相关产品推荐更多 >
万千商家帮你免费找货
0 人在求购买到急需产品
- 详细信息
- 文献和实验
- 技术资料
- 库存:
298
- 英文名:
Rhodojaponin II
- CAS号:
26116-89-2
- 保质期:
长期
- 供应商:
北京百奥莱博科技有限公司
- 保存条件:
冷处(2~10℃
特别声明:本产品及我公司所售其他产品均为科研类试剂产品,严禁用于药物、医疗及其他非科研用途。
闹羊花毒素II对照品厂家的品牌:百奥莱博,是优质的标准品对照品产品,用于科研目的生化试验项目,本产品质量好,且极具价格优势,深为用户称道,了解更多闹羊花毒素II等标准品对照品产品请联*(代"系")我司咨询订购。
名称:闹羊花毒素II对照品厂家
规格:约20mg/支
产地:国产|进口
品牌:百奥莱博
英文名:Rhodojaponin II
编号:BP1515
本品为闹羊花毒素II含量测定用对照品,含量以99.8%计,使用前不需干燥处理。
CAS号:26116-89-2
分子式:C22H34O7
分子量:410.50
结构式:

包装:棕色安瓿瓶
装量:约20mg/支
储存条件:冷处(2~10℃)保存
想要了解更多关于闹羊花毒素II对照品厂家的价格、品牌、厂家、说明书、促销信息,请和我们联*(代"系")。此外我公司还销*(代"售")下面的产品:
·对羟基*甲*(代"酸")丁酯(羟*丁酯)
编号:BP1084
英文名称:Butyl—phydroxybenzoate
规格:100mg
本品为对羟基*甲*(代"酸")丁酯化学对照品,供含量测定(作内标物)用。置五氧化二磷减压干燥器中干燥12小时以上使用。
分子式:C11H14O3
分子量:194.22
结构式:

包装及装量:棕色瓶,约100mg
储存条件:干燥密闭保存。
·1,8—二羟基蒽醌
编号:BP1114
英文名称:1,8-Dihydroxyanthraquinone
规格:50mg
本品为1,8-二羟基蒽醌化学对照品,供含量测定用。
分子式:C14H8O4
分子量:240.21
结构式:

包装:棕色瓶装
装量:约50mg/支
储存条件:干燥密闭保存。
·交沙霉素
编号:BP1580
英文名称:Josamycin
规格:100mg/支
本品为交沙霉素标准品,供交沙霉素品种效价及组分测定用,使用前不需要干燥处理。本标准品使用时,精密称取适量,用灭菌水使溶解,并制成每1ml中约含1000单位的溶液。
分子式:C42H69NO15
分子量:827.99
结构式:

包装及装量:安瓿;100mg/支
储存条件:4℃避光保存
·左旋奥硝唑
编号:BP0665
英文名称:S-(-)Ornidazole
规格:100mg
本品为交沙霉素标准品,供交沙霉素品种效价及组分测定用,使用前不需要干燥处理。本标准品使用时,精密称取适量,用灭菌水使溶解,并制成每1ml中约含1000单位的溶液。
分子式:C42H69NO15
分子量:827.99
结构式:

包装及装量:安瓿;100mg/支
储存条件:4℃避光保存
·麦白霉素
编号:BP1567
英文名称:Meleumycin
规格:400mg
本品为麦白霉素标准品,供麦白霉素及制剂微生物效价及组分测定用,使用前不需干燥处理。
CAS号:149370-53-6
包装:白色安瓿
规格:约200毫克/支
标准图谱:

色谱柱:菲罗门luna,4.6×250mm,5-μm
储存条件:2-8℃保存
闹羊花毒素II对照品厂家关键词:Rhodojaponin II,26116-89-2,闹羊花毒素II
我公司所售科研每月均有新品促销,您可对我公司网站时刻进行关注,在促销期间购买您所需产品,价格更优惠。闹羊花毒素II质量保证,品质已经得到广大客户的认可,您可放心,且我公司有专门的售后部门对客户进行全线跟踪,全程免费技术指导。欢迎询价详谈!
·抗HBS免疫球蛋白国家标准品
编号:BP2115
英文名称:Anti-HBs, immunoglobulins ,
规格:2.5IU/支
·盐*(代"酸")米多君
编号:BP0974
英文名称:Midodrine Hydrochloride
规格:100毫克/支
本品为盐*(代"酸")米多君化学对照品,供含量测定用。105℃干燥2小时后使用。供HPLC法测定,按C12H18N2O4·HCl计,含量为99.9%。
CAS号:3092-17-9
分子式:C12H18N2O4·HCl
分子量:290.74
包装:棕色西林瓶
规格:约100毫克/支
储存条件:遮光,密闭,10~30℃保存。
·伊曲康唑杂质E
编号:BP1760
英文名称:Itraconazole impurity E
规格:30mg/支
本品为伊曲康唑杂质E化学对照品,供伊曲康唑原料及其制剂HPLC法有关物质检查用,以伊曲康唑杂质E(C35H38Cl2N8O4)计,含量为97.1%。使用前不需干燥处理。
CAS号:252964-65-1
分子式:C35H38Cl2N8O4
分子量:704.2
结构式:

包装:棕色安瓿
规格:30mg/支
储存条件:常温遮光保存
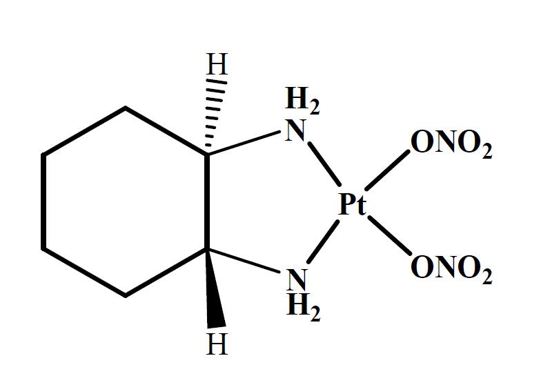
·环己二胺二硝酸合铂(奥沙利铂杂质Ⅰ)
编号:BP0795
英文名称:[SP-4-2-[(1R-trans)]-(1,2-Cyclohexanediamine-N,N’) dinitratoplatinum
规格:20mg/支
本品为环己二胺二硝酸合铂化学对照品,供奥沙利铂杂质Ⅰ检查用,使用前不需干燥处理。
CAS号:66900-68-3
分子式:C6H14N4O6Pt
分子量:433.28
结构式:

包装及装量:棕色西林瓶装,每支约20mg。
储存条件:遮光,密封保存。
闹羊花毒素II对照品厂家关键词:Rhodojaponin II,26116-89-2,闹羊花毒素II
闹羊花毒素II等试剂产品仅用于科研实验使用,拥有一流的技术指导及完善的售后服务体系,来保证我们产品的使用效果,欢迎广大科研学者来电咨询、选购。
ARB12340 大鼠补体5A(C5A)免费代测 Rat complement fragment 5a,c5a ELISA KIT
Tris-乙酸电泳缓冲液(50×TAE) 500ml|5L
三聚*酸 4-(Trifluoromethyl)benzaldehyde 108-80-5
ARB10866 人抗核仁抗体(ANA)酶免分析 Human anti-nucleolus antibody,ana ELISA KIT
PY01-104 叶绿素铜*盐 10克
阿洛西林* dUTP,4Na 37091-65-9
52-89-1 L-Cysteine hydrochloride L-盐*(代"酸")半胱*酸
BL1059 大豆蛋白胨
两性电解质 EDDAB 37348-94-0
J0201 兔抗牛血清白蛋白抗血清
蛋白浓缩试剂盒 50T
DP119 N96磁珠法质粒DNA小提试剂盒
F020231 兔抗绵羊/山羊IgG抗体 Rabbit Anti-Goat IgG
13114-27-7 Zeatin 玉米素
IPTG(20%,0.8mol/L) 5ml
BTN101101 线状DNA清除剂 Linear DNA Erasol
F030613 FITC标记兔抗小鼠IgG抗体 Rabbit Anti-Mouse IgG*FITC
生物化工学科起始于第二次世界大战时期,以抗生素的深层发酵和大规模生产技术的研究为标志。20世纪60年代末至80年代中期,转基因技术、生物催化与转比技术、动植物细胞培养技术、新型生物反应器和新型生物分离技术等开发和研究的成功,使本学科进入了新的发展时期,学科体系逐步完善。20世纪后期,随着以基因工程为代表的高新技术的迅速崛起,为本学科的进一步发展开辟了新领域,无数前人的工作和我公司的不懈奋斗。造就了高品质的闹羊花毒素II。
我公司生产供应销*(代"售")的标准品对照品产品正全系列现货促销,满分期待您的垂询选购闹羊花毒素II对照品厂家。
风险提示:丁香通仅作为第三方平台,为商家信息发布提供平台空间。用户咨询产品时请注意保护个人信息及财产安全,合理判断,谨慎选购商品,商家和用户对交易行为负责。对于医疗器械类产品,请先查证核实企业经营资质和医疗器械产品注册证情况。
文献和实验ul TE。不要戳破膜。室温放置2分钟。 13000 r m p离心1分钟,1.5m离心管中即为抽提的去内毒素质粒DNA。 注意事项: 1.提高洗脱液的温度(65℃左右)或将结合柱于室温或37℃水浴静置1分钟以上,可提高DNA的得率。 2.不要在结合柱上做标记,以免乙醇将字迹褪掉。 3.所有试剂用后盖紧盖子. 4. solution II天冷时会沉淀,若发现溶液变得混浊,37℃溶化后再用。 5.本试剂盒通常情况下采用
7. 其他:粪便隐血(FOB)、C反应蛋白 、尿微量白蛋白、反恐系列(炭疽杆菌、A型肉毒毒素、鼠疫菌、鼻疽菌、类鼻疽菌等) 国内主要生产商:艾康、新创、荣盛、上海凯创、万华普曼、蓝十字、金豪(金豪产品主要集中在反恐系列) 国外主要生产商(指在国内获得FDA批准文号的厂家):英维利斯(InvernessMedical)、韩国SD 二、快速诊断的市场现状与前景 1. 传染病与优生优育检测: 目前疾病传染病类检测除用于手术前快速诊断外,还占有一部分临床诊断份额。尽管传染病的胶体金诊断
胎牛血清:(进口血清)要求剖腹取胎制成。 国内厂家往往不能做到,经常把出生2天以内采血称为胎牛血清。 根据血清的生产工艺及血红蛋白、内毒素含量又分为: (1).特级胎牛血清:40纳米过滤,内毒素含量≤10 EU,血红蛋白含量≤10 mg/dl。 (2).优等胎牛血清:经过3次100纳米过滤,内毒素含量≤25 EU/ml,血红蛋白含量≤25 mg/ml。 (3).标准胎牛血清:3次100纳米过滤,低内毒素,低血
技术资料暂无技术资料 索取技术资料










