相关产品推荐更多 >
万千商家帮你免费找货
0 人在求购买到急需产品
- 详细信息
- 技术资料
- 库存:
559
- 英文名:
Chlorhexidine Hydrochloride
- 保质期:
长期
- 供应商:
北京百奥莱博科技有限公司
- 保存条件:
冷藏
特别声明:本产品及我公司所售其他产品均为科研类试剂产品,严禁用于药物、医疗及其他非科研用途。
北京百奥莱博公司供应包括盐*(代"酸")*己定对照品现货在内的化学标准品,化学对照品,杂志对照品,HPLC标准品,UV标准品等高品质标准品、对照品
名称:盐*(代"酸")*己定对照品现货
品牌:百奥莱博
英文名:Chlorhexidine Hydrochloride
规格:100mg
编号:BP0316
产地:国产|进口
想要了解更多关于盐*(代"酸")*己定对照品现货的价格、品牌、厂家、说明书、促销信息,请和我们联*(代"系")。此外我公司还销*(代"售")下面的产品:
曲利*蓝 Palladium on carbon hydrogenation 72-57-1
锌检测试剂盒(吡*(代"啶")偶氮酚比色法) 60T|120T
ARB13487 鸡神经胶质纤维酸性蛋白(GFAP)定量分析 Chicken glial fibrillary acidic protein,gfap ELISA KIT
BTN3091 液相RNase清除剂 Solution RNase Erasol
ARB11939 大鼠5羟色胺(5HT)elisa检测操作说明书 ?Rat 5-hydroxytryptamine,5ht ELISA KIT
DP418 RNAsin
SJ0402 Linoleic acid 亚油酸
ARB10484 人白介素2(IL-2)elisa测定使用说明书 Human interleukin 2,IL-2 ELISA KIT
PY02-183 麦芽汁琼脂 250克
SJ0355 Insulin 牛胰岛素
CYB165019 生物素化羊抗兔IgG
ARB13944 猪促卵泡素(FSH)ELISA检测服务 Porcine follicle-stimulating hormone,fsh ELISA KIT
ARB12814 小鼠乙型肝炎核心抗体(HBcAb)定量分析 Mouse hepatitis b virus core antibody,hbcab ELISA KIT
ARB11036 人纽蛋白(VCL)检测服务 Human vinculin,vcl ELISA KIT
盐*(代"酸")*己定对照品现货关键词:Chlorhexidine Hydrochloride,BP0316,盐*(代"酸")*己定
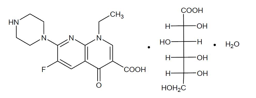
·葡萄糖酸依诺沙星
编号:BP1717
规格:100mg
本品为葡萄糖酸依诺沙星化学对照品,供红外鉴别用,使用前不需干燥处理。
分子式:C15H17FN4O3·C6H12O7·H2O
分子量:534.50
结构式:

包装:白色安瓿
规格:约100毫克/支
储存条件:2-8℃保存
·20(s)-人参皂苷Rh2
编号:BP1336
英文名称:20(S)-Ginsenoside Rh2
规格:20mg
本品为人参皂苷Rh2化学对照品,供含量测定用,置五氧化二磷减压干燥器中干燥12小时以上使用。
CAS号:78214-33-2
分子式:C36H62O9
分子量:622.87
结构式:

包装及装量:棕色瓶装,约20mg/支
储存条件:冷冻保存
·硫鸟嘌呤
编号:BP1895
英文名称:Tioguanine
规格:100mg/瓶
本品为硫鸟嘌呤化学对照品,含量为99.5%,供硫鸟嘌呤和硫鸟嘌呤片HPLC 鉴别与含量测定用。
分子式:C5H5N5S
分子量:167.19
包装及装量:2ml 西林瓶,每瓶约100mg
储存条件:遮光,密封保存。
注意事项:使用前不需干燥处理。
盐*(代"酸")*己定对照品现货关键词:Chlorhexidine Hydrochloride,BP0316,盐*(代"酸")*己定
为何选择百奥莱博公司的盐*(代"酸")*己定?
我公司是一家专业从事“产品研发生产、市场销*(代"售")、技术服务”为一体的高科技生物技术公司,公司生产的盐*(代"酸")*己定质量有保证,含量高,能够给实验带来准确的结果。同时能为用户更好的解决各种疑难问题。如有需要可联*(代"系")我司销*(代"售")人员,我们将竭诚为您服务。
硼砂缓冲液(pH9.3-10.1) 0.05mol/L 500ml
月桂酸甲酯 4-Nitrobenzaldehyde 111-82-0
37340-57-1 Lyticase 溶壁酶
5486-84-0 固蓝BB盐 Fast Blue BB Salt
羟基*酚蓝 Methyl Icosanoate 63451-35-4
9014-63-5 Xylan 木聚糖(来源于榉树)
56-41-7 L-Alanine L-丙*酸
任氏液 Z-Gly-Pro-Arg PNA acetate salt
ARB13059 小鼠肾上腺髓质素(ADM)elisa检测说明书 Mouse adrenomedullin,adm ELISA KIT
氧化型谷胱甘肽(GSSG)检测试剂盒(DTNB速率比色法) 100T
ARB10475 人白介素13(IL-13)elisa测定使用说明书 Human interleukin 13,IL-13 ELISA KIT
*化乙酰胆碱 N-Acetyl-DL-Methionine 66-23-9
环保组织固定液(浓缩型) 500ml|5L
ARB13280 小鼠颗粒酶B(Gzms-B)含量检测 Mouse granzymes b,gzms-b ELISA KIT
7447-41-8 Lithium Chloride *化*
丙*(代"烷")磺酸*一水物 Disodiu*(代"m") zinc ethylenediamin*(代"e")tetraacetate tetrahydrate 304672-01-3
ARB14205 人组蛋白(Histone)Elisa定量检测
ARB12403 大鼠组织因子(TF)elisa检测操作说明书 Rat tissue factor,tf ELISA KIT
我公司是一家专业经营生化试剂、仪器、盐*(代"酸")*己定、实验室耗材的公司,代理许多国际先进水平的高科技产品,包括分子生物学、细胞生物学、免疫学等多个研究及应用领域。我们努力将欧美专业生产厂家的具有国际先进水平的产品推荐给各类研究人员;另一方面也非常重视自主产品研究和开发,推出了一系列具有竞争力的产品和服务。同时国家对于生物行业的发展给予了极大的重视,更多地侧重于科研的投入。
盐*(代"酸")*己定特价促销,价格合理,售后服务完善,确属质量问题可包换包退,免除您的后顾之忧。工作时间内可免费技术咨询和指导,我们将竭尽我们的全力为您服务,争取包您100%满意,欢迎新老客户来电订购!
北京百莱博科技有限公司专业生产供应销*(代"售")生物试剂、化学试剂、抗原抗体、血清血浆、Elisa试剂盒,更多试剂产品需求,欢迎来电咨询选购盐*(代"酸")*己定对照品现货。
风险提示:丁香通仅作为第三方平台,为商家信息发布提供平台空间。用户咨询产品时请注意保护个人信息及财产安全,合理判断,谨慎选购商品,商家和用户对交易行为负责。对于医疗器械类产品,请先查证核实企业经营资质和医疗器械产品注册证情况。
技术资料暂无技术资料 索取技术资料










