多,背景不干净。我们周边
,唯一的不足是CST的品种实在不多。Santa的多克隆抗体质量可以,但是选用Santa的单抗还是有风险,估计这也是业界共识了吧。 进口抗体国内分装包装我也用过不少,呵呵,毕竟是穷人(420元/100微升),大概好抗体的比例约为50%,如果能做出来,也存在一个问题,就是抗体大多只能用一次。我曾经把Santa的原装抗体和分装抗体做过比对(抗体品种,货号等完全一致),在都能做出来的前提下,原装抗体能重复使用的次数要多出许多。具体原因我已经揣测了好几年,不敢说出来,我一直在想是不是冬天西瓜切成牙和整个卖
技术资料暂无技术资料 索取技术资料










