相关产品推荐更多 >
万千商家帮你免费找货
0 人在求购买到急需产品
- 详细信息
- 技术资料
- 库存:
971
- 英文名:
Ginkgolide A
- CAS号:
15291-75-5
- 保质期:
长期
- 供应商:
北京百奥莱博科技有限公司
特别声明:本产品及我公司所售其他产品均为科研类试剂产品,严禁用于药物、医疗及其他非科研用途。
百奥莱博公司致力于为全国科研单位提供药典标准品、对照品、标准溶液、标准样品、对照培养基、国家标准品等可靠标准物质,其中银杏内酯A对照品现货价格的品质过硬,在广大科研人员中有口皆碑!
名称:银杏内酯A对照品现货价格
编号:BP1138
产地:国产|进口
英文名:Ginkgolide A
品牌:百奥莱博
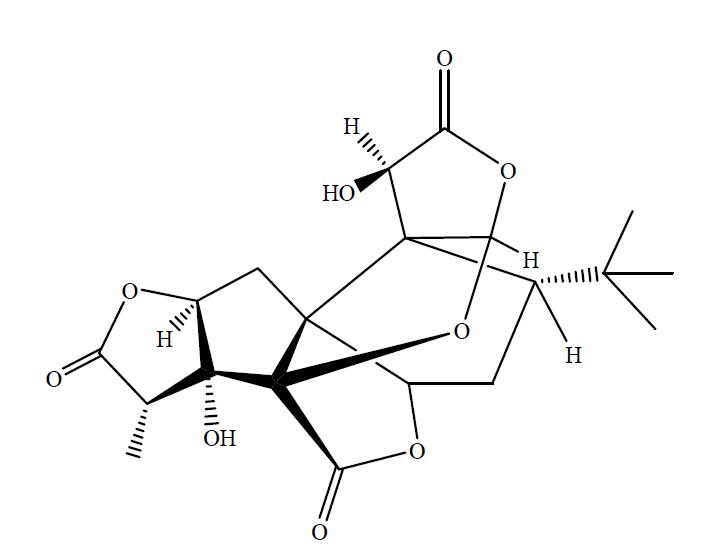
本品为银杏内酯A化学对照品,供鉴别和含量测定用,含量以97.4%计,使用前不需干燥处理。
CAS号:15291-75-5
分子式:C20H24O9
分子量:408.40
结构式:

包装:棕色安瓿
规格:约20mg/支
储存条件:冷冻保存
除银杏内酯A对照品现货价格外,我公司正在打折促销以下产品:
·盐*(代"酸")安非他酮杂质Ⅰ(3-**丙*(代"酮"))
编号:BP1004
英文名称:Bupropion Hydrochloride Impurity Ⅰ(3-chloropropiophenone)
规格:20mg/支
本品为盐*(代"酸")安非他酮杂质Ⅰ(3-**丙*(代"酮"))化学对照品,使用前不需干燥处理,供HPLC法系统适用性试验用。
CAS号:34841-35-5
分子式:C9H9ClO
分子量:168.5
包装:棕色西林瓶规格:约20毫克/支
储存条件:遮光,密闭,10~30℃保存。
·重组人生长激素
编号:BP1798
英文名称:Recombinant human growth hormone
规格:1.0mg/支
本品为重组人生长激素生物标准品,供鉴别、含量及生物活性测定用。以单体重组人生长激素计,为1.0mg(3.0IU)/支。使用前无需称量,直接使用。
CAS号:82030-87-3
分子式:C990H1528N262O300S7
分子量:22125
结构式:

包装:无色西林瓶
规格:1.0mg(3.0IU)/支。
储存条件:遮光,密闭,-20℃以下
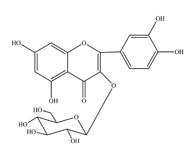
·杯苋甾酮
编号:BP1374
英文名称:Cyasterone
规格:约20mg/支
本品为杯苋甾酮化学对照品,鉴别或含量测定用,含量以95.3%计,使用前不需干燥处理。
CAS号:17086-76-9
分子式:C29H44O8
分子量:520.65
结构式:

包装:棕色安瓿
规格:约20mg/支
储存条件:冷处(2~10℃)
注意事项:本品有引湿性,建议打开包装一次性使用完。
银杏内酯A对照品现货价格关键词:15291-75-5,银杏内酯A,Ginkgolide A
我公司是一家集研发、销*(代"售")、实验室技术服务于一体的高科技企业。 多年来一直处于行业前沿。我们专业经营培养基、生化试剂、银杏内酯A、进口ELISA试剂盒、化工产品、实验室消耗品、实验室耗材以及实验室器材。产品涉及分子生物学、细胞生物学、细菌学、遗传学、免疫学、生物化学、蛋白质学、细胞治疗等领域。
胰蛋白酶-EDTA溶液 0.05%:0.02%|0.25%:0.02% 100ml
PY01-052 麦芽浸膏 进分 100克
3,5-二碘-L-酪*酸 Diphenylcarbazone 300-39-0或18835-59-1
ARB10316 人中性粒细胞明胶酶相关脂质运载蛋白(NGAL)ELISA代测服务 Human neutrophil gelatinase-associated lipocalin,ngal ELISA KIT
磷霉素* dATP,2Na 26016-99-9
003006 小鼠血浆
ARB11828 人踝蛋白(tAlIn)Elisa定量检测 Human talin ELISA KIT
ARB13845 猪弓形虫抗体(Tox-Ag)代做ELISA实验
BTN60804 PCR抑制物清除剂 PCR Inhibitor Erasol
PC3501 快速植物DNA提取扩增套装
ARB12836 小鼠巨噬细胞炎性蛋白1δ(MIP-1δ/CCL15)检测服务 Mouse macrophage inflammatory protein 1δ,mip-1δ ELISA KIT
ARB12531 大鼠氧化低密度脂蛋白抗体(OLAb)elisa测定使用说明书 Rat oxidized lowdensity lipoprotein antibody,olab ELISA KIT
ARB10497 人白介素受体相关激酶(IRAK)ELISA代测服务 Human interleukin receptor associated kinase,irak ELISA KIT
*化底醚翁 Glycerol phosphate calcium salt 518-67-2?
银杏内酯A对照品现货价格关键词:15291-75-5,银杏内酯A,Ginkgolide A
银杏内酯A的不同等级:
除了优级纯、分析纯、化学纯、实验试剂外,目前市场上尚有:基准试剂(PT):专门作为基准物用,可直接配制标准溶液。光谱纯试剂(SP):表示光谱纯净。但由于有机物在光谱上显示不出,所以有时主成分达不到99.9%以上,使用时必须注意,特别是作基准物时,必须进行标定。纯度远高于优级纯的试剂叫做高纯试剂(≥ 99.99%)。
一般化学试剂的品级:一级试剂、二级试剂、三级试剂、四级试剂
国内标准名称:优级纯(保证试剂)、分析纯、化学纯 、实验试剂
国内标签颜色:绿色、红色、蓝色、中黄色
罗丹宁 Basic Blue 26 141-84-4
BL0776 Matrigel(基底胶)
BOC-L-脯*醇 Nitrofurantoin 69610-40-8
ARB12581 大鼠凋亡诱导因子(AIF)定量分析 Rat apoptosis inducing factor,aif ELISA KIT
ARB11470 人胰岛素样生长因子2(IGF-2)ELISA检测服务 Human insulin-like growth factors 2,igf-2 ELISA KIT
乙酸龙脑酯 IAA 5655-61-8
90-05-1 α-甲氧基酚(愈创木酚)α-Methoxyphenol
ARB13183 小鼠胰岛素自身抗体(IAA)Elisa定量检测 Mouse insulin autoantibodies,iaa ELISA KIT
ARB11171 人单核细胞趋化蛋白2(MCP-2/CCL8)免费代测 Human monocyte chemotactic protein 2,mcp-2 ELISA KIT
ARB13475 鸡表皮生长因子(EGF)酶联免疫定量检测 Chicken epidermal growth factor,egf ELISA KIT
ARB11676 人趋化因子(frActAlkIne/CX3CL1)检测服务 Human fractalkine/cx3cl1 ELISA KIT
四丁基硫*(代"酸")*铵 DL-Serine methyl ester hydrochloride 32503-27-8
ARB12257 大鼠血管舒缓激肽(BK)elisa检测 Rat bradykinin,bk ELISA KIT
停影液 500ml
ARB13162 小鼠载脂蛋白E(Apo-E)血清中含量检测 Mouse apolipoprotein e,apo-e ELISA KIT
ARB13549 兔子α2抗纤溶酶(α2-AP)Elisa定量检测 Rabbit α2-antiplasmin,α2-ap ELISA KIT
银杏内酯A怎样保存?
一般试剂可保存在玻璃瓶内; 对玻璃有强烈腐蚀作用的试剂,如**酸、*氧化*应保存在聚乙*(代"烯")塑料瓶内; 易被空气氧化、分化、潮解的试剂应密封保存;易感光分解的试剂应用有色玻璃瓶贮存并藏于暗处; 易受热分解及低沸点溶剂,应存于冷处; 剧毒试剂应存于保险箱; 有放射性的试剂应存于铅罐中。如果化学试剂保管不当,就会失效变质,影响实验的效果,并造成物质的浪费,甚至有时还会发生事故。因此,科学地保管好试剂对于保证实验顺利进行,获得 可靠的实验数据具有非常重要的意义。
我公司强烈推荐标准品对照品系列产品,热情期待您的咨询选购银杏内酯A对照品现货价格。
风险提示:丁香通仅作为第三方平台,为商家信息发布提供平台空间。用户咨询产品时请注意保护个人信息及财产安全,合理判断,谨慎选购商品,商家和用户对交易行为负责。对于医疗器械类产品,请先查证核实企业经营资质和医疗器械产品注册证情况。
技术资料暂无技术资料 索取技术资料









