相关产品推荐更多 >
万千商家帮你免费找货
0 人在求购买到急需产品
- 详细信息
- 文献和实验
- 技术资料
- 库存:
237
- 英文名:
Andrographolide
- CAS号:
5508-58-7
- 保质期:
长期
- 供应商:
北京百奥莱博科技有限公司
特别声明:本产品及我公司所售其他产品均为科研类试剂产品,严禁用于药物、医疗及其他非科研用途。
北京百奥莱博公司供应包括北京现货穿心莲内酯对照品特价促销在内的化学标准品,化学对照品,杂志对照品,HPLC标准品,UV标准品等高品质标准品、对照品
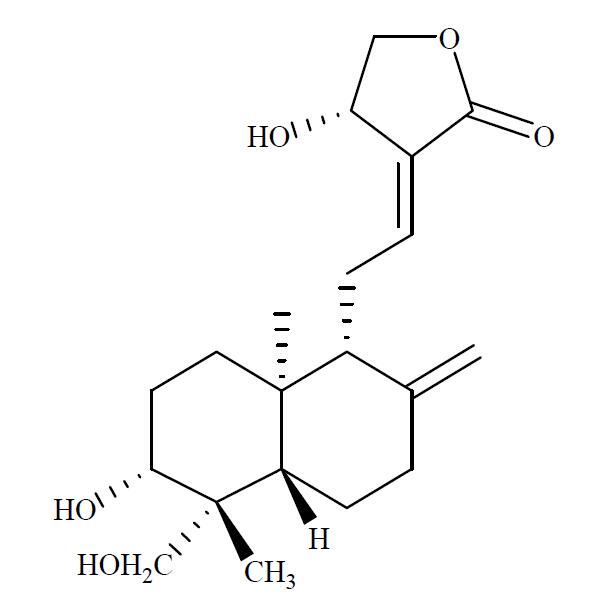
名称:穿心莲内酯
编号:BP1088
产地:国产|进口
英文名:Andrographolide
本品为穿心莲内酯化学对照品,供鉴别和含量测定用,使用前不需干燥处理。含量以99.7%计。
CAS号:5508-58-7
分子式:C20H30O5
分子量:350.45
结构式:

包装:棕色安瓿
规格:约20mg/支
储存条件:冷冻保存
关键词:5508-58-7,Andrographolide,穿心莲内酯
更多有关北京现货穿心莲内酯对照品特价促销的价格及使用说明等,请联*(代"系")我们的业务经理王欣女士咨询,我公司还销*(代"售")以下产品:
| 编号 | 名称 |
| BP0641 | 磷酸川芎嗪 |
| BP1663 | 地红霉素 |
| BP0416 | 高乌甲素 |
| BP1979 | 睾酮(T) |
| BP1173 | D-木糖 |
| BP0211 | 盐*(代"酸")肼屈嗪 |
| BP0608 | **酸西酞普兰 |
| BP1928 | 葡萄糖酸锑* |
| BP0288 | 盐*(代"酸")帕罗西汀 |
| BP0094 | 茶*海明 |
| BP0822 | 阿托酸6β-羟基-3α-托品酯(消旋山莨菪碱杂质Ⅰ) |
| BP0058 | 盐*(代"酸")多沙普仑 |
| BP1449 | 黄杞苷 |
| BP0948 | 磷酸伯*喹 |
| BP0987 | 磷酸奥司他韦杂质Ⅰ |
| BP1871 | 门冬酰胺 |
| BP1824 | 脯*酸 |
| BP1492 | 鞣花酸 |
| BP1726 | 诺*沙星杂质A |
| BP1383 | 灰毡毛忍冬皂苷乙 |
| BP2058 | 三辛酸甘油酯 |
| BP1074 | 氧化苦参碱 |
| BP1432 | 蟛蜞菊内酯 |
| BP1577 | 奈替米星 |
| BP2069 | 二甲硅油100 |
| BP0511 | 盐*(代"酸")关附甲素 |
| BP0785 | 尼可地尔 |
| BP2175 | 邻*二甲*(代"酸")二正丁酯 |
| BP0989 | 磷酸奥司他韦杂质Ⅲ |
| BP1108 | 蛇床子素 |
| BP0033 | 甲磺酸双*麦角毒碱 |
| BP1710 | 环孢素系统适用性对照品 |
| BP0816 | *噻嗪 |
| BP0555 | 4-异丁基*甲*(代"酸") |
| BP0490 | 去氧*尿苷 |
风险提示:丁香通仅作为第三方平台,为商家信息发布提供平台空间。用户咨询产品时请注意保护个人信息及财产安全,合理判断,谨慎选购商品,商家和用户对交易行为负责。对于医疗器械类产品,请先查证核实企业经营资质和医疗器械产品注册证情况。
文献和实验北京天来生物医学科技有限公司 极限低价,全面促销!!! 价格一步到位, 何必再谈折扣! 无与伦比的低价, 绝不亚于同类产品的质量! 效果不理想,无条件退货! 一. DNA分子量标准每支(50次)---------仅售 58元!!! 二. PCR反应混合液(PCR MasterMix)----500ul 68元 三. 质粒小提每次1.58元 胶回收每次1.78元 四. 中范围蛋白质分子量标准(14.3-97.2KD)(50次)------每支78元 预染的宽范围蛋白
。博士德部分现货ELISA产品超低价促销! 供应以上产品均为现货。特价产品如下: h.Activin A 1000元/96T h.MIP-1a 1500元/96T m.IL-4 1000元/96T h.BDNF 1000元/96Th.MIP-3a 1500元/96T m.IL-5 1000元/96T h.BMP-2 1500元/96Th.MCP-1 1000元/96T m.IL-6 1000元/96T h.CD54 1500元/96Th.MMP
技术资料暂无技术资料 索取技术资料










