相关产品推荐更多 >
万千商家帮你免费找货
0 人在求购买到急需产品
- 详细信息
- 文献和实验
- 技术资料
- 库存:
355
- 英文名:
Madecassoside
- CAS号:
34540-22-2
- 保质期:
长期
- 供应商:
北京百奥莱博科技有限公司
- 保存条件:
常温
特别声明:本产品及我公司所售其他产品均为科研类试剂产品,严禁用于药物、医疗及其他非科研用途。
北京百奥莱博公司供应包括羟基积雪草苷对照品促销在内的化学标准品,化学对照品,杂志对照品,HPLC标准品,UV标准品等高品质标准品、对照品
名称:羟基积雪草苷对照品促销
规格:约20mg/支
编号:BP1162
品牌:百奥莱博
产地:国产|进口
英文名:Madecassoside
本品为羟基积雪草苷化学对照品,供鉴别及含量测定用,含量以91.9%计,使用前不需干燥处理。
CAS号:34540-22-2
分子式:C48H78O20
分子量:975.12
结构式:

包装:棕色安瓿瓶
规格:约20毫克/支
储存条件:常温保存
注意事项:本品具引湿性,打开包装后一次使用完毕。
我公司的羟基积雪草苷对照品促销,性价比高,货期短,送货上门,欢迎您来电咨询购买,另外,我公司还生产供应销*(代"售")下列产品:
·盐*(代"酸")去*羟嗪
编号:BP0210
英文名称:Decloxizine Hydrochloride
规格:100mg/支
本品为盐*(代"酸")去*羟嗪的化学对照品,供含量测定用。按C21H28N2O2·2HCl计,供UV法测定,含量为100.0%;供HPLC法测定,含量为99.1%。
分子式:C21H28N2O2·2HCl
分子量:413.39
CAS号:13073-96-6
包装及装量:棕色西林瓶装,每支约100毫克
储存条件:遮光,密封保存
注意事项:105℃干燥2小时后使用。
·恩曲他滨杂质V
编号:BP0940
英文名称:Emtricitabine Impurity V
规格:50mg/支
本品为恩曲他滨杂质V化学对照品,使用前不需干燥处理,供检查用。供HPLC法测定,按CHFNOS计,含量为100%。
CAS号:764659-79-2
分子式:CHFNOS182634
分子量:399.48
结构式:


(恩曲他滨系统适用性溶液色
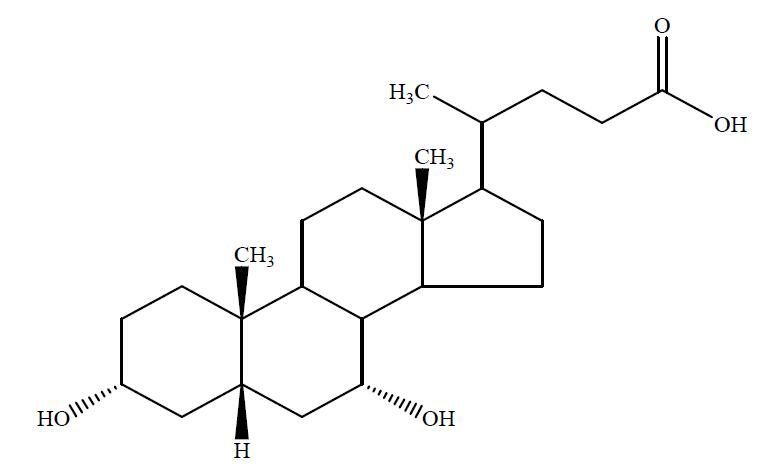
·鹅去氧胆酸
编号:BP1095
英文名称:Chenodeoxycholic acid
规格:约30mg/支
本品为鹅去氧胆酸化学对照品,供鉴别和含量测定用,使用前不需干燥处理。含量以91.3%计。
CAS号:474-25-9
分子式:C24H40O4
分子量:392.57
结构式:

包装:棕色安瓿瓶
装量:约30mg/支
储存条件:冷处(2-10℃)保存
羟基积雪草苷对照品促销关键词:羟基积雪草苷,34540-22-2,Madecassoside
·培哚普利杂质Ⅰ
编号:BP0980
英文名称:perindopril impurity Ⅰ〔 (2S,3aS,7aS)-octahydro-1H-indole-2-carboxylic acid〕
规格:20mg/支
本品为培哚普利杂质Ⅰ化学对照品,使用前不需干燥处理,供TLC法检查用,按C9H15NO2计,含量为100%。
CAS号:80875-98-5
分子式:C9H15NO2
分子量:169.22
包装:棕色西林瓶
规格:约20毫克/支
储存条件:遮光,密闭,2~8℃保存。
·**酸力克拉敏
编号:BP0817
英文名称:Lycoramine Hydrobromide
规格:50mg
本品为**酸力克拉敏化学对照品,供HPLC法系统适用性试验用。
分子式:C17H23NO3·HBr
分子量:370.29
包装及装量:棕色小瓶装,每支约50毫克。
储存条件:遮光,密封保存。
注意事项:使用前不需干燥处理。
·己酮可可碱
编号:BP0453
英文名称:Pentoxifylline
规格:100mg/支
本品为己酮可可碱化学对照品,供含量测定用,使用前不需干燥处理。供HPLC法测定,按C13H18N4O3计,含量为99.7%。
分子式:C13H18N4O3
分子量:278.31
CAS号:6493-05-6
包装:棕色安瓿瓶装。
装量:约100毫克/支。
储存条件:遮光密闭,10~30℃干燥处保存。
·胆维丁
编号:BP0383
英文名称:Pentoxifylline
规格:100mg
本品为己酮可可碱化学对照品,供含量测定用,使用前不需干燥处理。供HPLC法测定,按C13H18N4O3计,含量为99.7%。
分子式:C13H18N4O3
分子量:278.31
CAS号:6493-05-6
包装:棕色安瓿瓶装。
装量:约100毫克/支。
储存条件:遮光密闭,10~30℃干燥处保存。
·地榆皂苷Ⅰ
编号:BP1486
英文名称: Ziyu-glycoside Ⅰ
规格:20mg
本品为地榆皂苷Ⅰ化学对照品,供含量测定用,含量以95.1%计。
CAS号:35286-58-9
分子式:C41H66O13
分子量:766.95
包装及装量:棕色安瓿瓶,约20mg/支
储存条件:冷冻保存
注意事项:本品有引湿性,打开包装后一次使用完毕。
羟基积雪草苷对照品促销关键词:羟基积雪草苷,34540-22-2,Madecassoside
羟基积雪草苷如何储存?
化学试剂的变质,大多数情况是因为受外界条件的影响,如空气中的氧气、二氧化碳、水蒸气、空气中的酸碱性物质以及环境 温度、光照等,都可使化学试剂发生氧化、还原、潮解、风化、析晶、稀释、锈蚀、分解、挥发、升华、聚合、发霉、变色以及燃爆等变化。经常检查储存中的化学 试剂的存放状况发现实际起过的储存期或变质应及时报告,并按规定妥善处理 ( 降级使用或报废) 和销帐。在正常储存条件下,一般化学试剂贮有不宜超过2年,基准试剂不超1年。为了避免环境和其他因素的干扰,所有化学试剂一经取出不得放回贮有容器: 属于必须回收的试剂或指定、退库、的试剂,必须另设专用容器回收或贮存,具有吸潮性或易氧化,易变质的化学试试剂必须密封保存,避免吸湿解,氧化或变质。 定期盘点,核对出现差错应及时检查原因,并报主管领导或部门处理。
·重组人凝血因子VIIa国家标准品
编号:BP2118
英文名称:National Standard Factor VIIa Concentrate
规格:1.0ml/支
本品为重组人凝血因子VIIa标准品,由重组人凝血因子VIIa原液经缓冲液稀释后分装冻干而成。用于重组人凝血因子VIIa产品效价测定。
组成和性状:重组人凝血因子VIIa,20mg/ml人血白蛋白。冻干剂型
装量和标示量:1568IU/支
使用方法:用1.0ml无菌水复溶后备用
储存条件:-20℃以下
注意事项:非人用品。复溶后的标准品冰浴保存待用。禁止冻融。
·广藿香油
编号:BP1117
英文名称:Cablin patchouli oil
规格:1ml
本品为重组人凝血因子VIIa标准品,由重组人凝血因子VIIa原液经缓冲液稀释后分装冻干而成。用于重组人凝血因子VIIa产品效价测定。
组成和性状:重组人凝血因子VIIa,20mg/ml人血白蛋白。冻干剂型
装量和标示量:1568IU/支
使用方法:用1.0ml无菌水复溶后备用
储存条件:-20℃以下
注意事项:非人用品。复溶后的标准品冰浴保存待用。禁止冻融。
·环-(甘*酰-谷*酰胺)
编号:BP1896
英文名称:Cyclo(-Gln-Gly)
规格:10mg/支
本品为环-(甘*酰-谷*酰胺)化学对照品,供甘*酰谷*酰胺有关物质检查。含量以C7H11N3O3计为99.5%。
CAS号:52662-00-7
分子式:C7H11N3O3
分子量:185.18
包装:3ml棕色安瓿
装量:10mg/支
储存条件:-20℃保存
注意事项:使用前不需干燥处理
·酒石酸托特罗定
编号:BP0557
英文名称:Tolterodine Tartrate
规格:50mg
本品为环-(甘*酰-谷*酰胺)化学对照品,供甘*酰谷*酰胺有关物质检查。含量以C7H11N3O3计为99.5%。
CAS号:52662-00-7
分子式:C7H11N3O3
分子量:185.18
包装:3ml棕色安瓿
装量:10mg/支
储存条件:-20℃保存
注意事项:使用前不需干燥处理
·赖诺普利
编号:BP0620
英文名称:Lisinopril
规格:100mg/支
本品为赖诺普利二水合物,供含量测定用。供HPLC法测定,按C21H31N3O5计,含量为90.7%。
CAS号:83915-83-7
分子式:C21H31N3O5·2H2O
分子量:441.52
包装及装量:棕色瓶,约100mg/支
储存条件:遮光,密封保存
注意事项:使用前不需干燥处理
我公司客户遍布大学、研究所、医院、卫生防疫、商品检验检疫、制药公司、生物技术公司和食品工业等单位。公司供应的羟基积雪草苷获得一致好评。其立足于生命科学领域,全力打造高品质生物科技产品链和技术服务链,也具备丰富的管理经验,同时我们建立了集技术支持、售后服务等多方位的服务体系。我们有激情、有理想,更有责任感,是您科研道路上值得信赖的伙伴。
公司的理念是:以诚信为本,努力打造优质品牌,为您提供全方位的售中、售后服务。
羟基积雪草苷由我公司长期专业供应,公司为广大顾客提供 羟基积雪草苷产品说明,生产厂家,价格,规格,哪里买 。公司遵循高品质的产品,高质量的技术服务,合理的价格,是国内研发与生产,销*(代"售")合为一体的一家大型企业,我们承诺:以最少的经费,最高的效率,得到您最需要的实验结果,同时我们承诺,若有质量问题,无条件退换。
北京百莱博科技有限公司专业生产标准品对照品产品,欢迎来电咨询选购羟基积雪草苷对照品促销。
风险提示:丁香通仅作为第三方平台,为商家信息发布提供平台空间。用户咨询产品时请注意保护个人信息及财产安全,合理判断,谨慎选购商品,商家和用户对交易行为负责。对于医疗器械类产品,请先查证核实企业经营资质和医疗器械产品注册证情况。
文献和实验【信息】【新年促销】德国IBL儿茶酚胺类ELISA试剂盒优惠大促销 5.5~7.5折优惠
德国IBL国际有限公司是一家有着近30年经验的专业医疗诊断试剂研发制造商,其产品均已经通过ISO9001、ISO13485和欧洲CE认证,并且通过了美国FDA的认证。公司产品系列包括生物胺系列、传染病系列、新生儿筛查系列及不孕系列等ELISA产品及放免产品。深圳市科润达生物工程有限公司,为德国IBL公司中国(含港澳地区)独家代理商!现我公司推出德国IBL儿茶酚胺/生物胺类检测试剂优惠大促销活动,即日起,通过深圳科润达生物购买德国IBL儿茶酚胺/生物胺类产品,即可获得5~7.5折优惠! 活动时间
和TMB敏感,但空白值极低,也为一些试剂盒所采用。 另一种HRP的底物为3-(4-羟基)苯丙酸[3-(4-hydroxy)phenly propionic acid,HPPA],经HRP作用后,产物显荧光,可用荧光光度计测量。用于ELISA的优点为可加宽定量测定的线性范围。 HRP对氢受体的专一性很高,仅作用于H2O2、小分醇的过氧化物和尿素过氧化物(urea peroxide)。H2O2应用最多,但尿素过氧化物为固体,作为试剂较H2O2方便、稳定。试剂盒供应尿素过氧化物片剂,用蒸馏
RP-HPLC法测定金钱草中槲皮素和山奈素两种黄酮成分的含量
含量测定的方法在文献中少见报道。 我们应用RP-HPLC法对其中的两种黄酮成分进行含量测定,为质量标准研究提供科学依据。 1 仪器与试药 瑞士Mettler Toledo AG285电子天平;DZF-1真空干燥箱;ZQ-250 超声波清洗 器;美国安捷伦公司高效 液相色谱 仪Agilentl100 Series,配置四元泵,自动进样器(进样范围为0.1~100μ1),紫外可见光检测器,柱温箱,在线真空脱气泵,色谱工作站等。 槲皮素和山奈素对照品均由中国
技术资料暂无技术资料 索取技术资料









