相关产品推荐更多 >
万千商家帮你免费找货
0 人在求购买到急需产品
- 详细信息
- 文献和实验
- 技术资料
- 库存:
208
- 英文名:
20(S)-Ginsenoside F2
- CAS号:
62025-49-4
- 保质期:
长期
- 供应商:
北京百奥莱博科技有限公司
特别声明:本产品及我公司所售其他产品均为科研类试剂产品,严禁用于药物、医疗及其他非科研用途。
20(S)-人参皂苷F2对照品多少钱的品牌:百奥莱博,是优质的标准品对照品产品,用于科研实验,本产品质量好,且极具价格优势,深为用户称道,了解更多20(S)-人参皂苷F2等标准品对照品产品请联*(代"系")我司咨询订购。
名称:20(S)-人参皂苷F2对照品多少钱
规格:约20mg/支
英文名:20(S)-Ginsenoside F2
品牌:百奥莱博
编号:BP1346
产地:国产|进口
本品为20(S)-人参皂苷F2化学对照品,供鉴别和含量测定用,含量以94.8%计,使用前不需干燥处理。
CAS号:62025-49-4
分子式:C42H72O13
分子量:785.01
结构式:

包装:棕色安瓿瓶
规格:约20mg/支
储存条件:冷冻保存
注意事项:本品有引湿性,开封后一次使用完毕。
想要了解更多关于20(S)-人参皂苷F2对照品多少钱的价格、品牌、厂家、说明书、促销信息,请和我们联*(代"系")。此外我公司还销*(代"售")下面的产品:
·乙基纤维素
编号:BP2056
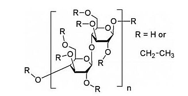
英文名称:Ethylcellulose
规格:200mg/瓶
本品为乙基纤维素化学对照品,仅供乙基纤维素和乙基纤维素水分散体(B型)中红外鉴别和含量测定用,使用前不需干燥处理,含量为97.9%。
CAS号:9004-57-3
分子式:R2O[C12H14O3(OR)6]n , R为C2H5或H
结构式:

包装:棕色安瓿
规格:约200mg/瓶
储存条件:遮光、常温保存。
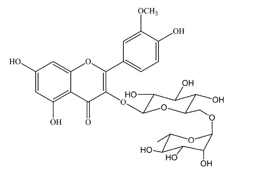
·女贞苷
编号:BP1458
英文名称:Ligustroflavone
规格:10mg/支
本品为女贞苷化学对照品,供鉴别及含量测定用,含量以88.6%计。
分子式:C33H40O18
分子量:724.2
包装及装量:棕色安瓿瓶。
储存条件:干燥避光保存。
注意事项:使用前无需处理,本品有引湿性,打开包装后一次使用完毕。
·喹那普利杂质Ⅰ
编号:BP0435
英文名称:Quinapril Impurity Ⅰ Ethyl[3S-[2(R*),3a,11aβ]]-1,3,4,6,11,11a-hexahydro-3-methyl-1,4-dioxo-α-(2-phenylethyl)-2H-pyrazino[1,2-b]isoquinoline-2-acetate"
规格:20mg/支"
本品为女贞苷化学对照品,供鉴别及含量测定用,含量以88.6%计。
分子式:C33H40O18
分子量:724.2
包装及装量:棕色安瓿瓶。
储存条件:干燥避光保存。
注意事项:使用前无需处理,本品有引湿性,打开包装后一次使用完毕。
·非那雄胺杂质Ⅰ
编号:BP2145
英文名称:Finasteride Impurity Ⅰ
规格:10mg/支
本品为非那雄胺杂质Ⅰ化学对照品,供HPLC法系统适用性试验用,使用前不需要干燥处理。
CAS号:98319-24-5
分子式:C23H38N2O2
分子量:374.57
结构式:

包装:棕色西林瓶装
规格:10毫克/支
储存条件:遮光,密封保存
20(S)-人参皂苷F2对照品多少钱关键词:20(S)-Ginsenoside F2,20(S)-人参皂苷F2,62025-49-4
为何选择百奥莱博公司的20(S)-人参皂苷F2?
我公司是一家专业从事“产品研发生产、市场销*(代"售")、技术服务”为一体的高科技生物技术公司,公司生产的20(S)-人参皂苷F2质量有保证,含量高,能够给实验带来准确的结果。同时能为用户更好的解决各种疑难问题。如有需要可联*(代"系")我司销*(代"售")人员,我们将竭诚为您服务。
·妥布霉素
编号:BP1566
英文名称:Tobramycin
规格:100mg
本品为妥布霉素标准品,供抗生素微生物效价测定用,使用前不需干燥处理。
CAS号:32986-56-4
分子式:C18H37N5O9
分子量:467.52
结构式:

包装:白色安瓿
规格:约100毫克/支
储存条件:2-8℃保存
·盐*(代"酸")安他唑啉
编号:BP0177
英文名称:Antazoline Hydrochloride
规格:100mg
本品为妥布霉素标准品,供抗生素微生物效价测定用,使用前不需干燥处理。
CAS号:32986-56-4
分子式:C18H37N5O9
分子量:467.52
结构式:

包装:白色安瓿
规格:约100毫克/支
储存条件:2-8℃保存
·青蒿琥酯
编号:BP0164
英文名称:Artesunate
规格:100mg/支
本品为青蒿琥酯的化学对照品,使用前不需干燥处理。供HPLC法含量测定用,按C19H28O8计,含量为99.1%。
分子式:C19H28O8
结构式:

分子量:384.42
CAS号:88495-63-0
包装:棕色西林瓶装
装量:每支约100毫克。
储存条件:遮光密闭,10~30℃保存。
·阿昔莫司杂质(5-甲基吡嗪-2-羧酸)
编号:BP0967
英文名称:Acipimox Impurity(5-methyl-2-pyrazinecarboxylic acid)
规格:50mg/支
本品为阿昔莫司杂质(5-甲基吡嗪-2-羧酸)化学对照品,供HPLC法检查用,按C6H6N2O2计,含量为100%,使用前不需干燥处理。
CAS号:5521-55-1
分子式:C6H6N2O2
分子量:138.12
结构式:

包装:棕色西林瓶。
规格:约50毫克/支。
储存条件:遮光,密闭,10~30℃干燥处保存。
·水仙苷
编号:BP1525
英文名称:Narcissoside
规格:20mg/支
本品为水仙苷化学对照品,供含量测定用,含量93.1%计,使用前不需干燥处理。
CAS号:604-80-8
分子式:C28H32O16
分子量:624.54
结构式:

包装:棕色安瓿瓶
规格:约20mg/支
储存条件:冷处(2-10℃)保存
注意事项:本品具有引湿性,建议打开包装一次性使用完。
20(S)-人参皂苷F2对照品多少钱关键词:20(S)-Ginsenoside F2,20(S)-人参皂苷F2,62025-49-4
我公司主要从事免疫学、分子生物学和常规生化试剂的研发、销*(代"售")。并代理销*(代"售")R&D、Sigma、Amresco 、Gibco、Pharmacia、HyClone、GIBCO等多个国外知名品牌,致力于为广大高校、科研院所和企事业单位提供一流的科研试剂和完善的技术服务,满足生物化学、分子生物学 、细胞生物学、免疫学等生物科技实验需求。 公司主要产品:试剂盒:20(S)-人参皂苷F2、ELISA试剂盒、分子生物学试剂、细胞凋亡试剂盒。各种动物血清:NBQQ、HyClone、GIBCO胎牛血清。抗体:进口原装抗体、进口分装抗体、单克隆抗体、多克隆抗体、一抗、二抗。 我们立足于生命科学领域,全力打造高品质生物科技产品链和技术服务链,立志成为生命科学研究领域的问题解决专家。
ARB13400 羊住肉孢子虫(SArcocystIs)含量分析
EA50染色液 100ml|500ml
ARB12363 大鼠转化生长因子α(TGF-α)定量分析 Rat transforming growth factor α,tgf-α ELISA KIT
ARB10406 人可溶性核因子κB受体活化因子配基(sRANKL)ELISA代测服务 Human soluble receptor activator of nuclear factor-kb ligand,srankl ELISA KIT
ARB12056 大鼠干细胞因子受体(SCFR)血清中含量检测 Rat stem cell factor receptor,scfr ELISA KIT
ARB11577 人基质金属蛋白酶抑制因子1(TIMP-1)酶联免疫定量检测 Human tissue inhibitors of metalloproteinase 1,timp-1 ELISA KIT
BL1137 BL21(DE3)感受态细胞
002013 草酸*抗凝兔血 100ml|500ml
BL1215 *甲*(代"酚")绿-甲基红指示剂溶液
ARB13737 兔基质金属蛋白酶1(MMP-1)免费代测 Rabbit matrix metalloproteinase 1,mmp-1 ELISA KIT
沙黄/藏红T水溶液(2%) 100ml
丁二酸*六水合物 L-Lysine L-glutamate salt 6106-21-4
BL0934 RBITC标记兔抗豚鼠IgG抗体
蛋白酶抑制剂混合物 Protease inhibitor mixture 250ul|1ml
普通质粒小提试剂盒 100次|200次
569-64-2 孔雀石绿
PC3401 TUREscript One Step RT-PCR Kit(一步法反转录PCR试剂盒)
我公司在保证产品质量的同时,以价格优、到货快、服务周到,致力于20(S)-人参皂苷F2的研发、销*(代"售")。售前、售中、售后免费技术指导,质量保证,可放心购买!
我公司正在火爆促销标准品对照品系列产品,欢迎您的垂询选购20(S)-人参皂苷F2对照品多少钱。
风险提示:丁香通仅作为第三方平台,为商家信息发布提供平台空间。用户咨询产品时请注意保护个人信息及财产安全,合理判断,谨慎选购商品,商家和用户对交易行为负责。对于医疗器械类产品,请先查证核实企业经营资质和医疗器械产品注册证情况。
文献和实验【选题投稿】还在为 Meta 选刊烦恼?20+ 本选优期刊汇总
来源于 PubMed) 笔者,在 Greenpubmed 中对数据进行筛选。发现截止到 5 月 9 日,2020 年已经发表了超过 8 千篇 Meta 分析文章。笔者以 3 分为界,选取了发表超过 20 篇 3 分以上的 Meta 期刊,筛选出来将近 30 本期刊。 其中,已发表超过 50 篇的期刊有 Sci Rep (IF=4.011) 73 篇,Int J Surg(IF=3.158)62 篇,Cochrane Database Syst Rev (IF=7.755) 56 篇,J
Purification of Large Cytosolic Proteases for In Vitro Assays: 20S and 26S Proteasomes
Proteasomes are the main cytosolic proteases responsible for generating peptides for antigen processing and presentation in the MHC (major histocompatibility complex) class-I pathway. Purified 20S and 26S proteasomes have been widely used
近期,来自广州海洋实验室的陈凯教授,昆明医科大学口腔医学院的杨禾丰教授和胡江天教授团队在 Bioactive Materials 杂志发表了题为「miR-423-5p-enriched small extracellular vesicles drive periodontal regeneration via Sfrp2+ cell expansion」的科研论文,IF = 20.3。 研究背景: 牙周缺损(periodontal defect)是牙周炎引发的成年人牙齿脱落的主要原因
技术资料暂无技术资料 索取技术资料










