万千商家帮你免费找货
0 人在求购买到急需产品
- 详细信息
- 文献和实验
- 技术资料
- 库存:
840
- 英文名:
Meleumycin
- CAS号:
149370-53-6
- 保质期:
长期
- 供应商:
北京百奥莱博科技有限公司
- 保存条件:
2-8℃
特别声明:本产品及我公司所售其他产品均为科研类试剂产品,严禁用于药物、医疗及其他非科研用途。
北京百奥莱博公司供应包括麦白霉素标准品品牌在内的化学标准品,化学对照品,杂志对照品,HPLC标准品,UV标准品等高品质标准品、对照品
名称:麦白霉素标准品品牌
产地:国产|进口
品牌:百奥莱博
英文名:Meleumycin
编号:BP1567
本品为麦白霉素标准品,供麦白霉素及制剂微生物效价及组分测定用,使用前不需干燥处理。
CAS号:149370-53-6
包装:白色安瓿
规格:约200毫克/支
标准图谱:

色谱柱:菲罗门luna,4.6×250mm,5-μm
储存条件:2-8℃保存
关于麦白霉素标准品品牌的更详细说明,请致电我公司咨询,我们将以最饱满的热情为您提供解答,此外,我公司专业供应下列产品:
·盐*(代"酸")甲*芬酯
编号:BP0638
英文名称:Meclofenoxate Hydrochloride
规格:100mg/支
本品为盐*(代"酸")甲*芬酯化学对照品,供HPLC法含量测定用,以C12H16ClNO3·HCl计,含量为99.73%,使用前不需干燥处理。
CAS号:3685-84-5
分子式:C12H16ClNO3·HCl
分子量:294.18
包装:棕色安瓿瓶
规格:约100毫克/支
储存条件:遮光,充氮气,密封保存
注意事项:临用新制。本品极具引湿性,在相对湿度60%以下使用,建议打开包装一次性使用完。
·盐*(代"酸")酚苄明
编号:BP0179
英文名称:Phenoxybenzamine Hydrochloride
规格:100mg/支
本品为盐*(代"酸")酚苄明的化学对照品,供含量测定用。按 C18H22ClNO·HCl计,供HPLC法测定,含量为99.5%,供UV法测定,含量为99.9%。本品溶液应临用新制。
分子式:C18H22ClNO·HCl
分子量:340.29
CAS号:63-92-3
包装及装量:棕色西林瓶装,每支约100毫克。
储存条件:避光,密封保存。
注意事项:使用前不需干燥处理。
·第三代人激肽释放酶原激活剂(PKA)国家标准品
编号:BP2109
英文名称:3rd National Standard for Prekallikrein Activator,Human
规格:1.0ml/支
本品为第三代人激肽释放酶原激活剂标准品,由人血白蛋白成品分装冻干而成。用于人血液制品中激肽释放酶原激活剂含量测定。每支标准品用1.0ml无菌水复溶后,人激肽释放酶原激活剂含量为30IU/ml,标准品线性范围在1~5IU/ml之间,稀释后双孔平行作标准曲线,标准品与待测样品同时进行检测,根据标准曲线确定待测样品人激肽释放酶原激活剂的含量。
储存条件:-20℃
麦白霉素标准品品牌关键词:Meleumycin,麦白霉素,149370-53-6
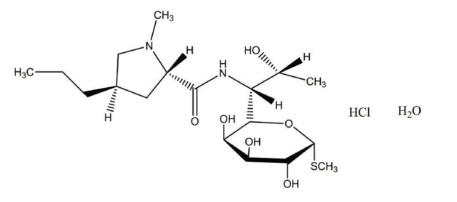
·林可霉素
编号:BP1614
英文名称:Lincomycin
规格:100mg/支
本品为林可霉素化学对照品,供HPLC法含量测定用,以C18H34N2O6S计,含量为85.5%,使用前不需干燥处理。
CAS号:859-18-7
分子式:C18H34N2O6S·HCl·H2O
分子量:461.02
结构式:

包装:安瓿瓶
规格:100mg/支
储存条件:2~10℃密闭遮光保存。
·异龙脑
编号:BP1177
英文名称:(±)-Isoborneol
规格:约20mg/支
本品为异龙脑化学对照品,供含量测定用,含量以96.7%计,使用前不需干燥处理。
CAS号:124-76-5
分子式:C10H18O
分子量:154.25
结构式:

包装:棕色安瓿瓶
规格:约20毫克/支
储存条件:冷处(2~10℃)保存
注意事项:本品具挥发性。
·银杏内酯B
编号:BP1139
英文名称:Ginkgolide B
规格:约20mg/支
本品为银杏内酯B化学对照品,供鉴别和含量测定用,含量以95.6%计,使用前不需干燥处理。
CAS号:15291-77-7
分子式:C20H24O10
分子量:424.40
包装:棕色安瓿
规格:约20mg/支
储存条件:冷冻保存
·甘草酸二铵
编号:BP0768
英文名称:Diammonium Glycyrrhizinate
规格:30mg
本品为甘草酸二铵化学对照品,供TLC法鉴别用。
CAS号:79165-06-3
分子式:C42H68N2O16
分子量:857.01
包装及装量:棕色小瓶装,每支约30毫克。
储存条件:密封,在干燥处保存。
注意事项:使用前不需干燥处理,本品具有引湿性。
麦白霉素标准品品牌关键词:Meleumycin,麦白霉素,149370-53-6
麦白霉素等试剂产品的使用注意事项:
(1)、所有试剂、溶液以及样品的包装上必须要有标签。标签要完整、清晰,表明试剂的名称、规格、质量。
(2)、溶液除了表明品名外,还应表明浓度、配置日期等。万一标签脱落,应照原样贴牢。决定不允许在容器内装入与标签不相符的物品。
(3)、无标签的试剂必须取小样检定后才可使用。不能使用的化学试剂要慎重处理,不能随意乱倒。为了保证试剂不受污染,应当用清洁的牛角勺或不锈钢小勺从试剂瓶中取出试剂,绝不可以用手抓取。若试剂结块,可用洁净的玻璃棒或瓷药铲将其捣碎后取出。
(4)液体试剂可用洗干净的量筒到取,不要用吸管伸入原试剂中吸取液体。从试剂瓶中取出的、没有用完的声誉药品,不可再倒回原瓶。
·对*基水杨酸异烟肼
编号:BP0345
英文名称:Pasiniazid(Isoniazid Aminosalicylate)
规格:100mg
·三棕榈酸甘油酯(甘油三酸酯)
编号:BP1988
英文名称:Glyceryl tripalmitate
规格:25mg/支
本品为三棕榈酸甘油酯(甘油三酸酯)化学对照品,供蛋黄卵磷脂品种甘油三酸酯薄层检查用,以C51H98O6计,含量为99.6%。
CAS号:555-44-2
分子式:C51H98O6
分子量:807.32
结构式:

包装:棕色西林瓶
规格:约25mg
储存条件:-20℃,密封保存。
·地塞米松
编号:BP0103
英文名称:Dexamethasone
规格:100mg/瓶
本品为地塞米松的化学对照品,供HPLC法鉴别和含量测定用。本品105℃干燥2小时后使用,以C22H29FO5计,含量为99.8%。
分子式:C22H29FO5
分子量:392.47
CAS号:50-02-2
包装:棕色西林瓶
规格:约100毫克/支
储存条件:密闭避光保存
注意事项:本品配制成溶液后不稳定,应临用临配,避免长时间室温放置。
·阿折地平
编号:BP0895
英文名称:Azelnidipine
规格:100mg/支
本品为阿折地平化学对照品,供含量测定用。60℃真空干燥3小时后使用,按C33H34N4O6计,供HPLC法测定,含量为99.8%;供UV法测定,含量为99.9%。
分子式:C33H34N4O6
分子量:582.65
包装及装量:棕色西林瓶装,每支约100毫克。
储存条件:遮光,密封保存。
注意事项:60℃真空干燥3小时后使用。
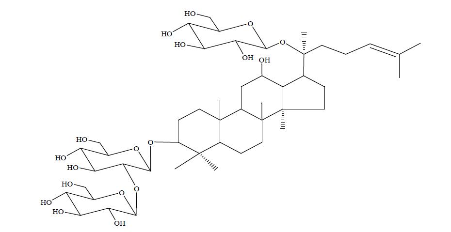
·人参皂苷Rd
编号:BP1387
英文名称:Ginsenoside Rd
规格:约20mg/支
本品为人参皂苷Rd化学对照品,供鉴别和含量测定用,含量以92.1%计,使用前不需干燥处理。
CAS号:52705-93-8
分子式:C48H82O18
分子量:947.15
结构式:

包装:棕色安瓿瓶。
装量:约20mg/支。
储存条件:冷冻保存。
注意事项:本品有引湿性,开封后一次使用完毕。
麦白霉素等科研试剂品质优良,受到广大科研工作者的一致肯定和赞许。质量品牌保证,价格公正,倾力为国内国外生命科学研究人员提供一流的产品。欢迎来电咨询!
我公司所售科研每月均有新品促销,您可对我公司网站时刻进行关注,在促销期间购买您所需产品,价格更优惠。麦白霉素质量保证,品质已经得到广大客户的认可,您可放心,且我公司有专门的售后部门对客户进行全线跟踪,全程免费技术指导。欢迎询价详谈!
我公司正在打折促销标准品对照品全系列产品,恭候您的咨询选购麦白霉素标准品品牌。
风险提示:丁香通仅作为第三方平台,为商家信息发布提供平台空间。用户咨询产品时请注意保护个人信息及财产安全,合理判断,谨慎选购商品,商家和用户对交易行为负责。对于医疗器械类产品,请先查证核实企业经营资质和医疗器械产品注册证情况。
文献和实验全自动生化分析仪以其快速、准确、经济效益好而被广泛使用,在品牌众多的全自动生化分析仪中,多数仪器使用试剂为开放型,从而就出现一台仪器做不同检验项目而使用不同厂家生产的试剂,再加上日常工作中不正确的操作,造成同一患者前后几天内几次相同的检验出现无法解释的检验结果(疾病本身和用药因素除外)。笔者认为只要从以下几个方面加以注意就能保证被测标本的检验质量。 1 正确采集患者血液标本 清晨用真空采血管采集患者血液,空腹12 h以上坐位取静脉血3mL置37℃
模块不匹配造成重复孔间差异 3)使用了质量比较差的耗材 Applied Biosystems™ 系列的荧光定量 PCR 仪器是一个开放的平台,客户可以使用开放的试剂、开放的耗材。但是目前市面上荧光定量 PCR 耗材种类繁多,质量也是良莠不齐,在耗材选择上尽量选择质量、品牌好一点的,切莫因为便宜选用质量很差或不符合要求的耗材,否则会引起一系列问题,引来实验的困扰,造成不必要的时间、精力和试剂、样本的浪费。比如质量不好的耗材可能会引起荧光值不稳定,这会造成反应孔的自动基线扣除错误,得到不准确的 CT 值(图
的。 实验室常用的蛋白标准品多是来自NEB、MBI、GE、Bio-Rad 、Invitrogen、Novagen、Promega、MRESCO、Pierce Bio. 等品牌,生物帮2-D 蛋白 MW Markers产品推荐:Marker for 2D Electrophoresis 、ColorBurst(TM) Electrophoresis Marker 、Myoglobin, Carbamylated 2D Electrophoresis Marker from equine heart
技术资料暂无技术资料 索取技术资料










