万千商家帮你免费找货
0 人在求购买到急需产品
- 详细信息
- 文献和实验
- 技术资料
- 库存:
830
- 英文名:
Oxacillin
- 保质期:
长期
- 供应商:
北京百奥莱博科技有限公司
- 保存条件:
置4℃
特别声明:本产品及我公司所售其他产品均为科研类试剂产品,严禁用于药物、医疗及其他非科研用途。
北京百奥莱博公司供应包括*唑西林标准品品牌在内的化学标准品,化学对照品,杂志对照品,HPLC标准品,UV标准品等高品质标准品、对照品
名称:*唑西林标准品品牌
产地:国产|进口
编号:BP1635
英文名:Oxacillin
品牌:百奥莱博
本品为*唑西林化学对照品,含量以*唑西林C19H18N3NaO5S计,供*唑西林*品种含量测定用。
分子式:C19H18N3NaO5S·H2O
分子量:441.44
结构式:
包装及装量:安瓿;约100mg/支
储存条件:置4℃以下条件低温避光保存。
关于*唑西林标准品品牌的更详细说明,请致电我公司咨询,我们将以最饱满的热情为您提供解答,此外,我公司专业供应下列产品:
·盐*(代"酸")赛庚啶杂质Ⅰ
编号:BP1005
英文名称:Cyproheptadine Hydrochloride ImpurityⅠ 5-(1-methyl-piperidin-4-yl)-5H-dibenzo[a,d]cyclohepten-5-ol
规格:30mg/支
·奥美拉唑*
编号:BP0584
英文名称:Omeprazole Sodium
规格:100mg
本品为奥美拉唑*化学对照品,供含量测定用,使用前不需干燥处理。按C17H18N3NaO3S计,含量为95.2%。
CAS号:95510-70-6
分子式:C17H18N3NaO3S·H2O
分子量:385.41
包装:棕色安瓿瓶装
装量:每支约100mg。
储存条件:遮光,密封保存。
·恩曲他滨杂质V
编号:BP0940
英文名称:Emtricitabine Impurity V
规格:50mg/支
本品为恩曲他滨杂质V化学对照品,使用前不需干燥处理,供检查用。供HPLC法测定,按CHFNOS计,含量为100%。
CAS号:764659-79-2
分子式:CHFNOS182634
分子量:399.48
结构式:


(恩曲他滨系统适用性溶液色
·二丙*(代"酸")倍他米松
编号:BP0458
英文名称:Betamethasone Dipropionate
规格:100mg
本品为恩曲他滨杂质V化学对照品,使用前不需干燥处理,供检查用。供HPLC法测定,按CHFNOS计,含量为100%。
CAS号:764659-79-2
分子式:CHFNOS182634
分子量:399.48
结构式:


(恩曲他滨系统适用性溶液色
*唑西林标准品品牌关键词:BP1635,*唑西林,Oxacillin
·庚酸炔诺酮
编号:BP0735
规格:100mg
·地舍平
编号:BP0893
英文名称:Deserpidine
规格:100mg/支
本品为地舍平化学对照品,供HPLC法测定,按C32H38N2O8计,含量为99.5%。
CAS号:131-01-1
分子式:C32H38N2O8
分子量:578.65
包装及装量:棕色小瓶装,每支约100毫克。
储存条件:遮光,密闭保存。
注意事项:60℃减压干燥 5小时后使用。
·头孢泊肟酯
编号:BP1664
英文名称:Cefpodoxime Proxetil
规格:100mg/支
本品为头孢泊肟酯化学对照品,供HPLC法含量测定及溶出度检查使用,以C21H27N5O9S2计,含量为73.4%,使用前不需干燥处理。
CAS号:87239-81-4
分子式:C21H27N5O9S2
分子量:557.60
结构式:

包装:白色安瓿
规格:约100mg/支
储存条件:置2-8℃遮光保存。
·阿莫西林
编号:BP1595
英文名称:Amoxicillin
规格:100mg/支
本品为阿莫西林标准品,供供HPLC法含量测定使用,以C16H19N3O5S计,含量为86.9%,使用前不需干燥处理。
CAS号:26787-78-0
分子式:C16H19N3O5S
分子量:365.1
结构式:

包装:白色安瓿
规格:约100mg/支
储存条件:置2-8℃遮光保存。
*唑西林标准品品牌关键词:BP1635,*唑西林,Oxacillin
*唑西林如何储存?
化学试剂的变质,大多数情况是因为受外界条件的影响,如空气中的氧气、二氧化碳、水蒸气、空气中的酸碱性物质以及环境 温度、光照等,都可使化学试剂发生氧化、还原、潮解、风化、析晶、稀释、锈蚀、分解、挥发、升华、聚合、发霉、变色以及燃爆等变化。经常检查储存中的化学 试剂的存放状况发现实际起过的储存期或变质应及时报告,并按规定妥善处理 ( 降级使用或报废) 和销帐。在正常储存条件下,一般化学试剂贮有不宜超过2年,基准试剂不超1年。为了避免环境和其他因素的干扰,所有化学试剂一经取出不得放回贮有容器: 属于必须回收的试剂或指定、退库、的试剂,必须另设专用容器回收或贮存,具有吸潮性或易氧化,易变质的化学试试剂必须密封保存,避免吸湿解,氧化或变质。 定期盘点,核对出现差错应及时检查原因,并报主管领导或部门处理。
·醋酸去氧皮质酮
编号:BP0185
英文名称:Desoxycortone Acetate
规格:30mg
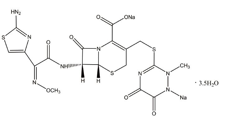
·头孢曲松
编号:BP1633
英文名称:Ceftriaxone
规格:200mg/支
本品为头孢曲松化学对照品,供高效液相法含量测定用,以头孢曲松(C18H16N8Na2O7S3)计,含量为83.9%,使用前不需要干燥处理。
CAS号:74578-69-1
分子式:C18H16N8Na2O7S3·3.5H2O
分子量:661.59
结构式:

包装:安瓿
规格:约200mg/支
储存条件:2-8℃保存
注意事项:本品建议打开
·盐*(代"酸")咪达普利
编号:BP0575
英文名称:Imidapril Hydrochloride
规格:100mg
本品为盐*(代"酸")咪达普利化学对照品,供含量测定用。
CAS号:89396-94-1
分子式:C20H27N3O6·HCl
分子量:441.91
包装及装量:棕色小瓶装,每支约100毫克。
储存条件:遮光,密闭保存。
注意事项:使用前不需干燥处理。
·碘帕醇
编号:BP0993
英文名称:Iopamidol
规格:100mg/支
本品为碘帕醇化学对照品,供含量测定用。105℃干燥2小时后使用。供HPLC法测定,按C17H22I3N3O8计,含量为99.6%。
CAS号:60166-93-0
分子式:C17H22I3N3O8
分子量:777.09
结构式:

包装:棕色西林瓶装
规格:约100毫克/支
储存条件:遮光,密闭,10~30℃保存
*唑西林等科研试剂品质优良,受到广大科研工作者的一致肯定和赞许。质量品牌保证,价格公正,倾力为国内国外生命科学研究人员提供一流的产品。欢迎来电咨询!
我公司所售科研每月均有新品促销,您可对我公司网站时刻进行关注,在促销期间购买您所需产品,价格更优惠。*唑西林质量保证,品质已经得到广大客户的认可,您可放心,且我公司有专门的售后部门对客户进行全线跟踪,全程免费技术指导。欢迎询价详谈!
我公司正在打折促销标准品对照品全系列产品,恭候您的咨询选购*唑西林标准品品牌。
风险提示:丁香通仅作为第三方平台,为商家信息发布提供平台空间。用户咨询产品时请注意保护个人信息及财产安全,合理判断,谨慎选购商品,商家和用户对交易行为负责。对于医疗器械类产品,请先查证核实企业经营资质和医疗器械产品注册证情况。
文献和实验全自动生化分析仪以其快速、准确、经济效益好而被广泛使用,在品牌众多的全自动生化分析仪中,多数仪器使用试剂为开放型,从而就出现一台仪器做不同检验项目而使用不同厂家生产的试剂,再加上日常工作中不正确的操作,造成同一患者前后几天内几次相同的检验出现无法解释的检验结果(疾病本身和用药因素除外)。笔者认为只要从以下几个方面加以注意就能保证被测标本的检验质量。 1 正确采集患者血液标本 清晨用真空采血管采集患者血液,空腹12 h以上坐位取静脉血3mL置37℃
模块不匹配造成重复孔间差异 3)使用了质量比较差的耗材 Applied Biosystems™ 系列的荧光定量 PCR 仪器是一个开放的平台,客户可以使用开放的试剂、开放的耗材。但是目前市面上荧光定量 PCR 耗材种类繁多,质量也是良莠不齐,在耗材选择上尽量选择质量、品牌好一点的,切莫因为便宜选用质量很差或不符合要求的耗材,否则会引起一系列问题,引来实验的困扰,造成不必要的时间、精力和试剂、样本的浪费。比如质量不好的耗材可能会引起荧光值不稳定,这会造成反应孔的自动基线扣除错误,得到不准确的 CT 值(图
的。 实验室常用的蛋白标准品多是来自NEB、MBI、GE、Bio-Rad 、Invitrogen、Novagen、Promega、MRESCO、Pierce Bio. 等品牌,生物帮2-D 蛋白 MW Markers产品推荐:Marker for 2D Electrophoresis 、ColorBurst(TM) Electrophoresis Marker 、Myoglobin, Carbamylated 2D Electrophoresis Marker from equine heart
技术资料暂无技术资料 索取技术资料










