万千商家帮你免费找货
0 人在求购买到急需产品
- 详细信息
- 技术资料
- 库存:
800
- 英文名:
Spectinomycin
- CAS号:
22189-32-8
- 保质期:
长期
- 供应商:
北京百奥莱博科技有限公司
- 保存条件:
置2-8℃
特别声明:本产品及我公司所售其他产品均为科研类试剂产品,严禁用于药物、医疗及其他非科研用途。
北京百奥莱博公司供应包括大观霉素对照品哪里买在内的化学标准品,化学对照品,杂志对照品,HPLC标准品,UV标准品等高品质标准品、对照品
名称:大观霉素对照品哪里买
产地:国产|进口
品牌:百奥莱博
英文名:Spectinomycin
规格:100mg
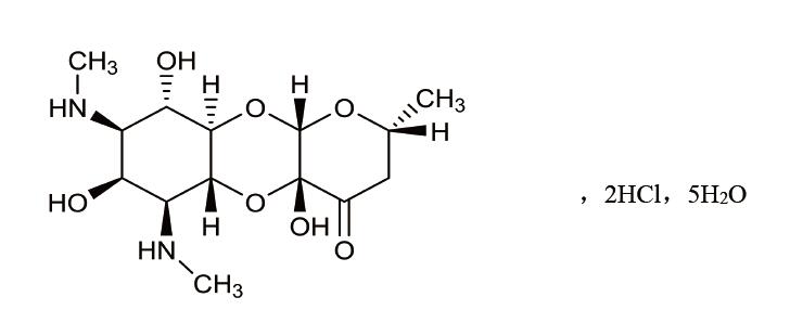
本品为大观霉素化学对照品,供HPLC法含量测定用,以大观霉素(C14H24N2O7)计,含量为64.0%。
CAS号:22189-32-8
分子式:C14H24N2O7·2HCl·5H2O
分子量:495.35
结构式:

包装:白色安瓿
规格:约100mg/支
储存条件:置2-8℃低温遮光保存。
关于大观霉素对照品哪里买的更详细说明,请致电我公司咨询,我们将以最饱满的热情为您提供解答,此外,我公司专业供应下列产品:
·阿米卡星杂质A
编号:BP1691
英文名称:Amikacin Impurity A
规格:50mg
本品为阿米卡星杂质A化学对照品,供阿米卡星及硫*(代"酸")阿米卡星品种HPLC系统适用性用。
分子式:C22H43N5O13
分子量:585
结构式:

包装及装量:直口瓶;约50mg/支
储存条件:置4℃以下条件避光保存。
·D-焦谷*酸
编号:BP0603
英文名称:D-Pyroglutamic Aicd
规格:50mg/支
本品为D-焦谷*酸化学对照品,供HPLC检查用,以C19H25N3O6S计,含量为99.7%,使用前不需干燥处理。
CAS号:4042-36-8
分子式:C19H25N3O6S
分子量:129.11
包装:棕色西林瓶装
规格:约50毫克/支。
储存条件:遮光,密封保存。
·碘塞罗宁
编号:BP2128
英文名称:Liothyronine
规格:50mg/瓶
本品为碘塞罗宁化学对照品,供HPLC法鉴别和含量测定用。以C15H12I3NO4计,含量为99.2%,使用前不需干燥处理。
CAS号:5817-39-0
分子式:C15H12I3NO4
分子量:650.97
结构式:

包装:棕色安瓿瓶
规格:约50毫克/支
储存条件:密闭避光-20℃下保存
大观霉素对照品哪里买关键词:22189-32-8,Spectinomycin,大观霉素
·醋酸可的松
编号:BP0097
英文名称:Cortisone Acetate
规格:100mg
本品为醋酸可的松的化学对照品,供含量测定及HPLC法鉴别用。本品不需干燥处理,以C23H30O6计,含量为99.1%。
分子式:C23H30O6
分子量:402.49
CAS号:502-04-4
包装及装量:棕色西林瓶,每支约100毫克。
储存条件:常温遮光,密闭保存。
·染料木苷
编号:BP1308
英文名称:Genistin
规格:约20mg/支
本品为染料木苷化学对照品,鉴别或含量测定用,含量以99.9%计,置五氧化二磷干燥器中减压干燥12小时后使用。
CAS号:529-59-9
分子式:C21H20O10
分子量:432.38
结构式:

包装:棕色瓶
规格:约20mg/支
储存条件:冷处(2~10℃)保存
注意事项:本品有引湿性,建议打开包装一次性使用完。
·3-奎宁醇
编号:BP0705
英文名称:3-quinuclidinol
规格:50mg/支
本品为化学对照品,供供TLC检查,含量为100%。
CAS号:1619-34-7
分子式:C7H13NO
分子量:127.18
包装及装量:棕色小瓶装,每支约50毫克。
储存条件:遮光,密封保存。
注意事项:使用前不需干燥处理。
·瑞格列奈
编号:BP0579
英文名称:Repaglinide
规格:100mg/支
本品为瑞格列奈化学对照品,供含量测定用。105℃干燥2小时后使用。供HPLC法测定,按C27H36N2O4计,含量为99.8%。
CAS号:135062-02-1
分子式:C27H36N2O4
分子量:452.59
包装及装量:棕色西林瓶,每支约100毫克。
储存条件:遮光,密封保存。
大观霉素对照品哪里买关键词:22189-32-8,Spectinomycin,大观霉素
我公司拥有专业生化试剂实验和销*(代"售")经验,为专业的您提供专业的服务。种类丰富,*基酸类、酶类、维生素类、大观霉素、缓冲剂类、色素类、植物激素及核酸类、碳水化合物类、抗生素类均有销*(代"售")。品牌代理,质量保障,其产品涉及生命科学的所有领域,包括生化试剂,抗体,ELISA试剂盒等等。
·亮菌甲素
编号:BP0789
英文名称:Armillarisin A
规格:100mg
本品为亮菌甲素化学对照品,供TLC鉴别用定。
CAS号:55696-74-5
分子式:C12H10O5
分子量:234.21
包装及装量:棕色小瓶装,每支约100毫克。
储存条件:遮光,在干燥阴凉处密封保存。
注意事项:使用前无需处理。
·盐*(代"酸")雷尼替丁
编号:BP0131
英文名称:Ranitidine Hydrochloride
规格:100mg/支
本品为盐*(代"酸")雷尼替丁的化学对照品,供HPLC法含量测定用,按C13H22N4O3S·HCl计,含量为99.9%,使用前不需干燥处理。
分子式:C13H22N4O3S·HCl
结构式:

分子量:350.87
CAS号:66357-59-3
包装:棕色安瓿瓶。
规格:100毫克/支。
储存条件:遮光,密封保存。
·阿德福韦酯杂质(阿德福韦)
编号:BP0966
英文名称:Adefovir Dipivoxil Impurity (Adefovir)
规格:50mg/支
本品为阿德福韦酯杂质化学对照品,供检查用,使用前不需干燥处理。供HPLC法检查,以C8H12N5O4P计,含量为100%。
CAS号:106941-25-7
分子式:C8H12N5O4P
分子量:273.19
规格:约50mg/支
储存条件:遮光,密闭,2~8℃保存
大观霉素等产品报价含税含运费,全程免费技术支持。我公司产品种类齐全,提供订制包装,免费快递送货上门,质量保证,欢迎来电购买!
我公司生产的大观霉素纯度高价格低,质量有保证,客户更放心。我们为科研用户提供上千种生物试剂现货及sigma全线产品原装期货,货期短,价格低,质量好。用我们100%的真诚、热情换取您100%的信任与支持!
我公司正在打折促销标准品对照品全系列产品,恭候您的咨询选购大观霉素对照品哪里买。
风险提示:丁香通仅作为第三方平台,为商家信息发布提供平台空间。用户咨询产品时请注意保护个人信息及财产安全,合理判断,谨慎选购商品,商家和用户对交易行为负责。对于医疗器械类产品,请先查证核实企业经营资质和医疗器械产品注册证情况。
技术资料暂无技术资料 索取技术资料










