相关产品推荐更多 >
万千商家帮你免费找货
0 人在求购买到急需产品
- 详细信息
- 文献和实验
- 技术资料
- 库存:
292
- 英文名:
Leflunomide
- CAS号:
75706-12-6
- 保质期:
长期
- 供应商:
北京百奥莱博科技有限公司
特别声明:本产品及我公司所售其他产品均为科研类试剂产品,严禁用于药物、医疗及其他非科研用途。
北京百奥莱博公司供应包括来*米特标准品优惠促销在内的化学标准品,化学对照品,杂志对照品,HPLC标准品,UV标准品等高品质标准品、对照品
名称:来*米特标准品优惠促销
产地:国产|进口
编号:BP0437
英文名:Leflunomide
品牌:百奥莱博
规格:100mg
本品为来*米特化学对照品,供含量测定用。HPLC法测定,含量为99.7%;UV法测定,含量为99.9%。
分子式:C12H9F3N2O2
分子量:270.21
CAS号:75706-12-6
包装及装量:棕色小瓶装,每支约100毫克。
储存条件:遮光,密封于阴凉处保存
注意事项:105℃干燥2小时后使用
想要了解更多关于来*米特标准品优惠促销的价格、品牌、厂家、说明书、促销信息,请和我们联*(代"系")。此外我公司还销*(代"售")下面的产品:
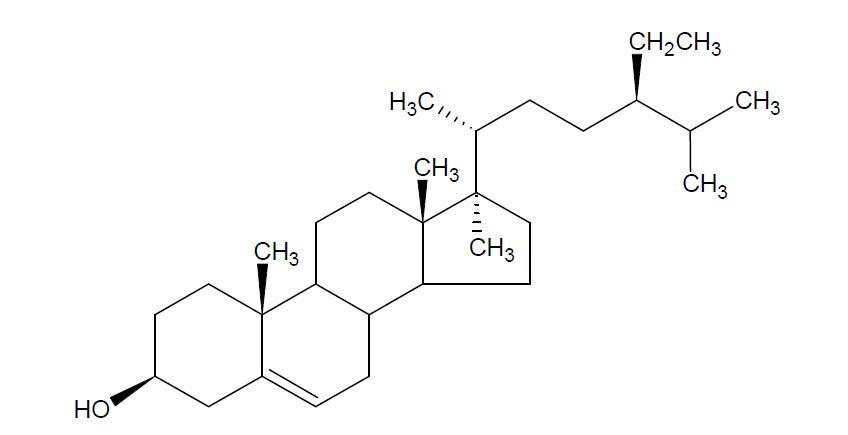
·β-谷甾醇
编号:BP1129
英文名称:β- Sitosterol
规格:约20mg/支
本品为β-谷甾醇化学对照品,供鉴别及含量测定用,含量以97.0%计,使用前不需干燥处理。
CAS号:83-46-5
分子式:C29H50O
分子量:414.7
结构式:

包装:棕色瓶
规格:约20毫克/支
储存条件:冷处(2~10℃)保存
·消旋山莨菪碱
编号:BP0200
英文名称:Raceanisodamine
规格:约100毫克
本品为消旋山莨菪碱(Raceanisodamine)的化学对照品,供含量测定用。按C17H23NO4计,含量为99.8%。
分子式:C17H23NO4
分子量:305.38
CAS号:17659-49-3
包装及装量:棕色西林瓶装,每支约100毫克
储存条件:遮光,密封保存
注意事项:使用前不需干燥处理。
·盐*(代"酸")非那吡*(代"啶")
编号:BP0598
英文名称:Raceanisodamine
规格:100mg
本品为消旋山莨菪碱(Raceanisodamine)的化学对照品,供含量测定用。按C17H23NO4计,含量为99.8%。
分子式:C17H23NO4
分子量:305.38
CAS号:17659-49-3
包装及装量:棕色西林瓶装,每支约100毫克
储存条件:遮光,密封保存
注意事项:使用前不需干燥处理。
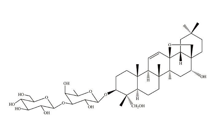
·柴胡皂苷d
编号:BP1073
英文名称:Saikosaponin d
规格:20mg/支
本品为柴胡皂苷d化学对照品,供鉴别和含量测定用,使用前不需干燥处理。含量以95.8%计。
CAS号:20874-52-6
分子式:C42H68O13
分子量:780.98
结构式:

包装:棕色安瓿瓶
规格:约20mg/支
储存条件:冷冻保存
·非洛地平杂质Ⅰ
编号:BP0854
英文名称:Felodipine impurityⅠ
规格:50mg
本品为非洛地平杂质Ⅰ化学对照品,供检查用,使用前不需干燥处理。供HPLC法测定,按C18H17Cl2NO4计,含量为100%。
分子式:C18H17Cl2NO4
分子量:382.25
结构式:

包装及装量:棕色西林瓶,约50mg/支。
储存条件:遮光,密封保存。
来*米特标准品优惠促销关键词:来*米特,75706-12-6,Leflunomide
来*米特上架一个月之内参与新品促销活动,新老客户订购此产品均可享受会员优惠,若您是我们的诚信会员,还可享受我司的VIP专线服务与优惠,欢迎来电咨询、订购您所需产品。
细菌裂解液 Bacterial lysis solution 50ml|100ml
2-(5-*-2-吡*(代"啶")偶氮)-5-(二乙*基)*酚 BCM 14337-53-2
DP209 琼脂糖凝胶回收试剂盒
羊毛脂 Ponceau S 8006-54-0
Tris缓冲盐溶液(10×TBS,pH8.0) 500ml
ARB13184 小鼠胰岛素受体β(ISR-β)elisa检测操作说明书 Mouse insulin receptor β,isr-β ELISA KIT
戊二酸酐 3-Pyridylacetic acid hydrochloride 108-55-4
PY02-195 改良Y培养基 250克
CYB165012 生物素化羊抗人IgA
BTN120312 末端脱氧核苷转移酶 Terminal Deoxynucleotidyl Transferase(TdT)
CYB168006 绵羊血清 500ml/瓶
十四烷基三甲基*化铵 Fibrinogen from human plasma 4574-04-3
香芹酚 Fmoc-Gln-OH 499-75-2
煌焦油蓝染色液 100ml
来*米特标准品优惠促销关键词:来*米特,75706-12-6,Leflunomide
我公司所售科研每月均有新品促销,您可对我公司网站时刻进行关注,在促销期间购买您所需产品,价格更优惠。来*米特质量保证,品质已经得到广大客户的认可,您可放心,且我公司有专门的售后部门对客户进行全线跟踪,全程免费技术指导。欢迎询价详谈!
·肝素分子量对照品
编号:BP1912
英文名称:Heparin molecular weight calibrant
规格:25mg/瓶
本品为肝素分子量对照品,供肝素*、肝素*分子量与分子量分布检查实验使用。使用前不需干燥。
CAS号:9041-08-1
包装:棕色西林瓶
规格:约25mg/瓶
储存条件:避光,4℃冷藏保存
注意事项:本品具有引湿性。
肝素分子量对照品(140819-201501)宽分布标样表
·柳穿鱼黄素
编号:BP1384
英文名称:Pectolinarigenin
规格:20mg/支
本品为柳穿鱼黄素化学对照品,供相关物质鉴别用
分子式:C17H14O6
分子量:314
包装及装量:棕色瓿。
储存条件:室温保存。
·醌式利福平
编号:BP1599
英文名称:Rifampicin quinone
规格:50mg/支
本品为醌式利福平标准品,供检查用,以C43H56N4O12计,含量为92.8%,使用前不需干燥处理。
CAS号:13983-13-6
分子式:C43H56N4O12
分子量:820.4
结构式:
包装:棕色安瓿
规格:50mg/支
储存条件:2-8℃遮光保存。
·艾拉莫德杂质M10
编号:BP0919
英文名称:Ailamode impurity M10
规格:30mg
本品为艾拉莫德杂质M10(3-胺基-7-甲磺酰胺基-6-*氧基-4H-1-*并吡喃-4-酮)化学对照品,供HPLC系统适用性试验用,使用前不需干燥处理。
分子式:C16H14N2O5S
分子量:346.36
包装及装量:棕色小瓶装,每支约30毫克。
储存条件:遮光、密封保存。
来*米特等试剂产品仅用于科研实验使用,拥有一流的技术指导及完善的售后服务体系,来保证我们产品的使用效果,欢迎广大科研学者来电咨询、选购。
我公司生产供应销*(代"售")的标准品对照品正全品类优惠促销,十分期待您的咨询选购来*米特标准品优惠促销。
风险提示:丁香通仅作为第三方平台,为商家信息发布提供平台空间。用户咨询产品时请注意保护个人信息及财产安全,合理判断,谨慎选购商品,商家和用户对交易行为负责。对于医疗器械类产品,请先查证核实企业经营资质和医疗器械产品注册证情况。
文献和实验【信息】【新年促销】德国IBL儿茶酚胺类ELISA试剂盒优惠大促销 5.5~7.5折优惠
德国IBL国际有限公司是一家有着近30年经验的专业医疗诊断试剂研发制造商,其产品均已经通过ISO9001、ISO13485和欧洲CE认证,并且通过了美国FDA的认证。公司产品系列包括生物胺系列、传染病系列、新生儿筛查系列及不孕系列等ELISA产品及放免产品。深圳市科润达生物工程有限公司,为德国IBL公司中国(含港澳地区)独家代理商!现我公司推出德国IBL儿茶酚胺/生物胺类检测试剂优惠大促销活动,即日起,通过深圳科润达生物购买德国IBL儿茶酚胺/生物胺类产品,即可获得5~7.5折优惠! 活动时间
至010-80485460或E-mail至 liuyu@genomics.cn。010-80485460或E-mail至liuyu@genomics.cn。培训费用:全程培训(讲座+实验): 3500元/人,学生为 2900元/人。 注:学生报到请带学生证培训费用包含会务费、资料费、餐费。培训期间公司协助安排住宿,费用自理。 三、相关促销政策 参加本届培训班的学员可以享受公司提供的常规技术服务八折优惠。优惠有效时间2013.10.17-2013.12.31 四、汇款信息 账号
1100 96孔可拆式酶标板(高吸附) 50元/块 AR1103 ELISA用ABC 140元/瓶(130μι) AR1104 Tetramethylbenzidine(TMB) 80元/瓶(10ml) AR1105 终止液(0.5M H2SO4) 30元/瓶(10ml) AR1106 样品稀释液 40元/瓶(30ml) AR1107 ELISA用生物素化抗体 380/瓶(130μι) 好消息!!! 在7月9日到9月10日期间进行暑假期间让利优惠活动,所有ELISA试剂盒7折上市促销
技术资料暂无技术资料 索取技术资料










