万千商家帮你免费找货
0 人在求购买到急需产品
- 详细信息
- 技术资料
- 库存:
576
- 英文名:
Lysine Acetylsalicylate
- CAS号:
62952-06-1
- 保质期:
长期
- 供应商:
北京百奥莱博科技有限公司
- 保存条件:
遮光,密封,-20℃
特别声明:本产品及我公司所售其他产品均为科研类试剂产品,严禁用于药物、医疗及其他非科研用途。
北京现货赖*匹林对照品优惠由专业试剂供应商北京百奥莱博提供,用于生化科研试验,本产品质量好,且极具价格优势,深为用户称道,了解更多赖*匹林等标准品对照品产品请联*(代"系")我司咨询订购。
名称:北京现货赖*匹林对照品优惠
编号:BP0403
产地:国产|进口
英文名:Lysine Acetylsalicylate
规格:100mg/支
品牌:百奥莱博
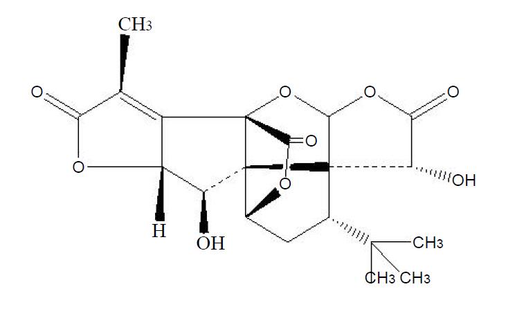
本品为赖*匹林化学对照品,使用前不需干燥处理。供UV法测定,按C15H22N2O6计,含量为99.9%。
分子式:C15H22N2O6
分子量:326.36
CAS号:62952-06-1
包装:安瓿装
装量:约100mg/支
储存条件:遮光,密封,-20℃保存
更多有关北京现货赖*匹林对照品优惠的价格及使用说明等,请联*(代"系")我们的业务经理王欣女士咨询,我公司还销*(代"售")以下产品:
·*鲁米特
编号:BP0220
英文名称:Aminoglutethimide
规格:50mg
·3,5-二*基-6-*吡嗪-2-羧酸甲酯
编号:BP0248
英文名称:3,5-diamino-6-chloropyrazine-2-carboxylic-methyl ester
规格:50mg
·*碘羟喹
编号:BP0260
英文名称:Clioquinol
规格:100mg
·环丙沙星杂质E
编号:BP1722
英文名称:Ciprofloxacin Impurity E
规格:50mg
本品为环丙沙星杂质E化学对照品,供环丙沙星及各种成盐形式的环丙沙星品种系统适用性试验及有关物质测定用。
使用方法:精密称取本品适量,按相关质量标准的规定,溶解并稀释至所需浓度的溶液,立即使用。
储存条件:置5℃以下低温避光保存。开启安瓿后严密保持干燥,以防吸水。
注意事项:使用前不需干燥处理。
·碘海醇杂质Ⅰ
编号:BP0761
英文名称:Iohexol related Compound I
规格:50mg
本品为环丙沙星杂质E化学对照品,供环丙沙星及各种成盐形式的环丙沙星品种系统适用性试验及有关物质测定用。
使用方法:精密称取本品适量,按相关质量标准的规定,溶解并稀释至所需浓度的溶液,立即使用。
储存条件:置5℃以下低温避光保存。开启安瓿后严密保持干燥,以防吸水。
注意事项:使用前不需干燥处理。
·3-羟基巴戟醌(暂行)
编号:BP1495
英文名称:3-Hydroxymorindone
规格:20mg
本品为3-羟基巴戟醌化学对照品,供鉴别和含量测定用,含量以93.7%计。
分子式:C15H10O6
分子量:286.24
结构式:

包装及装量:棕色安瓿瓶,约20mg/支
储存条件:常温干燥、密闭遮光保存。
注意事项:使用前无需处理。本品有引湿性,打开包装后一次使用完毕。
·伊曲康唑
编号:BP0487
英文名称:Itraconazole
规格:100mg/支
本品为伊曲康唑化学对照品,供伊曲康唑品种HPLC含量测定用,含量以伊曲康唑(C35H38Cl2N8O4)计。
CAS号:84625-61-6
分子式:C35H38Cl2N8O4
分子量:705.63
结构式:

包装:棕色安瓿
规格:100mg/支
储存条件:置阴凉干燥处保存。
北京现货赖*匹林对照品优惠关键词:62952-06-1,Lysine Acetylsalicylate,赖*匹林
赖*匹林现货供应,凡在我公司购买该产品均可享受免费的技术咨询服务,年中降价>>低价格促销:elisa试剂盒,Amrecso原装试剂、抗体、等相关试剂,产品品种齐全,价格优惠。产品质量,服务质量均是一流,您尽可放心购买!
·蓖麻碱
编号:BP1496
英文名称:Ricinine
规格:约20mg/支
本品为蓖麻碱化学对照品,供含量测定用,含量以100.0%计,使用前不需干燥处理。
CAS号:524-40-3
分子式:C8H8N2O2
分子量:164.16
结构式:

包装及装量:棕色瓶,约20mg/支
储存条件:常温密封保存
·银杏内酯K
编号:BP1474
英文名称:Ginkgolide K
规格:约20mg/支
本品为银杏内酯K化学对照品,供鉴别和含量测定用,含量以94.7%计,使用前不需干燥处理。
CAS号:153355-70-5
分子式:C20H22O9
分子量:406.38
结构式:

包装:棕色安瓿
装量:约20mg/支
储存条件:冷冻保存
·*扎贝特
编号:BP0564
英文名称:Bezafibrate
规格:100mg/支
本品为*扎贝特化学对照品,供含量测定用,使用前不需干燥处理,按C19H20ClNO4计,HPLC法测定,含量为99.6%,UV法测定,含量为99.9%。
CAS号:41859-67-0
分子式:C19H20ClNO4
分子量:361.82
结构式:

包装:棕色西林瓶装
规格:100毫克/支
储存条件:遮光,10~30℃密闭保存。
北京现货赖*匹林对照品优惠关键词:62952-06-1,Lysine Acetylsalicylate,赖*匹林
我公司是一家生物高新技术企业,主要从事免疫学、分子生物学和常规生化试剂的研发、销*(代"售")。致力于为广大高校、科研院所和企事业单位提供一流的科研试剂和完善的技术服务,满足生物化学、分子生物学 、赖*匹林、细胞生物学、免疫学ELISA试剂盒等生物科技实验需求。我们诚以100%的热情换您100%的满意!
牛磺胆酸* Benzimidazole 145-42-6或345909-26-4
BTN80902 大提柱式血液RNAOUT Maxi Column Blood RNAOUT
FMOC-D-缬*酸 Pululan 84624-17-9
CYB163060 兔抗猴IgG-RBITC
ARB12335 大鼠卵巢癌标志物CA125elisa检测操作说明书 Rat ovarian cancer marker-ca125 ELISA KIT
ARB10987 人卵清蛋白特异性IgG(OVA sIgG)ELISA代测服务 Human ovalbumin specific igg,ova sigG ELISA KIT
HC0169 载玻片
乙酸镧 2,6-dibromoquinone chlorimide? 100587-90-4
兔抗GAPDH多克隆IgG抗体 0.1ml
两性霉素B溶液(10mg/ml) Amphotericin B 10mg/ml 5ml
ARB10811 人抗百日咳病毒(PT-Ab)含量测试 Human anti-pertussiu toxin,pt-ab ELISA KIT
TBS缓冲液(0.05mol/L,pH7.4) 500ml
N-乙酰-L-酪*酸 HCTU 537-55-3
RN4301 EASYspin Plus 细菌RNA快速提取试剂盒
CYB163068 OVA-FITC
BTN81224 BCIP/NBT显色试剂盒 BCIP/NBT Chromogenic Kit
NF-258 冻干抗人Alb血清
PY08-056 XLD琼脂平板 9CM 10皿/盒,用于沙门氏菌的选择性分离培养
我公司在保证产品质量的同时,以价格优、到货快、服务周到,致力于赖*匹林的研发、销*(代"售")。售前、售中、售后免费技术指导,质量保证,可放心购买!
我公司正在火爆促销标准品对照品系列产品,欢迎您的垂询选购北京现货赖*匹林对照品优惠。
风险提示:丁香通仅作为第三方平台,为商家信息发布提供平台空间。用户咨询产品时请注意保护个人信息及财产安全,合理判断,谨慎选购商品,商家和用户对交易行为负责。对于医疗器械类产品,请先查证核实企业经营资质和医疗器械产品注册证情况。
技术资料暂无技术资料 索取技术资料









