相关产品推荐更多 >
万千商家帮你免费找货
0 人在求购买到急需产品
- 详细信息
- 技术资料
- 库存:
711
- 英文名:
Cefadroxil
- 保质期:
长期
- 供应商:
北京百奥莱博科技有限公司
- 保存条件:
置 5℃
特别声明:本产品及我公司所售其他产品均为科研类试剂产品,严禁用于药物、医疗及其他非科研用途。
北京现货头孢羟*苄标准品优惠价由老牌试剂供应北京百奥莱博供货并提供技术支持,本产品用于科研实验,本产品质量好,且极具价格优势,深为用户称道,了解更多头孢羟*苄等标准品对照品产品请联*(代"系")我司咨询订购。
名称:北京现货头孢羟*苄标准品优惠价
英文名:Cefadroxil
规格:100mg
编号:BP1613
品牌:百奥莱博
产地:国产|进口
本品为头孢羟*苄化学对照品,供高效液相含量测定用,含量以头孢羟*苄(C16H17N3O5S)计。
使用方法:精密称取本品适量,加流动相溶解,并稀释至所需浓度,立即使用。
储存条件:置 5℃以下低温避光保存。开启安瓿后严密保持干燥,以防吸水。
注意事项:使用前不需干燥处理。
北京现货头孢羟*苄标准品优惠价极具性价比,此外,我公司正火爆促销以下产品:
ARB10956 人肝脂酶(HL)elisa检测操作说明书 Human hepatic lipase,hl ELISA KIT
F030431 胶体金标记兔抗绵羊IgG抗体 Rabbit Anti-Sheep IgG*GOLD
MES溶液(0.1mol/L) 100ml
ARB12415 大鼠细胞色素P4502E1(CYP2E1)elisa检测说明书 Rat cytochrome p450 2e1,cyp2e1 ELISA KIT
Western封闭液III(磷酸化抗体专用) 100ml
蛋白浓缩柱 个
ARB10797 人抗心磷脂抗体IgG(ACA-IgG)含量测试 Human anti-cardiolipin antibody igg,aca-igG ELISA KIT
ARB11362 人类粘蛋白2(ORM2)免费代测 Human orosomucoid 2,orm2 ELISA KIT
001008 兔血清
ARB12198 大鼠半胱*酸蛋白酶抑制剂/胱抑素C(Cys-C)酶免分析 Rat cystatin c,cys-c ELISA KIT
ARB10202 人β2糖蛋白(β2-GP)酶联免疫定量检测 Human beta2 glycoprotein,β2-gp ELISA KIT
噻*隆 Glutaraldehyde 51707-55-2
RN1001 EASYspin 酵母RNA快速提取试剂盒
97-67-6 L-Malic acid L-苹果酸
维生素C检测试剂盒(磷钼酸比色法) 50T
PUC19质粒 Vanillin
ARB10634 人血清淀粉样蛋白P(SAP)含量测试 Human serum amyloid p,sap ELISA KIT
北京现货头孢羟*苄标准品优惠价关键词:Cefadroxil,头孢羟*苄,BP1613
·人重组胰岛素样生长因子-I
编号:BP2119
英文名称:Insulin-like Growth Factor-I, recombinant, human
规格:0.5ml/支
本品为人重组胰岛素样生长因子-I免疫测定用标准品,以人重组胰岛素样生长因子-I(IGF-I)为原料制备,供 IGF-I免疫分析使用。适用于化学发光、酶联免疫法及时间分辨免疫荧光等方法。
性状:白色冻干粉末
包装:白色安瓿
规格:每支安瓿内含 IGF-I 7.4μg,含甘露醇 0.1g、海藻糖0.05g;叔丁醇 0.01ml、牛血清白蛋白 5mg、EDTA-2K 1mg,磷酸盐微量。
特性量值:每支安瓿内含 IGF-I 7.4μg。
储存条件:长期保存应置于-20℃以下
·盐*(代"酸")兰地洛尔异构体Ⅲ
编号:BP0916
英文名称:Landiolol Hydrochloride Enantiomer Ⅲ(Benzenepropanoic acid, 4-[(2S)-2-hydroxy-3-[[2-[(4-morpholinylcarbonyl)amino]ethyl]amino]propoxy]-, [(4R)-2,2-dimethyl-1,3-dioxolan-4-yl]methyl ester, hydrochloride)"
规格:20mg/支"
本品为人重组胰岛素样生长因子-I免疫测定用标准品,以人重组胰岛素样生长因子-I(IGF-I)为原料制备,供 IGF-I免疫分析使用。适用于化学发光、酶联免疫法及时间分辨免疫荧光等方法。
性状:白色冻干粉末
包装:白色安瓿
规格:每支安瓿内含 IGF-I 7.4μg,含甘露醇 0.1g、海藻糖0.05g;叔丁醇 0.01ml、牛血清白蛋白 5mg、EDTA-2K 1mg,磷酸盐微量。
特性量值:每支安瓿内含 IGF-I 7.4μg。
储存条件:长期保存应置于-20℃以下
·羟*磺酸*
编号:BP0439
英文名称:Calcium Dobesilate
规格:100mg
本品为羟*磺酸*化学对照品,使用前不需干燥处理。供HPLC法含量测定用,按C12H10CaO10S2计,含量为94.8%。
分子式:C12H10CaO10S2·H2O
分子量:436.42
结构式:
包装:棕色安瓿。
装量:约100毫克/支。
储存条件:密封,在凉暗、干燥处保存。
注意事项:本品有引湿性,建议打开包装一次性使用完毕
·替加*
编号:BP0368
英文名称:Tegafur
规格:50mg
本品为替加*化学对照品,供含量测定用。
分子式:C8H9FN2O3
分子量:200.17
CAS号:17902-23-7
包装及装量:棕色小瓶装,每支约50毫克。
储存条件:遮光,密闭保存。
注意事项:105℃干燥2小时后使用,避光操作。
北京现货头孢羟*苄标准品优惠价关键词:Cefadroxil,头孢羟*苄,BP1613
我公司立足北京,辐射全国。随着产品战略的不断延伸,产品理念的不断完善,百奥莱博将逐步成长为一流的生化试剂供应商,并一如既往的为您提供优质的头孢羟*苄和完善的售后服务,与您一起携手整合各自的优势资源,竭尽全力支持您的事业,为中国生命科学的发展贡献一份力量。
·1,8—二羟基蒽醌
编号:BP1114
英文名称:1,8-Dihydroxyanthraquinone
规格:50mg
本品为1,8-二羟基蒽醌化学对照品,供含量测定用。
分子式:C14H8O4
分子量:240.21
结构式:

包装:棕色瓶装
装量:约50mg/支
储存条件:干燥密闭保存。
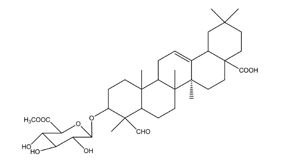
·丝石竹皂苷元-3-O-β-D-葡萄糖醛酸甲酯
编号:BP1489
英文名称:gypsogenin-3-O-β-D-glucuronide methyl ester
规格:20mg
本品为丝石竹皂苷元-3-O-β-D-葡萄糖醛酸甲酯化学对照品,供鉴别和含量测定用,含量以97.5%计。
CAS号:96553-02-5
分子式:C37H56O10
分子量:660
结构式:

包装及装量:棕色安瓿瓶,约20mg/支。
储存条件:干燥避光。
注意事项:本品具有引湿性,打开后一次性使用完毕。使用前无需处理。
·野漆树苷
编号:BP1459
英文名称:Rhoifolin
规格:20mg/支
本品为野漆树苷化学对照品,供鉴别及含量测定用,含量以92.3%计,使用前不需干燥处理。
CAS号:17306-46-6
分子式:C27H30O14
分子量:578.52
结构式:

包装:棕色安瓿瓶
规格:约20mg/支
储存条件:冷处(2~10℃C)保存
注意事项:本品有引湿性,建议打开包装一次性使用完。
·1-羟基-3,4,5-三甲氧山酮
编号:BP1334
英文名称:1-Hydroxy-3,4,5-trimethoxyxanthone
规格:10mg
本品为野漆树苷化学对照品,供鉴别及含量测定用,含量以92.3%计,使用前不需干燥处理。
CAS号:17306-46-6
分子式:C27H30O14
分子量:578.52
结构式:

包装:棕色安瓿瓶
规格:约20mg/支
储存条件:冷处(2~10℃C)保存
注意事项:本品有引湿性,建议打开包装一次性使用完。
·戊酸雌二醇
编号:BP0055
英文名称:1-Hydroxy-3,4,5-trimethoxyxanthone
规格:100mg
本品为野漆树苷化学对照品,供鉴别及含量测定用,含量以92.3%计,使用前不需干燥处理。
CAS号:17306-46-6
分子式:C27H30O14
分子量:578.52
结构式:

包装:棕色安瓿瓶
规格:约20mg/支
储存条件:冷处(2~10℃C)保存
注意事项:本品有引湿性,建议打开包装一次性使用完。
·丁香酚
编号:BP1030
英文名称:Eugenol
规格:0.5ml/支
本品为丁香酚化学对照品,供鉴别及含量测定用,使用前不需干燥处理。含量以99.3%计。
CAS号:97-53-0
分子式:C10H12O2
分子量:164.21
结构式:

包装:棕色安瓿瓶
规格:约0.5mL
储存条件:冷冻保存
注意事项:本品不稳定,建议打开包装后一次性使用完毕。
我公司位于北京市海淀区,是一家专业从事生化试剂、分子生物学试剂、实验耗材研发、销*(代"售")、服务为一体的生物科技公司,公司主要经营的进口品牌包括Sigma,Invitrogen,Roche,Abcam,BD, R&D,GE,Amresco,Merck等;产品涉及化工原料、生化试剂、分子克隆相关试剂、细胞培养及检测常用试剂、实验室常用耗材等。百奥莱博秉承博采众长、诚信为本、德行天下的宗旨服务于客户。公司合作单位及客户包括各大医院、科研机构、大专院校、制药单位、医学检验单位、卫生防疫、生物技术公司、食品单位等诸多领域,正逐步成长为一流的生化试剂和耗材供应商。 我们将一如既往的为您提供优质的产品和完善的售后服务。
头孢羟*苄等级划分:
我国的试剂规格基本上按纯度(杂质含量的多少)划分,共有高纯、光谱纯、基准、分光纯、优级纯、分析和化学纯等7种。国家和主管部门颁布质量指标的主要优级纯、分级纯和化学纯3种。
(1)优级纯(GR),又称一级品或保证试剂,99.8%,这种试剂纯度最高,杂质含量最低,适合于重要精密的分析工作和科学研究工作,使用绿色瓶签。
(2)分析纯(AR),又称二级试剂,纯度很高,99.7%,略次于优级纯,适合于重要分析及一般研究工作,使用红色瓶签。
(3)化学纯(CP),又称三级试剂,≥ 99.5%,纯度与分析纯相差较大,适用于工矿、学校一般分析工作。使用蓝色(深蓝色)标签。
(4)实验试剂(LR),又称四级试剂。
我公司强烈推荐标准品对照品系列产品,热情期待您的咨询选购北京现货头孢羟*苄标准品优惠价。
风险提示:丁香通仅作为第三方平台,为商家信息发布提供平台空间。用户咨询产品时请注意保护个人信息及财产安全,合理判断,谨慎选购商品,商家和用户对交易行为负责。对于医疗器械类产品,请先查证核实企业经营资质和医疗器械产品注册证情况。
技术资料暂无技术资料 索取技术资料










