万千商家帮你免费找货
0 人在求购买到急需产品
- 详细信息
- 技术资料
- 库存:
276
- 英文名:
Methyl Hesperidin
- 保质期:
长期
- 供应商:
北京百奥莱博科技有限公司
- 保存条件:
阴凉干燥
特别声明:本产品及我公司所售其他产品均为科研类试剂产品,严禁用于药物、医疗及其他非科研用途。
北京百奥莱博公司供应包括北京现货甲基橙皮苷对照品优惠价在内的化学标准品,化学对照品,杂志对照品,HPLC标准品,UV标准品等高品质标准品、对照品
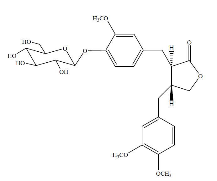
名称:北京现货甲基橙皮苷对照品优惠价
规格:50mg
产地:国产|进口
英文名:Methyl Hesperidin
编号:BP1222
品牌:百奥莱博
北京现货甲基橙皮苷对照品优惠价正在火爆热销,除此之外,为您推荐下别热销产品:
·天麻素
编号:BP1096
英文名称:Gastrodin
规格:约20mg/支
本品为天麻素化学对照品,供鉴别和含量测定用,使用前不需干燥处理。含量以97.6%计。
CAS号:62499-27-8
分子式:C13H18O7
分子量:286.28
结构式:

包装:棕色安瓿
规格:约20mg/支
储存条件:冷处(2~10℃)保存
·盐*(代"酸")厄洛替尼(B晶型)
编号:BP2156
英文名称:Erlotinib Hydrochloride(Polymorph B)
规格:100mg/支
本品为盐*(代"酸")厄洛替尼(B晶型)化学对照品,供UV法和HPLC法含量测定用,按C22H23N3O4·HCl计,含量为99.7%,使用前不需干燥处理。
CAS号:183319-69-9
分子式:C22H23N3O4·HCl
分子量:429.90
结构式:

包装:棕色西林瓶装
装量:约100mg/支
储存条件:遮光,密封保存
·莫匹罗星
编号:BP1700
英文名称:Mupirocin
规格:100mg
本品为莫匹罗星化学对照品,供高效液相含量测定用,含量以莫匹罗星(C26H44O9)计。
使用方法:精密称取本品适量,按相关质量标准,加流动相溶解并稀释至所需浓度的溶液,立即使用。
储存条件:置5℃以下条件低温避光保存。
注意事项:使用前不需干燥处理。开启安瓿后一次使用完毕。
·聚丙*(代"烯")酸树脂II
编号:BP2020
英文名称:Mupirocin
规格:200mg
本品为聚丙*(代"烯")酸树脂Ⅱ化学对照品,供聚丙*(代"烯")酸树脂Ⅱ品种红外光谱鉴别用。
包装及装量:棕色西林瓶装,每支约200 毫克
储存条件:遮光,密封,于阴凉处保存。
注意事项:使用前于 110℃干燥6 小时。
北京现货甲基橙皮苷对照品优惠价关键词:BP1222,Methyl Hesperidin,甲基橙皮苷
·牛蒡苷
编号:BP1105
英文名称:Arctiin
规格:20mg/支
本品为牛蒡苷化学对照品,供鉴别及含量测定用,含量以95.9%计,使用前不需处理。
CAS号:20362-31-6
分子式:C27H34O11
分子量:534.54
结构式:

包装:棕色安瓿瓶
装量:约20mg/支
储存条件:冷处(2-10℃)保存
·原阿*(代"片")碱
编号:BP1131
英文名称:Protopine
规格:20mg/支
本品为原阿*(代"片")碱化学对照品,供薄层鉴别及含量测定用,含量以99.7%计,使用前不需干燥处理。
CAS号:130-86-9
分子式:C20H19O5N
分子量:353.13
结构式:

包装:棕色安瓿瓶
规格:约20mg/支
储存条件:室温保存。
·盐*(代"酸")硫必利
编号:BP0362
英文名称:Tiapride Hydrochloride
规格:100mg
本品为原阿*(代"片")碱化学对照品,供薄层鉴别及含量测定用,含量以99.7%计,使用前不需干燥处理。
CAS号:130-86-9
分子式:C20H19O5N
分子量:353.13
结构式:

包装:棕色安瓿瓶
规格:约20mg/支
储存条件:室温保存。
·凤仙萜四醇苷K
编号:BP1532
英文名称:Hosenkoside K
规格:20mg/支
本品为凤仙萜四醇苷K化学对照品,供含量测定用,含量以92.8%计,使用前不需干燥处理。
CAS号:160896-49-1
分子式:C54H92O25
分子量:1141.29
结构式:

包装:棕色安瓿瓶
规格:约20mg/支
储存条件:冷处(2-10℃)保存
注意事项:本品具有引湿性,建议打开包装一次性使用完。
北京现货甲基橙皮苷对照品优惠价关键词:BP1222,Methyl Hesperidin,甲基橙皮苷
我公司是一家生物高新技术企业,主要从事免疫学、分子生物学和常规生化试剂的研发、销*(代"售")。致力于为广大高校、科研院所和企事业单位提供一流的科研试剂和完善的技术服务,满足生物化学、分子生物学 、甲基橙皮苷、细胞生物学、免疫学ELISA试剂盒等生物科技实验需求。我们诚以100%的热情换您100%的满意!
·氧化槐果碱
编号:BP1266
英文名称:Oxysophocarpine
规格:20mg
·伪原薯蓣皂苷
编号:BP1411
英文名称:Pseudoprotodioscin
规格:20mg/支
本品为伪原薯蓣皂苷化学对照品,供含量测定用,含量以92.0%计,使用前不需干燥处理。
CAS号:102115-79-7
分子式:C51H82NO21
分子量:1030
结构式:

包装及装量:棕色安瓿瓶,约20mg/支
储存条件:冷冻保存
注意事项:本品极具引湿性,引湿后潮解,打开包装后一次使用完毕。
·盐*(代"酸")去氧肾上腺素
编号:BP0209
英文名称:Phenylephrine Hydrochloride
规格:100mg/支
本品为盐*(代"酸")去氧肾上腺素的化学对照品,供含量测定用,使用前不需干燥处理。供HPLC法测定,按C9H13NO2·HCl计,含量为99.9%。
分子式:C9H13NO2·HCl
结构式:

分子量:203.67
CAS号:61-76-7
包装及装量:棕色安瓿瓶,约100mg/支
储存条件:遮光,密封保存
·沙利度胺
编号:BP0391
英文名称:Thalidomide
规格:100mg/支
本品为沙利度胺化学对照品,供HPLC法测定,按C13H10N2O4计,含量为100.0%。
分子式:C13H10N2O4
分子量:258.23
CAS号:50-35-1
包装及装量:棕色小瓶装,每支约100毫克。
储存条件:遮光,密封保存。
注意事项:105℃干燥2小时后使用。
生物化工学科起始于第二次世界大战时期,以抗生素的深层发酵和大规模生产技术的研究为标志。20世纪60年代末至80年代中期,转基因技术、生物催化与转比技术、动植物细胞培养技术、新型生物反应器和新型生物分离技术等开发和研究的成功,使本学科进入了新的发展时期,学科体系逐步完善。20世纪后期,随着以基因工程为代表的高新技术的迅速崛起,为本学科的进一步发展开辟了新领域,无数前人的工作和我公司的不懈奋斗。造就了高品质的甲基橙皮苷。
我公司以高效的产品质量,完善的销*(代"售")体系、快速、安全的产品渠道,优质的客户服务,以诚信的态度,真诚的对待客户、合作伙伴以及各位同仁,欢迎来电咨询甲基橙皮苷!
我公司生产供应销*(代"售")的标准品对照品产品正全系列现货促销,满分期待您的垂询选购北京现货甲基橙皮苷对照品优惠价。
风险提示:丁香通仅作为第三方平台,为商家信息发布提供平台空间。用户咨询产品时请注意保护个人信息及财产安全,合理判断,谨慎选购商品,商家和用户对交易行为负责。对于医疗器械类产品,请先查证核实企业经营资质和医疗器械产品注册证情况。
技术资料暂无技术资料 索取技术资料










