万千商家帮你免费找货
0 人在求购买到急需产品
- 详细信息
- 文献和实验
- 技术资料
- 库存:
497
- 英文名:
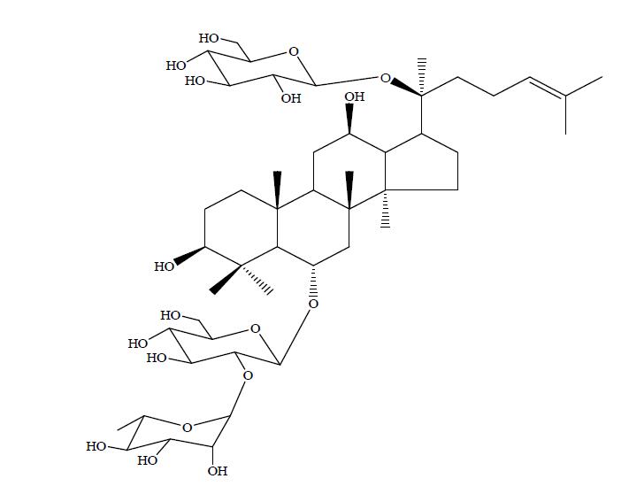
Ginsenoside Re
- CAS号:
52286-59-6
- 保质期:
长期
- 供应商:
北京百奥莱博科技有限公司
特别声明:本产品及我公司所售其他产品均为科研类试剂产品,严禁用于药物、医疗及其他非科研用途。
北京人参皂苷Re标准品多少钱由专业试剂供应商北京百奥莱博提供,用于科研实验,本产品质量好,且极具价格优势,深为用户称道,了解更多人参皂苷Re等标准品对照品产品请联*(代"系")我司咨询订购。
名称:北京人参皂苷Re标准品多少钱
编号:BP1051
英文名:Ginsenoside Re
规格:约20mg/支
产地:国产|进口
本品为人参皂苷Re化学对照品,供鉴别和含量测定用,含量97.4%,使用前不需干燥处理。
CAS号:52286-59-6
分子式:C48H82O18
分子量:947.15
结构式:

包装:棕色安瓿瓶。
规格:约20mg/支。
储存条件:冷冻保存。注意事项:本品有引湿性,开封后一次使用完毕。
更多有关北京人参皂苷Re标准品多少钱的价格及使用说明等,请联*(代"系")我们的业务经理王欣女士咨询,我公司还销*(代"售")以下产品:
·甘露聚糖肽
编号:BP1805
英文名称:Mannatide
规格:100mg
本品为甘露聚糖肽化学对照品,甘露聚糖肽免疫原性鉴别与检查用,使用前不需干燥处理。
包装:棕色小瓶
规格:每瓶约100mg
储存条件:阴凉干燥处保存
·盐*(代"酸")兰地洛尔异构体Ⅲ
编号:BP0916
英文名称:Landiolol Hydrochloride Enantiomer Ⅲ(Benzenepropanoic acid, 4-[(2S)-2-hydroxy-3-[[2-[(4-morpholinylcarbonyl)amino]ethyl]amino]propoxy]-, [(4R)-2,2-dimethyl-1,3-dioxolan-4-yl]methyl ester, hydrochloride)"
规格:20mg/支"
本品为甘露聚糖肽化学对照品,甘露聚糖肽免疫原性鉴别与检查用,使用前不需干燥处理。
包装:棕色小瓶
规格:每瓶约100mg
储存条件:阴凉干燥处保存
·可可碱
编号:BP0801
英文名称:Theobromine
规格:100mg
本品为可可碱化学对照品,供检查用。供HPLC法测定用,按C7H8N4O2计,含量为100%。
CAS号:83-67-0
分子式:C7H8N4O2
分子量:180.17
包装及装量:棕色瓶,约100mg/支
储存条件:遮光,密封保存
注意事项:使用前不需干燥处理
·替加*
编号:BP0368
英文名称:Tegafur
规格:50mg
本品为替加*化学对照品,供含量测定用。
分子式:C8H9FN2O3
分子量:200.17
CAS号:17902-23-7
包装及装量:棕色小瓶装,每支约50毫克。
储存条件:遮光,密闭保存。
注意事项:105℃干燥2小时后使用,避光操作。
·甲氧苄啶
编号:BP0029
英文名称:Trimethoprim
规格:100mg/支
本品供HPLC法含量测定用,以C14H18N4O3计,含量为99.8%,使用前不需干燥处理。
分子式:C14H18N4O3
分子量:290.32
CAS号:738-70-5
包装:白色安瓿
规格:100mg/支
储存条件:常温保存
·腺嘌呤
编号:BP1156
英文名称:Adenine
规格:20mg
本品为腺嘌呤化学对照品,供含量测定用,含量以99.4%计。
分子式:C5H5N5
分子量:135.13
包装及装量:棕色瓶。
储存条件:室温干燥保存。
注意事项:置五氧化二磷干燥器中减压干燥12小时后使用。
北京人参皂苷Re标准品多少钱关键词:52286-59-6,人参皂苷Re,Ginsenoside Re
我公司所售科研每月均有新品促销,您可对我公司网站时刻进行关注,在促销期间购买您所需产品,价格更优惠。人参皂苷Re质量保证,品质已经得到广大客户的认可,您可放心,且我公司有专门的售后部门对客户进行全线跟踪,全程免费技术指导。欢迎询价详谈!
·N-反式-对-香豆酰基去甲辛弗林
编号:BP1521
英文名称:N-trans-p-coumaroyloctopamine
规格:20mg/支
本品为N-反式-对-香豆酰基去甲辛弗林化学对照品,供含量测定用,含量以97.2%计,使用前不需干燥处理。
CAS号:66648-45-1
分子式:C17H17NO4
分子量:299.32
结构式:

包装:棕色安瓿
规格:约20mg/支
储存条件:冷冻保存
注意事项:N-反式-对-香豆酰基去甲辛弗林在溶液状态下不稳定,建议临用前配制并立即进
·大黄素
编号:BP1053
英文名称:Emodin
规格:20mg
本品为大黄素化学对照品,供鉴别或含量测定用,含量以98.7%计,使用前不需干燥处理。
CAS号:518-82-1
分子式:C15H10O5
分子量:270.23
结构式:

包装:棕色安瓿瓶
规格:约20mg/支
储存条件:常温密闭
·戊酸雌二醇
编号:BP0055
英文名称:Emodin
规格:100mg
本品为大黄素化学对照品,供鉴别或含量测定用,含量以98.7%计,使用前不需干燥处理。
CAS号:518-82-1
分子式:C15H10O5
分子量:270.23
结构式:

包装:棕色安瓿瓶
规格:约20mg/支
储存条件:常温密闭
·酸浆苦味素L
编号:BP1396
英文名称:Physalin L
规格:1ml
本品为酸浆苦味素L化学对照品,供相关物质鉴别用。
分子式:C28H32O10
分子量:528.55
结构式:

包装及装量:棕色西林瓶,约1mg
储存条件:干燥密闭保存。
注意事项:本品使用前加二*甲*(代"烷")1ml,溶解后直接使用
·靛玉红
编号:BP1024
英文名称:Indirabin
规格:20mg
本品为靛玉红化学对照品,供鉴别或含量测定用。
分子式:C16H10N2O2
分子量:262.26
包装及装量:棕色瓶。
储存条件:干燥密闭保存。
注意事项:置五氧化二磷减压干燥器中干燥12小时后使用。
北京人参皂苷Re标准品多少钱关键词:52286-59-6,人参皂苷Re,Ginsenoside Re
人参皂苷Re等试剂产品的使用注意事项:
(1)、所有试剂、溶液以及样品的包装上必须要有标签。标签要完整、清晰,表明试剂的名称、规格、质量。
(2)、溶液除了表明品名外,还应表明浓度、配置日期等。万一标签脱落,应照原样贴牢。决定不允许在容器内装入与标签不相符的物品。
(3)、无标签的试剂必须取小样检定后才可使用。不能使用的化学试剂要慎重处理,不能随意乱倒。为了保证试剂不受污染,应当用清洁的牛角勺或不锈钢小勺从试剂瓶中取出试剂,绝不可以用手抓取。若试剂结块,可用洁净的玻璃棒或瓷药铲将其捣碎后取出。
(4)液体试剂可用洗干净的量筒到取,不要用吸管伸入原试剂中吸取液体。从试剂瓶中取出的、没有用完的声誉药品,不可再倒回原瓶。
甲壳素 Auramine O 1398-61-4
BL1409 "Western blotting(小鼠IgG)
ARB13854 猪去甲肾上腺素(NE)elisa检测操作说明书 Porcine noradrenaline,ne ELISA KIT
F020234 山羊抗人γ链抗体 Goat Anti-Human IgG(γ chain)
3-甲氧基*甲*(代"酸") Laccase from Trametes versicolor 586-38-9
ARB12804 小鼠β葡糖苷酶(β-glucosIdAse)elisa检测说明书 Mouse β-glucosidase ELISA KIT
石蜡包埋组织切片总RNA提取试剂盒
ARB10507 人白细胞介素18(IL-18)elisa测定使用说明书 Human interleukin 18,IL-18 ELISA KIT
ARB14121 呕吐毒素(DON)检测服务
BTN100941 通用型全基因组扩增试剂盒 Universal WGA Kit
ARB12988 小鼠抗子宫内膜抗体(EMAb)酶标法分析 Mouse endometrium antibody,emab ELISA KIT
F030623 FITC标记兔抗猴IgG抗体 Rabbit Anti-monkey IgG*FITC
SJ0857 胎牛血清(无支原体)
PY02-393 SCHAEDLER(斯氏)琼脂 250克
蜗牛酶 t-RNA
人参皂苷Re等级划分:
我国的试剂规格基本上按纯度(杂质含量的多少)划分,共有高纯、光谱纯、基准、分光纯、优级纯、分析和化学纯等7种。国家和主管部门颁布质量指标的主要优级纯、分级纯和化学纯3种。
(1)优级纯(GR),又称一级品或保证试剂,99.8%,这种试剂纯度最高,杂质含量最低,适合于重要精密的分析工作和科学研究工作,使用绿色瓶签。
(2)分析纯(AR),又称二级试剂,纯度很高,99.7%,略次于优级纯,适合于重要分析及一般研究工作,使用红色瓶签。
(3)化学纯(CP),又称三级试剂,≥ 99.5%,纯度与分析纯相差较大,适用于工矿、学校一般分析工作。使用蓝色(深蓝色)标签。
(4)实验试剂(LR),又称四级试剂。
我公司强烈推荐标准品对照品系列产品,热情期待您的咨询选购北京人参皂苷Re标准品多少钱。
风险提示:丁香通仅作为第三方平台,为商家信息发布提供平台空间。用户咨询产品时请注意保护个人信息及财产安全,合理判断,谨慎选购商品,商家和用户对交易行为负责。对于医疗器械类产品,请先查证核实企业经营资质和医疗器械产品注册证情况。
文献和实验它作甚? 小pig 厄,读的时候不知道,当时只想做临床型就不用搞什么科研,谁知道后来安排到了科研型。再说老板怎么说也是个科室主任,我也料不到课题都没有。。。唉,悲剧的我。。。。 北京rnai 看你课题的选择,不过做一个RNAi实验真的没有1w的话真的很难做下来。 小pig 北京rnai wrote: 看你课题的选择,不过做一个RNAi实验真的没有1w
核酸检测收费 180,北京女总裁微博 diss:2 秒钟刮 2 下,赚钱太容易了!
万或百万的研发成本,在试剂盒推出使用阶段做核酸的人员培训又花了多少时间和成本?看到这里,只想问一句:王女士,你的良心不会痛么?所以在这位王女士看来仪器不要钱,试剂不要钱,人工不要钱,防护装备不要钱。全靠一根棉签搅两下,那完全可以自己在家拿根 1.5 元的棉签自己做检测啊。其次:「应检尽检、愿检尽检」 统筹范围内免费检测6 月 13 日以来,根据新发地批发市场聚集性疫情发展情况,北京市对 6 类应检尽检人群,按照风险等级渐次开展核酸检测,并且检测为免费的。对于不在统筹范围内的人员,如果有出北京需要
北京时间 7 月 12 日,中国科学院深圳先进技术研究院司同课题组与伊利诺伊大学厄巴纳-香槟分校 Jonathan V. Sweedler 教授团队合作,在 FASEB J 国际学术期刊上发表研究论文 Profiling of D-alanine production by the microbial isolates of rat gut microbiota。 文章建立了酶法定性快筛和手性色谱-质谱联用(chiral LC-MS/MS)准确定量的两级分析方法,对 38 株大鼠肠菌产
技术资料暂无技术资料 索取技术资料










