万千商家帮你免费找货
0 人在求购买到急需产品
- 详细信息
- 文献和实验
- 技术资料
- 库存:
214
- 英文名:
National Standard Material of Prostatespecific antigen (PSA) for Immunoassay
- 保质期:
长期
- 供应商:
北京百奥莱博科技有限公司
特别声明:本产品及我公司所售其他产品均为科研类试剂产品,严禁用于药物、医疗及其他非科研用途。
北京百奥莱博公司供应包括北京前列腺特异性抗原(PSA)国家标准物质标准品价格在内的化学标准品,化学对照品,杂志对照品,HPLC标准品,UV标准品等高品质标准品、对照品
名称:北京前列腺特异性抗原(PSA)国家标准物质标准品价格
品牌:百奥莱博
规格:每支含tPSA为95ng;fPSA为1.5ng
英文名:National Standard Material of Prostatespecific antigen (PSA) for Immunoassay
产地:国产|进口
本品为前列腺特异性抗原免疫测定用标准品,以PSA-ACT为原料制备,供总前列腺特异性抗原免疫分析使用,适用于化学发光、时间分辨免疫荧光等方法。
性状:白色冻干粉末
包装:白色安瓿瓶
规格:每支安瓿内含赋形剂有牛血清白蛋白(BSA)5mg,磷酸盐微量,本品为冻干品。
特性量值:经协作标定,每支安瓿内含tPSA为95ng;fPSA为1.5ng。
使用方法和要求:
使用时应先用 500μl 去离子水将内容物完全复溶,再选择适当的稀释液配制成所需浓度。稀释液建议使用时以
欲咨询购买北京前列腺特异性抗原(PSA)国家标准物质标准品价格,请致电北京百奥莱博科技有限公司,为您提供最全面周到的产品服务,除此之外,我公司正在促销以下产品:
醛固酮 Glycyl-L-glutamine 52-39-1
BL0804 山羊IgG抗原干粉(原装)
59865-13-3 CYCLOSPORIN A 环孢霉素A
葡萄糖-6-磷酸脱*酶(G6PD)检测试剂盒(简易比色法) 100T
ARB12185 大鼠白细胞介素23(IL-23)血清中含量检测 Rat interleukin23,IL-23 ELISA KIT
F040302 人IgG抗原 Human IgG
PY08-049 GVPC琼脂 9CM 10皿/盒,用于选择性分离培养军团菌
1390-65-4 洋红 Carmine
卢戈液 Zinc citrate
9001-42-7 α-葡萄糖苷酶 α-Glucosidase
108321-42-2 G-418 遗传霉素
ARB13473 鸡补体3裂解产物(C3SP)ELISA检测服务 Chicken complement 3 split product,c3sp ELISA KIT
钨酸铵 4-Hydroxypyridine 11120-25-5
ARB10808 人抗甲型肝炎病毒IgM抗体(Anti-HAV)检测服务 Human anti-hepatitis a virus igM antibody,anti-hav ELISA KIT
JM110化学感受态细胞 20×100ul
BL1217 饱和油红O染色液
葡聚糖凝胶G-15 4-Chlorophenoxyacetic acid sodiu*(代"m") salt 11081-40-6
Tris-EDTA缓冲液(10×TE,pH7.4) 500ml
ARB14254 猪细胞色素P450(CYP450)elisa检测操作说明书
2′-脱氧胞苷 TMB 951-77-9
ARB12544 大鼠胰岛素样生长因子结合蛋白2(IGFBP-2)定量分析 Rat insulin-like growth factor binding protein 2,igfbp-2 ELISA KIT
北京前列腺特异性抗原(PSA)国家标准物质标准品价格关键词:BP1942,前列腺特异性抗原,PSA,前列腺特异性抗原(PSA)国家标准物质,National Standard Material of Prostatespecific ant
ARB14183 猪卵泡抑素(FS)血清中含量检测
ATPase染色液(*钴法) 5×50ml
PY02-133 胆盐乳糖培养基(BL) 250克
57-48-7 D-Fructose D-果糖
121-21-3 十二烷基硫*(代"酸")* SDS
肌酸激酶(CK)检测试剂盒(连续监测法) 50T
BTN131050 去垢剂去除树脂 Detergent Erasol Resin
L0204 小鼠IgG3类单克隆抗体腹水纯化试剂盒
盐*(代"酸")胍 Diphenyl sulfone 50-01-1
PY08-065 0.1%蛋白胨水 225ml 20瓶/箱,用于样品的稀释液
F030213 HRP标记兔抗小鼠IgG抗体 Rabbit Anti-Mouse IgG*HRP
BTN130566 α-Actin小鼠单抗 α-Actin Mouse Mab
ARB11786 人叠氮胸苷(AZT)尿液中含量检测 Human azidothymidine,azt ELISA KIT
HC0287 Proline系列半支灭菌
巴比*(代"妥")*缓冲液 离子强度0.05|0.06|0.07 100ml
F030510 FITC标记羊抗乙肝表面抗原抗体 Polyclonal Goat Anti-HBsAg*FITC
133-32-4 Indole-3-butyricacid(IBA)吲哚-4-丁酸(水溶)
北京前列腺特异性抗原(PSA)国家标准物质标准品价格关键词:BP1942,前列腺特异性抗原,PSA,前列腺特异性抗原(PSA)国家标准物质,National Standard Material of Prostatespecific ant
我公司向您保证所售前列腺特异性抗原(PSA)国家标准物质等产品均为正品,并开具正规机打增值税普通发票,请您放心订购!
·紫丁香苷
编号:BP1216
英文名称:Syringin
规格:20mg/支
本品为紫丁香苷化学对照品,供鉴别或含量测定用,含量以95.2%计,使用前不需干燥处理。
CAS号:118-34-3
分子式:C17H24O9
分子量:372.14
结构式:

包装:棕色安瓿瓶
装量:约20mg/支
储存条件:冷处(2-10℃)保存
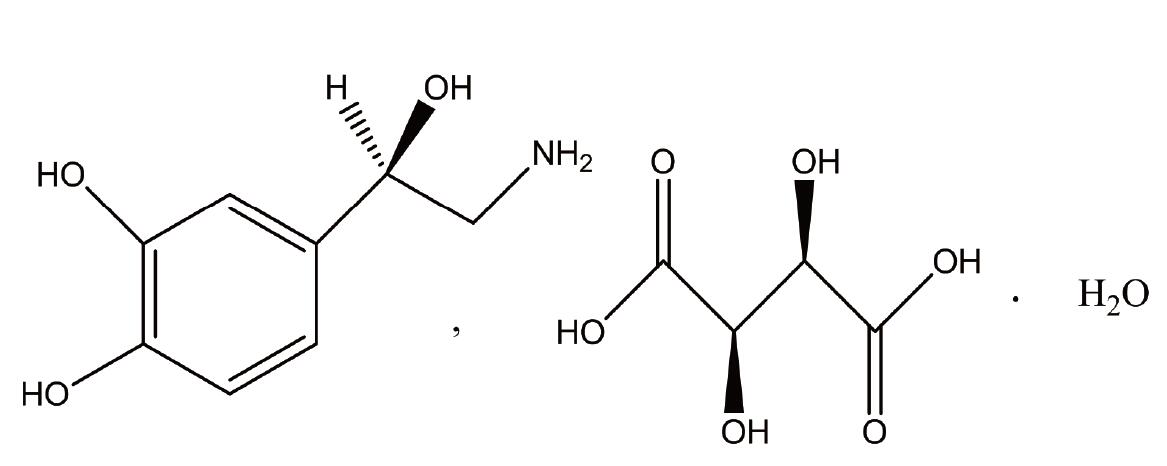
·重酒石酸去甲肾上腺素
编号:BP0136
英文名称:Norepinephrine Bitartrate
规格:100mg/支
本品为重酒石酸去甲肾上腺素的化学对照品,供HPLC法测定用,按C8H11NO3·C4H6O8·H2O计,含量为94.3%,使用前不需干燥处理。
分子式:C8H11NO3·C4H6O8·H2O
结构式:

分子量:337.28
CAS号:69815-49-2
包装:棕色安瓿瓶
规格:约100毫克/支
储存条件:遮光,充氮气,密封保存。
前列腺特异性抗原(PSA)国家标准物质特价促销,价格合理,售后服务完善,确属质量问题可包换包退,免除您的后顾之忧。工作时间内可免费技术咨询和指导,我们将竭尽我们的全力为您服务,争取包您100%满意,欢迎新老客户来电订购!
我公司是一家生物高新技术企业,主要从事免疫学、分子生物学和常规生化试剂的研发、销*(代"售")。并代理销*(代"售")Omega、Sigma、R&D、GBD、ATCC、HYCLONE等二十多家国外知名品牌,致力于为广大高校、科研院所和企事业单位提供一流的科研试剂和完善的技术服务,满足生物化学、分子生物学 、前列腺特异性抗原(PSA)国家标准物质、细胞生物学、免疫学 ELISA试剂盒等生物科技实验需求。
北京百莱博科技有限公司专业生产供应销*(代"售")生物试剂、化学试剂、抗原抗体、血清血浆、Elisa试剂盒,更多试剂产品需求,欢迎来电咨询选购北京前列腺特异性抗原(PSA)国家标准物质标准品价格。
风险提示:丁香通仅作为第三方平台,为商家信息发布提供平台空间。用户咨询产品时请注意保护个人信息及财产安全,合理判断,谨慎选购商品,商家和用户对交易行为负责。对于医疗器械类产品,请先查证核实企业经营资质和医疗器械产品注册证情况。
文献和实验人前列腺特异性抗原(PSA ) 酶联免疫分析(ELISA ) 试剂盒使用说明书 本试剂仅供研究使用 目的:本试剂盒用于测定人血清,血浆及相关液体样本中前列腺特异性抗原(PSA )的 含量。 实验原理: 本试剂盒应用双抗体夹心法测定标本中人 前列腺特异性抗原(PSA ) 水平。用纯化的人 前列腺特异性抗原(PSA ) 抗体包被微孔板,制成固相抗体,往包被单抗的微孔中依次加入 前列腺特异性抗原(PSA ) ,再与 HRP
上海西唐生物科技有限公司 021-55229872, 65333639 www.westang.com 猪前列腺特异性抗原 ( PSA )ELISA 试剂盒 ( 用于血清、血浆、细胞培养上清液和其它生物体液内 ) 原理 本实验采用双抗体夹心 ABC-ELISA 法。用抗猪 FGF-basic 单抗包被于酶标板上,标准品和样品中的 FGF-basic与单抗结合,加入
上海西唐生物科技有限公司 021-55229872, 65333639 www.westang.com 小鼠前列腺特异性抗原 ( PSA )ELISA 试剂盒 ( 用于血清、血浆、细胞培养上清液和其它生物体液内 ) 原理 本实验采用双抗体夹心 ABC-ELISA 法。用抗小鼠 PSA 单抗包被于酶标板上,标准品和样品中的 PSA与单抗结合,加入生物素化的抗小鼠
技术资料暂无技术资料 索取技术资料










