相关产品推荐更多 >
万千商家帮你免费找货
0 人在求购买到急需产品
- 详细信息
- 技术资料
- 库存:
446
- 英文名:
chromogenic substrate S-2238
- CAS号:
113711-77-6
- 保质期:
长期
- 供应商:
北京百奥莱博科技有限公司
- 保存条件:
4℃
特别声明:本产品及我公司所售其他产品均为科研类试剂产品,严禁用于药物、医疗及其他非科研用途。
发色底物S-2238对照品现货的品牌:百奥莱博,是优质的标准品对照品产品,用于生化研究,本产品质量好,且极具价格优势,深为用户称道,了解更多发色底物S-2238等标准品对照品产品请联*(代"系")我司咨询订购。
名称:发色底物S-2238对照品现货
规格:约18.8mg/瓶
英文名:chromogenic substrate S-2238
品牌:百奥莱博
编号:BP1919
产地:国产|进口
本品为发色底物S-2238标准试剂,供肝素、低分子肝素抗IIa因子效价测定使用
CAS号:113711-77-6
分子式:C27H38N8O5Cl2
分子量:625.6
包装:透明玻璃瓶
规格:约18.8mg/瓶(约30μmol/瓶)
储存条件:4℃,避光
我公司的发色底物S-2238对照品现货,性价比高,货期短,送货上门,欢迎您来电咨询购买,另外,我公司还生产供应销*(代"售")下列产品:
·苦参碱
编号:BP1094
英文名称:Matrine
规格:20mg
本品为苦参碱化学对照品,供含量测定用。
分子式:C15H24N2O
分子量:248.36
包装及装量:棕色安瓿瓶。
储存条件:本品极易吸潮,应干燥密闭保存。
注意事项:置五氧化二磷减压干燥器中干燥12 小时以上使用。
·游离前列腺特异抗原(fPSA)
编号:BP1943
英文名称:Free Prostate Specific Antigen (f-PSA)
规格:170ng/支
本品为游离前列腺特异性抗原免疫测定用标准品,以提取人PSA为原料制备,供fPSA定量标记免疫分析使用,适用于化学发光、时间分辨免疫荧光等方法。
性状:白色冻干粉末
包装:白色安瓿瓶
规格:每支安瓿内含牛血清白蛋白5 mg,甘露醇30 mg,磷酸盐微量,本品为冻干品。
特性量值:溯源至fPSA国际标准品(NIBSC 96/668),经协作标定,每支安瓿内 fPSA免疫活性为170 ng。
使用方法和要求:使用时应先用 500μl 去离子水将内容物完全复溶,再选择适当的稀
·肾上腺素
编号:BP0125
英文名称:Epinephrine
规格:100mg/支
本品为游离前列腺特异性抗原免疫测定用标准品,以提取人PSA为原料制备,供fPSA定量标记免疫分析使用,适用于化学发光、时间分辨免疫荧光等方法。
性状:白色冻干粉末
包装:白色安瓿瓶
规格:每支安瓿内含牛血清白蛋白5 mg,甘露醇30 mg,磷酸盐微量,本品为冻干品。
特性量值:溯源至fPSA国际标准品(NIBSC 96/668),经协作标定,每支安瓿内 fPSA免疫活性为170 ng。
使用方法和要求:使用时应先用 500μl 去离子水将内容物完全复溶,再选择适当的稀
·豪莫西地那非
编号:BP2193
英文名称:Homosildenafil
规格:30mg/支
本品为豪莫西地那非化学对照品,供HPLC法检查用,以C23H32N6O4S计,含量为99.6%,使用前不需干燥处理。
CAS号:642928-07-2
分子式:C23H32N6O4S
分子量:488.60
结构式:

包装及装量:棕色V形西林瓶装,每支约30毫克。
储存条件:遮光
发色底物S-2238对照品现货关键词:chromogenic substrate S-2238,发色底物S-2238,113711-77-6
·人参皂苷Re
编号:BP1051
英文名称:Ginsenoside Re
规格:约20mg/支
本品为人参皂苷Re化学对照品,供鉴别和含量测定用,含量97.4%,使用前不需干燥处理。
CAS号:52286-59-6
分子式:C48H82O18
分子量:947.15
结构式:

包装:棕色安瓿瓶。
规格:约20mg/支。
储存条件:冷冻保存。注意事项:本品有引湿性,开封后一次使用完毕。
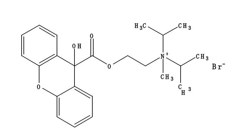
·9-羟基*丙胺太林
编号:BP2135
英文名称:9-Hydroxypropantheline Bromide
规格:50mg/支
本品为9-羟基*丙胺太林化学对照品,供HPLC法检查用,使用前不需干燥处理,按C23H30BrNO4计,含量为98.5%。
CAS号:93446-02-7
分子式:C23H30BrNO4
分子量:464.39
结构式:

包装:棕色西林瓶装
装量:每支约50mg。
储存条件:遮光,密封保存。
·百秋李醇
编号:BP1068
英文名称:Patchouli alcohol
规格:约30mg/支
本品为百秋李醇化学对照品,供鉴别或含量测定用,使用前不需干燥处理。含量以99.8%计。
CAS号:5986-55-0
分子式:C15H26O
分子量:222
结构式:

包装:棕色瓶
规格:约30毫克/支
储存条件:冷处(2~10℃)保存
注意事项:本品具挥发性。
发色底物S-2238对照品现货关键词:chromogenic substrate S-2238,发色底物S-2238,113711-77-6
我公司是一家专注于生命科学和生物技术领域的高科技企业,专业提供生物学试剂、免疫学试剂、生物化学试剂、发色底物S-2238以及其他常用实验室用品以及分子生物学、免疫学、生命科学基础研究诸多领域的生物技术服务。我们秉承着“质量第一,客户至上”的原则,用热情、认真、主动、周到的服务实践着公司的承诺,进而使公司逐步成长为国内具有影响力的生物产品供货商。目前公司客户遍及各大医院、科研机构、大专院校、制药单位、医学检验单位、卫生防疫、生物技术公司、食品单位等诸多领域。于此同时公司严格的管理制度,使百奥莱博形成了独特的市场优势:产品种类齐全、包装规格完善、价格合理、质量保证、信息反馈及时、售后服务周到。
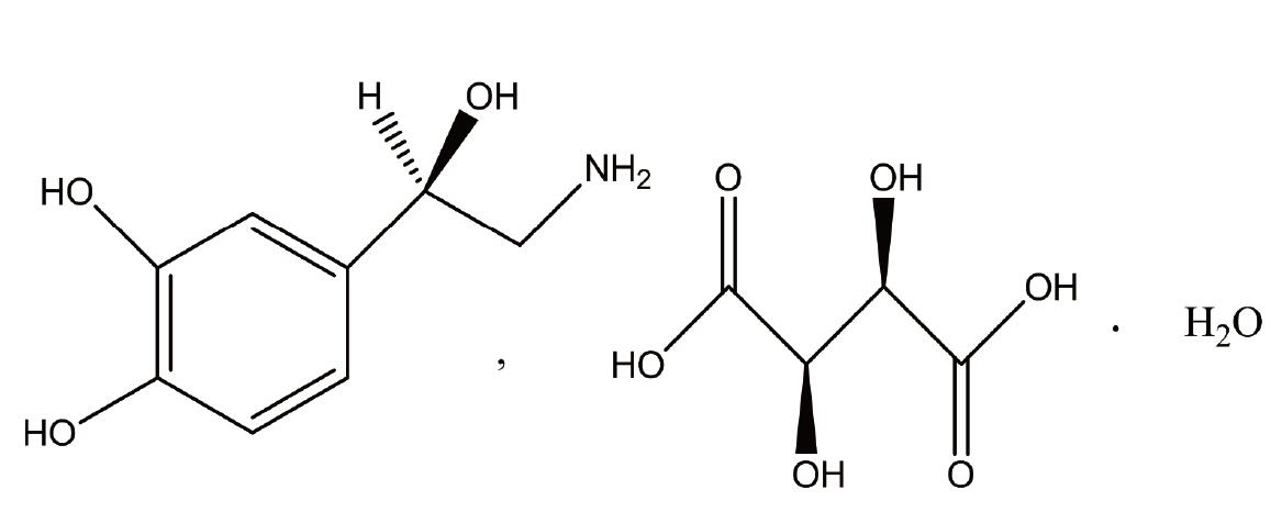
·重酒石酸去甲肾上腺素
编号:BP0136
英文名称:Norepinephrine Bitartrate
规格:100mg/支
本品为重酒石酸去甲肾上腺素的化学对照品,供HPLC法测定用,按C8H11NO3·C4H6O8·H2O计,含量为94.3%,使用前不需干燥处理。
分子式:C8H11NO3·C4H6O8·H2O
结构式:

分子量:337.28
CAS号:69815-49-2
包装:棕色安瓿瓶
规格:约100毫克/支
储存条件:遮光,充氮气,密封保存。
·紫丁香苷
编号:BP1216
英文名称:Syringin
规格:20mg/支
本品为紫丁香苷化学对照品,供鉴别或含量测定用,含量以95.2%计,使用前不需干燥处理。
CAS号:118-34-3
分子式:C17H24O9
分子量:372.14
结构式:

包装:棕色安瓿瓶
装量:约20mg/支
储存条件:冷处(2-10℃)保存
·肝素标准品
编号:BP1910
英文名称:heparin
规格:约10mg/支
本品为肝素标准品,供肝素*、肝素*效价测定使用。本品效价为2011IU/支,使用时将安瓿放置至室温,开启安瓿,注意保证所有的冻干物处于安瓿底部,加入1.0ml双蒸水使其复溶。
CAS号:9041-08-1
包装:白色安瓿
规格:约10mg/支
储存条件:避光,-20℃以下保存
·甲磺酸加贝酯
编号:BP0723
英文名称:Gabexate Mesylate (Mesilate)
规格:100mg
本品为肝素标准品,供肝素*、肝素*效价测定使用。本品效价为2011IU/支,使用时将安瓿放置至室温,开启安瓿,注意保证所有的冻干物处于安瓿底部,加入1.0ml双蒸水使其复溶。
CAS号:9041-08-1
包装:白色安瓿
规格:约10mg/支
储存条件:避光,-20℃以下保存
·草酸
编号:BP0794
英文名称:Oxalic acid
规格:100mg/支
本品为草酸化学对照品,供HPLC法测定。
CAS号:144-62-7
分子式:C2H2O4
分子量:90.03
包装及装量:棕色小瓶装,每支约100毫克。
储存条件:遮光保存。
注意事项:使用前无需处理,本品极具引湿性,建议打开包装后一次性使用完毕。
生物化工学科起始于第二次世界大战时期,以抗生素的深层发酵和大规模生产技术的研究为标志。20世纪60年代末至80年代中期,转基因技术、生物催化与转比技术、动植物细胞培养技术、新型生物反应器和新型生物分离技术等开发和研究的成功,使本学科进入了新的发展时期,学科体系逐步完善。20世纪后期,随着以基因工程为代表的高新技术的迅速崛起,为本学科的进一步发展开辟了新领域,无数前人的工作和我公司的不懈奋斗。造就了高品质的发色底物S-2238。
我公司以高效的产品质量,完善的销*(代"售")体系、快速、安全的产品渠道,优质的客户服务,以诚信的态度,真诚的对待客户、合作伙伴以及各位同仁,欢迎来电咨询发色底物S-2238!
我公司生产供应销*(代"售")的标准品对照品产品正全系列现货促销,满分期待您的垂询选购发色底物S-2238对照品现货。
风险提示:丁香通仅作为第三方平台,为商家信息发布提供平台空间。用户咨询产品时请注意保护个人信息及财产安全,合理判断,谨慎选购商品,商家和用户对交易行为负责。对于医疗器械类产品,请先查证核实企业经营资质和医疗器械产品注册证情况。
技术资料暂无技术资料 索取技术资料










