万千商家帮你免费找货
0 人在求购买到急需产品
- 详细信息
- 技术资料
- 库存:
502
- 英文名:
6-Methylcoumarin
- CAS号:
92-48-8
- 保质期:
长期
- 供应商:
北京百奥莱博科技有限公司
特别声明:本产品及我公司所售其他产品均为科研类试剂产品,严禁用于药物、医疗及其他非科研用途。
百奥莱博公司致力于为全国科研单位提供药典标准品、对照品、标准溶液、标准样品、对照培养基、国家标准品等可靠标准物质,其中北京现货6-甲基香豆素对照品哪里买的品质过硬,在广大科研人员中有口皆碑!
名称:北京现货6-甲基香豆素对照品哪里买
规格:100mg/支
英文名:6-Methylcoumarin
编号:BP2171
产地:国产|进口
品牌:百奥莱博
本品为6-甲基香豆素化学对照品,供HPLC法和GC法检查用,按C10H8O2计,含量为 100%,使用前不需干燥处理。
CAS号:92-48-8
分子式:C10H8O2
分子量:160.17
包装及装量:棕色西林瓶装,每支约100毫克
储存条件:遮光,密封保存
更多有关北京现货6-甲基香豆素对照品哪里买的价格及使用说明等,请联*(代"系")我们的业务经理王欣女士咨询,我公司还销*(代"售")以下产品:
·辛可尼丁
编号:BP0172
英文名称:Phenytoin Sodium
规格:50mg
·醋酸亮丙瑞林
编号:BP1952
英文名称:Leuprorelin Acetate
规格:20mg/支
本品为醋酸亮丙瑞林化学对照品,供相关物质鉴别用,使用前不需干燥处理,供HPLC法测定,按C59H84N16O12计,含量为89.8%。
CAS号:74381-53-6
分子式:C59H84N16O12·C2H4O2
分子量:1269.46
包装:棕色安瓿装
规格:每支约20毫克。
储存条件:遮光,-20℃,密封保存。
·3, 5-O-二咖啡酰基奎宁酸
编号:BP1361
英文名称:3, 5-O-Dicaffeoylquinic acid
规格:约20mg/支
本品为3,5-O-二咖啡酰基奎宁酸化学对照品,含量测定用,含量以97.3%计,使用前不需干燥处理。
CAS号:89919-62-0
分子式:C25H24O12
分子量:516.44
结构式:

包装:棕色安瓿瓶
装量:约20mg/支
储存条件:冷处(2-10℃)保存
注意事项:本品具引湿性,建议打开包装一次性使用完。
·硝酸益康唑
编号:BP0175
英文名称:Econazole Nitrate
规格:100mg
本品为硝酸益康唑的化学对照品,含量按C18H15Cl3N2O·HNO3计。精密称取适量,按标准所规定的方法,配制至所需浓度的对照品溶液,立即使用。
储存条件:置5℃以下条件低温避光保存。启开安瓿后严密保持干燥以防吸水。
注意事项:使用前不需要干燥处理。
北京现货6-甲基香豆素对照品哪里买关键词:6-Methylcoumarin,6-甲基香豆素,92-48-8
·茴三硫
编号:BP0381
英文名称:Anethol Trithione
规格:100mg/支
本品为茴三硫化学对照品,供IR法鉴别和含量测定用。按C10H8OS3计,含量为99.9%,使用前不需要干燥处理。
分子式:C10H8OS3
分子量:240.35
CAS号:532-11-6
包装:棕色西林瓶装。
规格:100毫克/支。
储存条件:遮光,密封保存。
·4-羟基间*二甲*(代"酸")
编号:BP0835
英文名称:4-hydroxyisophthalic acid
规格:50毫克/支
本品为4-羟基间*二甲*(代"酸")化学对照品,使用前不需干燥处理。供HPLC法测定,按C8H6O5计,含量为100%。
CAS号:636-46-4
分子式:C8H6O5
分子量:182.13
结构式:

包装:棕色西林瓶
规格:约50毫克/支
储存条件:遮光,10~30℃密闭保存
·来*米特杂质Ⅱ
编号:BP0849
英文名称:Leflunomide impurityⅡ[2-cyano-3-hydroxy-N-(4’-trifluoromethylphenyl)-crotone amide]
规格:50mg/支
本品为来*米特杂质Ⅱ化学对照品,使用前不需干燥处理。供HPLC法系统适用性试验用。
CAS号:108605-62-5
分子式:CHFNO129322
分子量:270.21
结构式:


来*米特系统适用性试验色谱图[AgilentHypersil
北京现货6-甲基香豆素对照品哪里买关键词:6-Methylcoumarin,6-甲基香豆素,92-48-8
我公司是一家专注于生命科学和生物技术领域的高科技企业,专业提供生物学试剂、免疫学试剂、生物化学试剂、6-甲基香豆素以及其他常用实验室用品以及分子生物学、免疫学、生命科学基础研究诸多领域的生物技术服务。我们秉承着“质量第一,客户至上”的原则,用热情、认真、主动、周到的服务实践着公司的承诺,进而使公司逐步成长为国内具有影响力的生物产品供货商。目前公司客户遍及各大医院、科研机构、大专院校、制药单位、医学检验单位、卫生防疫、生物技术公司、食品单位等诸多领域。于此同时公司严格的管理制度,使百奥莱博形成了独特的市场优势:产品种类齐全、包装规格完善、价格合理、质量保证、信息反馈及时、售后服务周到。
·曲克芦丁
编号:BP0327
英文名称:Troxerutin
规格:100mg/支
本品为曲克芦丁化学对照品,供含量测定用,使用前不需干燥处理。供HPLC法测定,按C33H42O19计,含量为97.5%。
分子式:C33H42O19
分子量:742.69
CAS号:7085-55-4
包装:西林瓶装
规格:约100mg/支
储存条件:遮光,密闭,10~30℃保存
注意事项:本品有引湿性,打开包装后一次使用完毕。
·Xa因子(FXa)
编号:BP1915
英文名称:Factor Xa
规格:71nkat/支
本品为Xa因子试剂,供肝素、低分子肝素抗Xa因子效价测定使用
CAS号:9002-05-5
分子量:约44KDa
来源:牛源
包装:透明玻璃瓶
规格:约71nkat/瓶
储存条件:2~8℃
·美洛西林
编号:BP1666
英文名称:Mezlocillin
规格:100mg
本品为Xa因子试剂,供肝素、低分子肝素抗Xa因子效价测定使用
CAS号:9002-05-5
分子量:约44KDa
来源:牛源
包装:透明玻璃瓶
规格:约71nkat/瓶
储存条件:2~8℃
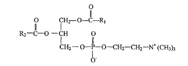
·蛋黄磷脂酰胆碱
编号:BP1986
英文名称:Egg yolk phosphatidylcholine
规格:50mg/支
本品为蛋黄磷脂酰胆碱化学对照品,供含量测定用,含量为90.6%。
CAS号:93685-90-6
结构式:

R1, R2 为脂肪酸链
包装:棕色安瓿装
规格:约50mg/瓶
储存条件:遮光,密闭,于-20℃保存。
·角鲨烷
编号:BP1875
英文名称:Squalane
规格:约0.3ml
本品为角鲨烷标准试剂,供角鲨烯含量项下校正因子测定用。
分子式:C30H62
分子量:422.49
结构式:

包装:棕色针瓶
规格:每瓶0.3ml
储存条件:2-8℃避光保存。
·去*帕罗西汀
编号:BP0832
英文名称:Desfluoroparoxetine
规格:50mg
本品为去*帕罗西汀化学对照品,供HPLC法系统适用性试验用。
分子式:C19H21NO3
分子量:311.38
包装及装量:棕色小瓶装,每支约50毫克。
储存条件:遮光,密封保存。
注意事项:使用前不需干燥处理。
6-甲基香豆素为高校实验室,各大科研单位专用试剂,不得用于生产或者其它用途,本公司提供各种品牌的进口的试剂来满足不同客户的需求,欢迎前来订购!
6-甲基香豆素是我们热销产品之一,品牌代理,品质保证,专业性强,实验全程无忧。我公司已为中国市场提供数万种高端试剂,我们有能力提供毫克级,克级,甚至公斤级。试剂产品相关信息齐全,欢迎来电咨询、选购。
我公司正在优惠促销标准品对照品等系列产品,期待您的咨询选购北京现货6-甲基香豆素对照品哪里买。
风险提示:丁香通仅作为第三方平台,为商家信息发布提供平台空间。用户咨询产品时请注意保护个人信息及财产安全,合理判断,谨慎选购商品,商家和用户对交易行为负责。对于医疗器械类产品,请先查证核实企业经营资质和医疗器械产品注册证情况。
技术资料暂无技术资料 索取技术资料









