相关产品推荐更多 >
万千商家帮你免费找货
0 人在求购买到急需产品
- 详细信息
- 文献和实验
- 技术资料
- 库存:
264
- 英文名:
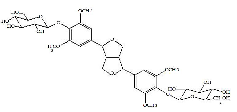
Eleutheroside E
- CAS号:
39432-56-9
- 保质期:
长期
- 供应商:
北京百奥莱博科技有限公司
特别声明:本产品及我公司所售其他产品均为科研类试剂产品,严禁用于药物、医疗及其他非科研用途。
北京刺五加苷E对照品现货价格由专业试剂供应商北京百奥莱博提供,用于生化研究,本产品质量好,且极具价格优势,深为用户称道,了解更多刺五加苷E等标准品对照品产品请联*(代"系")我司咨询订购。
名称:北京刺五加苷E对照品现货价格
编号:BP1312
品牌:百奥莱博
英文名:Eleutheroside E
本品为化学对照品,供刺五加苷E含量测定用,含量以98.1%计,使用前不需干燥处理。
CAS号:39432-56-9
分子式:C34H46O18
分子量:742.72
结构式:

包装:棕色安瓿
装量:约20mg/支
储存条件:冷冻保存
更多有关北京刺五加苷E对照品现货价格的价格及使用说明等,请联*(代"系")我们的业务经理王欣女士咨询,我公司还销*(代"售")以下产品:
·2-(4-异丁酰*基)丙*(代"酸")
编号:BP0554
英文名称:2-(4-isobutyrylphenyl)propionic acid
规格:30mg/支
本品为2-(4-异丁酰*基)丙*(代"酸")化学对照品,供检查用。供HPLC法测定,按C13H16O3计,本品含量为100%。
CAS号:65813-55-0
分子式:C13H16O3
分子量:220.26
包装及装量:棕色小瓶装,每支约 30 毫克。
储存条件:遮光,密封保存。
注意事项:使用前不需干燥处理。
·盐*(代"酸")阿呋唑嗪
编号:BP0561
英文名称:Alfuzosin Hydrochloride
规格:100mg
本品为2-(4-异丁酰*基)丙*(代"酸")化学对照品,供检查用。供HPLC法测定,按C13H16O3计,本品含量为100%。
CAS号:65813-55-0
分子式:C13H16O3
分子量:220.26
包装及装量:棕色小瓶装,每支约 30 毫克。
储存条件:遮光,密封保存。
注意事项:使用前不需干燥处理。
·马来酸
编号:BP1992
英文名称:Alfuzosin Hydrochloride
规格:200mg
本品为马来酸化学对照品,供DL-苹果酸、L-苹果酸品种有关物质检查用。按C4H4O4计,含量为99.7%。
CAS号:110-16-7
分子式:C4H4O4
分子量:116.0
包装及装量:棕色西林瓶装,每支约200mg
储存条件:干燥,密闭
注意事项:使用前不需干燥处理
·罗库*铵
编号:BP0968
英文名称:Rocuronium Bromide
规格:约200毫克/支
本品为罗库*铵化学对照品,使用前不需干燥处理,供HPLC法含量测定用,按C32H53BrN2O4计,含量为96.4%。
CAS号:119302-91-9
分子式:C32H53BrN2O4
分子量:609.70
结构式:

包装:棕色安瓿瓶
规格:约200毫克/支
储存条件:遮光,2-8℃密封保存
注意事项:本品引湿,打开包装后应一次用完。
·紫苏油
编号:BP1201
英文名称:Perilla essential oil
规格:0.5ml
本品为罗库*铵化学对照品,使用前不需干燥处理,供HPLC法含量测定用,按C32H53BrN2O4计,含量为96.4%。
CAS号:119302-91-9
分子式:C32H53BrN2O4
分子量:609.70
结构式:

包装:棕色安瓿瓶
规格:约200毫克/支
储存条件:遮光,2-8℃密封保存
注意事项:本品引湿,打开包装后应一次用完。
北京刺五加苷E对照品现货价格关键词:39432-56-9,刺五加苷E,Eleutheroside E
刺五加苷E现货供应,凡在我公司购买该产品均可享受免费的技术咨询服务,年中降价>>低价格促销:elisa试剂盒,Amrecso原装试剂、抗体、等相关试剂,产品品种齐全,价格优惠。产品质量,服务质量均是一流,您尽可放心购买!
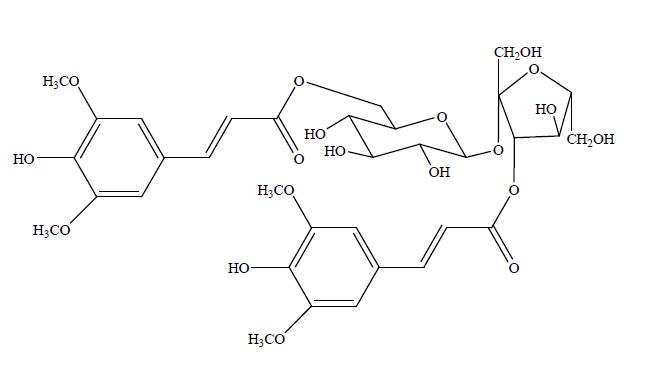
·3,6’-二芥子酰基蔗糖
编号:BP1408
英文名称:3,6´-disinapoyl sucrose
规格:20mg/支
本品为3,6"-二芥子酰基蔗糖化学对照品,供含量测定用,含量以96.7%计,使用前不需干燥处理。
CAS号:105-45-3
分子式:C34H42O19
分子量:754.23
结构式:

包装:棕色安瓿瓶
装量:约20mg/支
储存条件:冷处(2-10℃)保存
·十六醇
编号:BP2030
英文名称:Cetyl Alcohol
规格:200mg/支
本品为十六醇化学对照品,仅供十六醇含量测定用。
CAS号:36653-82-4
分子式:C16H34O
分子量:242.44
包装:棕色西林瓶。
规格:每支约200毫克。
储存条件:遮光,阴凉干燥处保存。
·异烟肼
编号:BP0441
英文名称:Isoniazid
规格:100mg/支
本品为异烟肼化学对照品,供HPLC法含量测定用,以C6H7N3O计,含量为99.8%,使用前不需干燥处理。
CAS号:54-85-3
分子式:C6H7N3O
分子量:137.1
结构式:

包装:棕色西林瓶
规格:100mg/支
储存条件:常温遮光保存。
北京刺五加苷E对照品现货价格关键词:39432-56-9,刺五加苷E,Eleutheroside E
我公司先后与天津中医学院、北京军区总医院、复旦大学、北京大学、上海交通大学、华东师范大学、第二军医大学、南京大学、清华大学、复兴医院、南京工业大学、301医院、中科院上海分院等多家单位建立了良好的合作关系。本公司可为您提供高品质的刺五加苷E等科研试剂。 公司秉承“专注品质、信守承诺、积极沟通、创新服务”的企业文化积极参与生物领域的技术创新和技术服务,力求为我国科研事业更好的,更专业的服务!
TRNzol总RNA提取试剂
ARB13871 猪白介素18(IL-18)含量分析 Porcine interleukin 18,IL-18 ELISA KIT
ARB14146 小鼠转化生长因子β(TGF-β)检测服务
ARB11323 人胆固醇酯转移蛋白(CETP)含量检测 Human glial fibrillary acidic protein,gfap ELISA KIT
F030609 FITC标记山羊抗小鼠IgG3抗体 Goat Anti-Mouse IgG3*FITC
F030219 HRP标记兔抗鸡IgY(IgG)抗体 Rabbit Anti-Chicken IgY*HRP
BL0911 FITC标记Avidin 抗体
PY02-387 嗜盐性试验用胰胨水(TB)基础 250克
25988-63-0 Poly-L-Lysine 多聚-L-赖*酸(15-30万)
DNA Marker Ⅰ Uric acid
偶氮脒类引发剂V60 Poly U 78-67-*(代"1")
乙酸*溶液(3mol/L,pH5.5) 500ml
ARB10323 人内皮型一氧化*(代"氮")合成酶(eNOS)定量分析 Human endothelial nitric oxide synthase,enos ELISA KIT
Na-对甲*磺酰-L-精*酸甲酯盐*(代"酸")盐 Carbonic anhydrase 1784-03-8
LB冷冻缓冲液 100ml
1400-61-9 Nystatin 制霉菌素
F030218 HRP标记兔抗猪IgG抗体 Rabbit Anti-Pig IgG*HRP
BL0813 HRP标记羊抗小鼠IgG抗体
刺五加苷E的不同等级:
除了优级纯、分析纯、化学纯、实验试剂外,目前市场上尚有:基准试剂(PT):专门作为基准物用,可直接配制标准溶液。光谱纯试剂(SP):表示光谱纯净。但由于有机物在光谱上显示不出,所以有时主成分达不到99.9%以上,使用时必须注意,特别是作基准物时,必须进行标定。纯度远高于优级纯的试剂叫做高纯试剂(≥ 99.99%)。
一般化学试剂的品级:一级试剂、二级试剂、三级试剂、四级试剂
国内标准名称:优级纯(保证试剂)、分析纯、化学纯 、实验试剂
国内标签颜色:绿色、红色、蓝色、中黄色
我公司生产供应销*(代"售")的标准品对照品正全品类优惠促销,十分期待您的咨询选购北京刺五加苷E对照品现货价格。
风险提示:丁香通仅作为第三方平台,为商家信息发布提供平台空间。用户咨询产品时请注意保护个人信息及财产安全,合理判断,谨慎选购商品,商家和用户对交易行为负责。对于医疗器械类产品,请先查证核实企业经营资质和医疗器械产品注册证情况。
文献和实验.tomentosa(Thunb) Steud的叶子。95 %乙醇(食用级,南昌利康药械实业有限公司);“YCXY- 1 号”除杂剂(自制);复合酶制剂(哈尔滨神农有限公司);活性炭(分析纯,上海豪申化学试剂有限公司);甲醇(色谱纯,天津市大茂化学试剂厂);水为超纯水;乌索酸对照品(中国药品生物制品检定所提供,批号110742 - 200314)。 1.2 仪器Waters 系列高效液相色谱仪(515双泵,2996光电二极管阵列检测器,Empower 中文色谱数据工作站,美国);Perkin
内转变成2O碳5烯酸(EPA)和22碳6烯酸(DHA),亚麻酸的研究,紫苏中芳香性生成分丁香油酚、α-蒎烯、紫苏醇等成分对人体具有参与神经细胞生物构成、增强中枢的功能圈。文献资料多为对紫苏子中α-均有较大的毒副作用。 1 仪器与试药 1.1 仪器:电子天平,METTLER TOLEDO GB-204;CSF-1A超声波发生器,上海超声波仪器厂;小型三用水箱, 北京医疗设备总厂; 气相色谱仪(Gas Chromatogram,GC),Agilent 4890D。 1.2 试药:椒目仁油,陕西盛华
,杨敏,万江陵,等.顶空固相微萃取-气相色谱法测定头孢匹胺钠中多种有机溶剂残留量[J].药物分析杂志,2005,25(1):37-39. [4] 国家药典委员会.中华人民共和国药典:二部[S].北京:化学工业出版社,2005:附录V E和附录VIII P.
技术资料暂无技术资料 索取技术资料










