相关产品推荐更多 >
万千商家帮你免费找货
0 人在求购买到急需产品
- 详细信息
- 文献和实验
- 技术资料
- 库存:
803
- 英文名:
Ibudilast
- 保质期:
长期
- 供应商:
北京百奥莱博科技有限公司
- 保存条件:
冷藏
特别声明:本产品及我公司所售其他产品均为科研类试剂产品,严禁用于药物、医疗及其他非科研用途。
北京百奥莱博公司供应包括异丁司特标准品销*(代"售")在内的化学标准品,化学对照品,杂志对照品,HPLC标准品,UV标准品等高品质标准品、对照品
名称:异丁司特标准品销*(代"售")
产地:国产|进口
编号:BP0455
品牌:百奥莱博
除异丁司特标准品销*(代"售")外,我公司正在打折促销以下产品:
HC0261 Eppendorf大容量电动移液器
BTN130602 Vent DNA聚合酶 Vent(exo-)DNA Polymerase
SuperReal荧光定量预混试剂彩色版(SYBR Probe)
ARB10511 人白细胞介素27(IL-27)含量分析 Human interleukin 27,IL-27ELISA KIT
丁烷磺酸* Cremophor EL 2386-54-1
天青石蓝苏木素染色液 2×50ml
ARB11307 人促生长激素释放激素(GHRH)含量检测 Human growth hormone releasing hormone,ghrh ELISA KIT
SJ0664 PCR产物纯化试剂盒
胰凝乳蛋白酶(猪) Cyclophosphamide monohydrate 9004-07-3
ARB11215 人细胞角蛋白13(CK-13)Elisa定量检测 Human cytokeRatin 13,ck-13 ELISA KIT
79-06-1 丙*(代"烯")酰胺 Acrylamide
HC0289 Biohit单道可调半支灭菌移液器
ARB10914 人抗凝血酶受体(ATR)ELISA代测服务 Human anti-thrombin receptor,atr ELISA KIT
ARB10330 人内脂素/内脏脂肪素(visfAtin)elisa检测说明书 Human visfatin ELISA KIT
ARB12103 大鼠甘露糖结合蛋白/甘露糖结合凝集素(MBP/MBL)检测服务 Rat mannma binding protein/mannan binding lectin,mbp/mbl ELISA KIT
ARB10855 人抗类风湿关节炎核抗原(RANA)尿液中含量检测 Human rheumatoid arthritis associated nuclear artigen,rana ELISA KIT
异丁司特标准品销*(代"售")关键词:BP0455,Ibudilast,异丁司特
·*磺酸左旋**地平
编号:BP0415
英文名称:Levamlodipine Besylate
规格:100mg/支
本品为*磺酸左旋**地平化学对照品,使用前不需干燥处理,按C20H25ClN2O5·C6H6O3S计,供HPLC法含量测定用,含量为93.2%;供UV法含量测定用,含量为93.4%。
分子式:C20H25ClN2O5·C6H6O3S
结构式:
分子量:567.08
包装:棕色安瓿
规格:约100毫克/支
储存条件:遮光,密封,阴凉
·京尼平苷酸
编号:BP1394
英文名称:Geniposidic acid
规格:约20mg/支
本品为京尼平苷酸化学对照品,供鉴别及含量测定用,含量以97.4%计,使用前不需干燥处理。
CAS号:27741-01-1
分子式:C16H22O10
分子量:374.34
结构式:

包装:棕色安瓿瓶
规格:约20毫克/支
储存条件:冷处(2~10℃)保存
注意事项:本品有引湿性,打开包装后一次使用完毕。
·4-*基-5-*基甲酰基咪唑
编号:BP0494
英文名称:4-Amino-5-imidazolecarboxamide
规格:100mg/支
本品为4-*基-5-*基甲酰基咪唑对照品,供HPLC法系统适用性试验用,使用前不需干燥处理。
CAS号:360-97-4
分子式:C4H6N4O
分子量:126.12
包装及装量:棕色安瓿装,每支约100mg。
储存条件:遮光,密封,在冷处保存。
·鸟苷
编号:BP1509
英文名称:Guanosine
规格:约30mg/支
本品为鸟苷化学对照品,供检查用,含量以93.6%计,使用前不需干燥处理。
CAS号:118-00-3
分子式:C10H13N5O5
分子量:283.24
结构式:

包装:棕色安瓿
规格:约30mg/支
储存条件:常温保存
注意事项:本品有引湿性,打开包装后一次使用完毕。
异丁司特标准品销*(代"售")关键词:BP0455,Ibudilast,异丁司特
异丁司特怎样保存?
一般试剂可保存在玻璃瓶内; 对玻璃有强烈腐蚀作用的试剂,如**酸、*氧化*应保存在聚乙*(代"烯")塑料瓶内; 易被空气氧化、分化、潮解的试剂应密封保存;易感光分解的试剂应用有色玻璃瓶贮存并藏于暗处; 易受热分解及低沸点溶剂,应存于冷处; 剧毒试剂应存于保险箱; 有放射性的试剂应存于铅罐中。如果化学试剂保管不当,就会失效变质,影响实验的效果,并造成物质的浪费,甚至有时还会发生事故。因此,科学地保管好试剂对于保证实验顺利进行,获得 可靠的实验数据具有非常重要的意义。
·甲*醌
编号:BP0027
英文名称:Menadione
规格:100mg
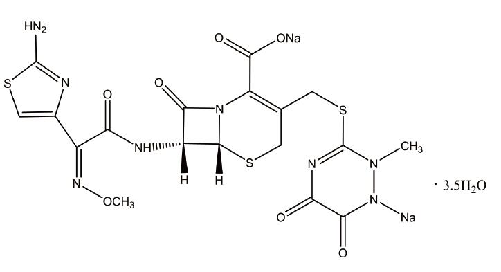
·头孢曲松
编号:BP1633
英文名称:Ceftriaxone
规格:200mg/支
本品为头孢曲松化学对照品,供高效液相法含量测定用,以头孢曲松(C18H16N8Na2O7S3)计,含量为83.9%,使用前不需要干燥处理。
CAS号:74578-69-1
分子式:C18H16N8Na2O7S3·3.5H2O
分子量:661.59
结构式:

包装:安瓿
规格:约200mg/支
储存条件:2-8℃保存
注意事项:本品建议打开
·醋酸去氧皮质酮
编号:BP0185
英文名称:Desoxycortone Acetate
规格:30mg
本品为头孢曲松化学对照品,供高效液相法含量测定用,以头孢曲松(C18H16N8Na2O7S3)计,含量为83.9%,使用前不需要干燥处理。
CAS号:74578-69-1
分子式:C18H16N8Na2O7S3·3.5H2O
分子量:661.59
结构式:

包装:安瓿
规格:约200mg/支
储存条件:2-8℃保存
注意事项:本品建议打开
·丹参酮IIA磺酸*
编号:BP1235
英文名称:Sulfotanshinone Sodium
规格:20mg/支
本品为丹参酮IIA磺酸*化学对照品,供薄层鉴别用。
分子式:C19H17NaO6S
分子量:396
包装及装量:棕色瓶,每支约20毫克。
储存条件:常温密闭保存。
注意事项:使用前无需处理。
·缩宫素
编号:BP1936
英文名称:Sulfotanshinone Sodium
规格:21IU/支
本品为缩宫素化学生物标准品,供缩宫素的生物效价和鉴别用,不能供临床使用。系人工合成的含有二硫键的9 个*基酸组成的多肽化合物冻干制品。化学结构序列为H-CYS-TYR-ILE-GLN-ASN-CYS-PRO-LEU-GLY-NH2。
效价:每支含合成缩宫素21IU,不能称量使用,每次用合适的溶剂一次性将内容物定量溶解使用。
储存条件:4℃以下保存
标准溶液的配制:
1.鉴别用(HPLC法):取本品一支或几支,加0.9%的*化*溶液配制成 5-10 IU/ml 的溶液
我公司始终坚持“创新,品质,服务,节约,敬业,感恩”的理念。吸收新创意,严把质量关口,全方位的服务跟踪,坚持做出高品质产品。本着“追求、员工、技术、精神、利益”的宗旨。现拥有一批精干的管理人员和一支高素质的专业技术队伍。我们以质量为生命、时间为信誉、价格为竞争力的经营信念,立足于国内外市场。目前已在全国各大院系,和研究单位均有销*(代"售"),也得到了客户的认可。百奥莱博生产的异丁司特等试剂进入飞速发展期,为了更好的服务客户,公司长期储备海量库存,以此助推中国科技的快速发展,更好的造福人类!
我公司倾力为客户提供最优 、最全、最有效的异丁司特等科研试剂产品,质量被全国各大院校科研机构认可。 同时,我们售前,售中,售后全程为您服务。欢迎来电咨询!
北京百莱博科技有限公司专业生产供应销*(代"售")生物试剂、化学试剂、抗原抗体、血清血浆、Elisa试剂盒,更多试剂产品需求,欢迎来电咨询选购异丁司特标准品销*(代"售")。
风险提示:丁香通仅作为第三方平台,为商家信息发布提供平台空间。用户咨询产品时请注意保护个人信息及财产安全,合理判断,谨慎选购商品,商家和用户对交易行为负责。对于医疗器械类产品,请先查证核实企业经营资质和医疗器械产品注册证情况。
文献和实验大家都知道胆红素检验结果之间的可比性比较差,查了一下资料大体是由下面两方面原因造成的: 标准品问题:胆红素本身不稳定,不易保存,特别是直接胆红素制备困难;由于国内目前没有统一的标准品供应,造成胆红素标准品的标准化问题得不到解决;目前市场上销售的胆红素标准品多为各种胆红素的混合物(或异构体),不适于作为直接胆红素测定的标准物。 直接胆红素测定方法学上的概念模糊:一方面,近来胆红素测定的方法主要有两类,即重氮法和氧化法。据文献报道,重氮法检测了结合胆红素(Bc
: 主要存在两方面的问题: 1)标准品问题:胆红素本身不稳定,不易保存,特别是直接胆红素制备困难;由于国内目前没有统一的标准品供应,造成胆红素标准品的标准化问题得不到解决;目前市场上销售的胆红素标准品多为各种胆红素的混合物(或异构体),不适于作为直接胆红素测定的标准物。 2)直接胆红素测定方法学上的概念模糊:一方面,近来胆红素测定的方法主要有两类,即重氮法和氧化法。据文献报道,重氮法检测了结合胆红素和大部分的δ胆红素,而氧化法检测了结合胆红素,是否包括δ胆红素还是个未知数,尚无
值的变化对检测结果产生很大的影响。 问 为什么临床检验结果之间的可比性较差? 答 主要存在两方面的问题: 标准品问题:胆红素本身不稳定,不易保存,特别是直接胆红素制备困难;由于国内目前没有统一的标准品供应,造成胆红素标准品的标准化问题得不到解决;目前市场上销售的胆红素标准品多为各种胆红素的混合物(或异构体),不适于作为直接胆红素测定的标准物。 直接胆红素测定方法学上的概念模糊:一方面,近来胆红素测定的方法主要有两类,即重氮法和氧
技术资料暂无技术资料 索取技术资料










