相关产品推荐更多 >
万千商家帮你免费找货
0 人在求购买到急需产品
- 详细信息
- 文献和实验
- 技术资料
- 库存:
662
- 英文名:
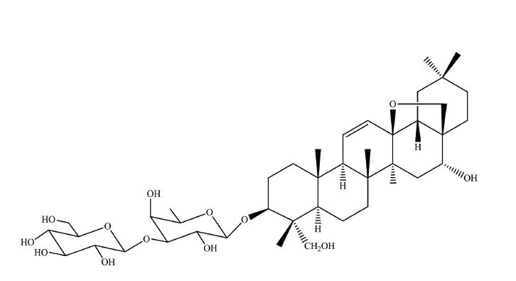
Ginsenoside Ro
- CAS号:
34367-04-9
- 保质期:
长期
- 供应商:
北京百奥莱博科技有限公司
特别声明:本产品及我公司所售其他产品均为科研类试剂产品,严禁用于药物、医疗及其他非科研用途。
北京百奥莱博公司供应包括北京现货人参皂苷Ro对照品哪里卖在内的化学标准品,化学对照品,杂志对照品,HPLC标准品,UV标准品等高品质标准品、对照品
名称:北京现货人参皂苷Ro对照品哪里卖
品牌:百奥莱博
英文名:Ginsenoside Ro
产地:国产|进口
编号:BP1447
本品为人参皂苷Ro化学对照品,供相关物质鉴别用,使用前不需干燥处理。
CAS号:34367-04-9
分子式:C48H76O19
分子量:957.11
结构式:

包装:棕色瓶
装量:约20mg/支
储存条件:冷冻保存
注意事项:本品具有引湿性,开封后一次使用完毕。
更多有关北京现货人参皂苷Ro对照品哪里卖的价格及使用说明等,请联*(代"系")我们的业务经理王欣女士咨询,我公司还销*(代"售")以下产品:
·低硼硅玻璃平均线热膨胀系数对照物质(供线热膨胀系数鉴别用-拉丝法)
编号:BP2103
英文名称:Reference Standards of Low Borosilicate Glass Mean Linear Thermal Expansion Coefficient(For Linear Thermal Expansion Coefficient Identification-Wire Drawing Method) )
规格:约10g/支
·尤瑞克林
编号:BP1862
英文名称:Urinary Kallidinogenase
规格:1.6PNA单位/支
本品为尤瑞克林化学对照品,供相关物质鉴别用。使用前放置室温。
包装:白色安瓿
规格:每瓶约1.6PNA单位/支
储存条件:密封,-20℃保存。
·*化可的松琥珀单酯
编号:BP0687
英文名称:Hydrocortisone Hemisuccinate
规格:100mg
本品为尤瑞克林化学对照品,供相关物质鉴别用。使用前放置室温。
包装:白色安瓿
规格:每瓶约1.6PNA单位/支
储存条件:密封,-20℃保存。
·呱西替柳杂质A(水杨酸愈创木酚酯)
编号:BP0719
英文名称:Guaiacol salicylate
规格:50mg
本品为尤瑞克林化学对照品,供相关物质鉴别用。使用前放置室温。
包装:白色安瓿
规格:每瓶约1.6PNA单位/支
储存条件:密封,-20℃保存。
·柴胡皂苷d
编号:BP1073
英文名称:Saikosaponin d
规格:20mg/支
本品为柴胡皂苷d化学对照品,供鉴别和含量测定用,使用前不需干燥处理。含量以95.8%计。
CAS号:20874-52-6
分子式:C42H68O13
分子量:780.98
结构式:

包装:棕色安瓿瓶
规格:约20mg/支
储存条件:冷冻保存
·盐*(代"酸")非那吡*(代"啶")
编号:BP0598
英文名称:Saikosaponin d
规格:100mg
本品为柴胡皂苷d化学对照品,供鉴别和含量测定用,使用前不需干燥处理。含量以95.8%计。
CAS号:20874-52-6
分子式:C42H68O13
分子量:780.98
结构式:

包装:棕色安瓿瓶
规格:约20mg/支
储存条件:冷冻保存
·消旋山莨菪碱
编号:BP0200
英文名称:Raceanisodamine
规格:约100毫克
本品为消旋山莨菪碱(Raceanisodamine)的化学对照品,供含量测定用。按C17H23NO4计,含量为99.8%。
分子式:C17H23NO4
分子量:305.38
CAS号:17659-49-3
包装及装量:棕色西林瓶装,每支约100毫克
储存条件:遮光,密封保存
注意事项:使用前不需干燥处理。
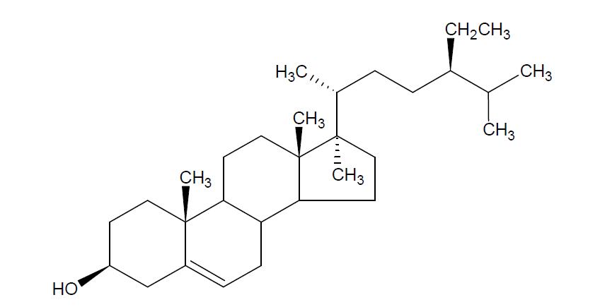
·β-谷甾醇
编号:BP1129
英文名称:β- Sitosterol
规格:约20mg/支
本品为β-谷甾醇化学对照品,供鉴别及含量测定用,含量以97.0%计,使用前不需干燥处理。
CAS号:83-46-5
分子式:C29H50O
分子量:414.7
结构式:

包装:棕色瓶
规格:约20毫克/支
储存条件:冷处(2~10℃)保存
北京现货人参皂苷Ro对照品哪里卖关键词:34367-04-9,人参皂苷Ro,Ginsenoside Ro
·盐*(代"酸")布替*芬
编号:BP0524
英文名称:Butenafine Hydrochloride
规格:100mg
本品为盐*(代"酸")布替*芬化学对照品,供含量测定用。
CAS号:101827-46-7
分子式:C23H27N·HCl
分子量:353.94
包装及装量:棕色小瓶装,每支约100毫克。
储存条件:遮光,密闭保存。
注意事项:105℃干燥2 小时后使用。
·邻甲*磺酰胺
编号:BP0035
英文名称:2-Methylbenzenesulfonamide
规格:100mg/支
本品为邻甲*磺酰胺(2-Methylbenzenesulfonamide),供检查用。供GC法测定用,按C7H9NO2S计,含量为100%。
分子式:C7H9NO2S
分子量:171.21
CAS号:88-19-7
包装及装量:棕色小瓶装,每支约100毫克。
储存条件:遮光,密封保存。
注意事项:105℃干燥2小时后使用。
·盐*(代"酸")阿扑吗*(代"啡")
编号:BP0637
英文名称:Apomorphine Hydrochloride
规格:100mg/支
本品为盐*(代"酸")阿扑吗*(代"啡")化学对照品,105℃干燥2小时后使用。供HPLC法含量测定用,按C17H17NO2·HCl计,含量为99.0%。
分子式:C17H17NO2·HCl
分子量:303.78
CAS号:314-19-2
包装:棕色西林瓶装。
装量:约100mg/支。
储存条件:遮光,密封保存。
·香蒲新苷
编号:BP1215
英文名称:Typhaneoside
规格:20mg
本品为香蒲新苷化学对照品,供鉴别或含量测定用,含量以97.0%计,使用前无需干燥处理。
CAS号:104472-68-6
分子式:C34H42O20
分子量:770
结构式:

包装及装量:棕色安瓿瓶,约20mg/支
储存条件:常温保存
注意事项:本品极具引湿,打开后一次性使用完毕。
北京现货人参皂苷Ro对照品哪里卖关键词:34367-04-9,人参皂苷Ro,Ginsenoside Ro
人参皂苷Ro特价促销,价格合理,售后服务完善,确属质量问题可包换包退,免除您的后顾之忧。工作时间内可免费技术咨询和指导,我们将竭尽我们的全力为您服务,争取包您100%满意,欢迎新老客户来电订购!
·丝*酸
编号:BP1831
英文名称:Serine
规格:100mg/瓶
本品为丝*酸化学对照品,含量为100.0%,供*基酸鉴别、检查及含量测定用。
分子式:C3H7NO3
分子量:105.09
结构式:

包装:棕色瓶
装量:约100mg/支
储存条件:密封、避光常温保存
注意事项:使用前不需干燥处理。
·5’-胞苷酸
编号:BP1866
英文名称:Cytidine-5’-monophosphate
规格:10mg/瓶
本品为5"-胞苷酸化学对照品,供胞磷胆碱*及制剂含量测定中系统适用性试验和有关物质检查用。含量为99.6%。
CAS号:63-37-6
分子式:C9H14N3O8P
分子量:323.19
使用方法:按照质量标准方法称量溶解使用。
包装及装量:2ml西林瓶,约10mg/瓶
储存条件:4~8℃保存。
注意事项:使用前无需干燥处理。
·阿司匹林
编号:BP0088
英文名称:Aspirin
规格:200mg
本品为阿司匹林(Aspirin)的化学对照品,供含量测定用,使用前不需干燥处理,供HPLC法测定,按C9H8O4计,含量为99.8%。
分子式:C9H8O4
分子量:180.16
包装及装量:棕色西林瓶,约200mg/支
储存条件:遮光,密封,在干燥处保存
注意事项:本品溶液应临用新制。
·洛索洛芬*
编号:BP0492
英文名称:Loxoprofen Sodium
规格:50毫克/支
本品为洛索洛芬*化学对照品,供含量测定用,使用前不需干燥处理,供HPLC法测定,按C15H17NaO3计,含量为88.0%。
CAS号:80382-23-6
分子式:C15H17NaO3·2H2O
分子量:304.32
包装:棕色西林瓶
规格:约50毫克/支
储存条件:遮光,密闭,10~30℃保存。
人参皂苷Ro的纯度及用途:纯度高质含量低,适用于研究和配制标准液; 纯度较高,杂质含量较低,适用于定性和定量分析 重量略低于二级试剂,用途近似二级试剂 化学试剂按纯度由低到高可分为工业纯、实验纯(LR)、化学纯(CP)、分析纯(AR)、优级纯(GR)和超纯等多种规格。
我公司所售商品均为100%厂家供货,品质保证,价格优惠!
1.试剂包装:1g、5g、10g、25g、100g、500g等不同包装,欢迎来电咨询:人参皂苷Ro,生化试剂
2.试剂纯度:97%-99%以上
3.库存均有现货。
4.产品订购以订货当日最新价格为准。
5.所有产品为确保质量,出库均复检。
我公司生产供应销*(代"售")的标准品对照品正全品类优惠促销,十分期待您的咨询选购北京现货人参皂苷Ro对照品哪里卖。
风险提示:丁香通仅作为第三方平台,为商家信息发布提供平台空间。用户咨询产品时请注意保护个人信息及财产安全,合理判断,谨慎选购商品,商家和用户对交易行为负责。对于医疗器械类产品,请先查证核实企业经营资质和医疗器械产品注册证情况。
文献和实验摘要:目的对野生和栽培竹节参中所含人参皂苷及其含量进行比较。方法参照人参的分析方法,以人参皂苷 Rg1、 Re为对照品,对野生和栽培竹节参进行 TLC鉴别比较,用发HPLC法进行定量分析。结果在选定的薄层条件下,对照品与供试品的薄层图谱清晰,分离度好,栽培和野生竹节参具有相同的斑点; 对照品在0.48~2.40 μg范围内具有良好的线性关系,回归方程为:Y= 336 182X-302 41, r=0.999 8。结论根据测定和比较的结果,栽培和野生竹节参所含人参皂苷类成分基本
,批号110742 - 200314)。 1.2 仪器 Waters系列高效液相色谱仪(515双泵,2996光电二极管阵列检测器,Empower中文色谱数据工作站,美国);Perkin-Elmer傅立叶变换红外光谱仪(美国); Autospec - Ultima ETOF EL 型质谱仪(美国);INOVA - 600 型、Brucker ACF - 400 型核磁共振仪(美国);Boetius显微熔点测定仪(北京);WZZ-1S数字式自动旋光仪(上海);RO-MB-10D
-Elmer傅立叶变换红外光谱仪(美国); Autospec - Ultima ETOF EL 型质谱仪(美国);INOVA - 600 型、Brucker ACF - 400 型核磁共振仪(美国);Boetius显微熔点测定仪(北京);WZZ-1S 数字式自动旋光仪(上海);RO-MB-10D 高纯水机(杭州永洁达膜分离设备厂),CP225D 电子分析天平(德国Sartourius公司),FW100 型高速万能粉碎机(天津市泰斯特仪器有限公司),202-26A 型数显电热恒温干燥箱(上海阳光实验仪器有限
技术资料暂无技术资料 索取技术资料










