万千商家帮你免费找货
0 人在求购买到急需产品
- 详细信息
- 文献和实验
- 技术资料
- 库存:
813
- 英文名:
Forsythin
- CAS号:
487-41-2
- 保质期:
长期
- 供应商:
北京百奥莱博科技有限公司
- 保存条件:
冷处(2-10℃
特别声明:本产品及我公司所售其他产品均为科研类试剂产品,严禁用于药物、医疗及其他非科研用途。
北京百奥莱博公司供应包括连翘苷对照品特价促销在内的化学标准品,化学对照品,杂志对照品,HPLC标准品,UV标准品等高品质标准品、对照品
北京百奥莱博科技有限公司专业生产供应连翘苷对照品特价促销,产品信息:
类别:标准品对照品
英文名:Forsythin
| 产品名 | CAS号 | 包装规格 |
| 连翘苷 | 487-41-2 | 20mg/支 |
品牌:百奥莱博
英文名:Forsythin
规格:20mg/支
产地:国产|进口
编号:BP1107
本品为连翘苷化学对照品,供鉴别和含量测定用,含量以94.9%计,使用前不需干燥处理。
CAS号:487-41-2
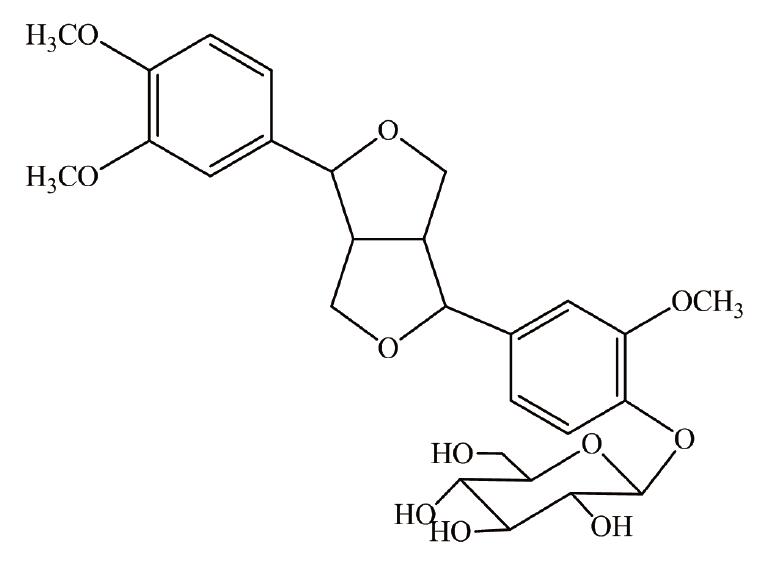
分子式:C27H34O11
分子量:534.55
结构式:

包装:棕色安瓿瓶
规格:约20mg/支
储存条件:冷处(2-10℃)保存
注意事项:本品具有引湿性,建议打开包装一次性使用完。
连翘苷对照品特价促销专业优质供应商:北京百奥莱博科技有限公司
关键词:Forsythin,连翘苷,487-41-2
连翘苷等产品报价含税含运费,全程免费技术支持。我公司产品种类齐全,提供订制包装,免费快递送货上门,质量保证,欢迎来电购买!
我公司的连翘苷对照品特价促销,性价比高,货期短,送货上门,欢迎您来电咨询购买,另外,我公司还生产供应销*(代"售")下列产品:
| 编号 | 名称 | 英文名称 |
| BP0658 | 盐*(代"酸")罗哌卡因 | Ropivacaine Hydrochloride |
| BP0073 | 猪去氧胆酸 | Hyodeoxycholic Acid |
| BP2197 | 新补骨脂异黄酮 | Neobavaisoflavone |
| BP1571 | 核糖霉素 | Ribostamycin |
| BP2120 | 米非司酮 | Mifepristone |
| BP1294 | 白果新酸 | Ginkgoneolic acid |
| BP1376 | 姜酮 | Vanillylacetone |
| BP0803 | 丙磺舒 | Probenecid |
| BP1932 | 硫*(代"酸")鱼精蛋白 | Protamine Sulphate |
| BP0941 | 恩曲他滨异构体检查系统适用性试验混合物 | Emtricitabine system suitability mixture |
| BP0565 | 非诺贝特 | Fenofibrate |
| BP0472 | 三*双脒 | Tribendinidin |
| BP0251 | *康唑 | Fluconazole |
| BP0815 | 可的松 | Cortisone |
| BP0479 | 盐*(代"酸")吉西他滨 | Gemcitabine Hydrochloride |
| BP0690 | 艾普拉唑磺酰化物 | 2-{[(4-methoxy-3-methyl)-2-pyridinyl]methyl}-sulfonyl-5-(1H-pyrrol-1-yl)-1H-benzimidazcle |
| BP0850 | 呋*(代"喃")妥因 | Nitrofurantoin |
| BP1680 | 盐*(代"酸")左氧*沙星 | Levofloxacin Hydrochloride |
| BP2068 | 二甲硅油50 | Dimethicone 50 |
| BP0976 | 盐*(代"酸")曲美他嗪杂质(六水哌*(代"嗪")) | Trimetazidine Hydrochloride Impurity(Piperazin*(代"e") Hexahydrate) |
| BP1740 | 二苄基乙二*(代"胺") | N,N"-Dibenzylethylenediamin*(代"e") |
| BP1460 | 毛蕊异黄酮葡萄糖苷 | Calycosin 7-O-β-D-Glucopyranoside |
| BP1727 | 诺*沙星杂质B | Norfloxacin impurity B |
| BP1810 | 次黄嘌呤 | Hypoxanthine |
| BP1211 | 雷公藤甲素 | Triptolide |
| BP0644 | P-*基*甲*(代"酸")异丙酯 | Isopropyl 4-aminobenzoate |
| BP0796 | 奥沙利铂左旋异构体 | S,S-enantiomer of oxaliplatin |
| BP1398 | 紫苏烯 | Perillene |
我公司生产供应销*(代"售")的标准品对照品产品正全系列现货促销,满分期待您的垂询选购连翘苷对照品特价促销。
风险提示:丁香通仅作为第三方平台,为商家信息发布提供平台空间。用户咨询产品时请注意保护个人信息及财产安全,合理判断,谨慎选购商品,商家和用户对交易行为负责。对于医疗器械类产品,请先查证核实企业经营资质和医疗器械产品注册证情况。
文献和实验质分子量标准(19-119KD) (50次)--每支 280元 五. 秋季部分产品特价促销单 具体产品和价格如下: 一. DNA分子量标准产品: DNA分子量标准 规格 优惠价 DL2000 50次 58元 参照片断(bp):100 、250、500、750、1000、2000bp Marker1 50次 58元 参照片断(bp):100 、200、300、400、500、600bp Marker2 50次 58元 参照片断(bp):100 、300、500
。博士德部分现货ELISA产品超低价促销! 供应以上产品均为现货。特价产品如下: h.Activin A 1000元/96T h.MIP-1a 1500元/96T m.IL-4 1000元/96T h.BDNF 1000元/96Th.MIP-3a 1500元/96T m.IL-5 1000元/96T h.BMP-2 1500元/96Th.MCP-1 1000元/96T m.IL-6 1000元/96T h.CD54 1500元/96Th.MMP
,较大的蛋白如抗体可能需要5小时。如果需要可以在温育3小时后补加完全培养基。检测前用无血清培养基或者PBS洗涤细胞以除去未转染的蛋白,防止影响结果分析,然后就可以分析结果了。 注意事项当然是需要考究蛋白质的浓度和纯度(幸好越来越多的蛋白样本制备工具使得蛋白样本处理变得简单高效了,比如Merck自己的蛋白样品制备系列就有很多选择,现在还有75折特价呢),转染过程中要避免血清的干扰,最后检测前要彻底洗掉残留的蛋白。至于效果如何?厂家提供的图片相当漂亮。 价格和用量:好东西不便
技术资料暂无技术资料 索取技术资料










