万千商家帮你免费找货
0 人在求购买到急需产品
- 详细信息
- 文献和实验
- 技术资料
- 库存:
883
- 英文名:
Luteolin-7-O-glucoside
- CAS号:
5373-11-5
- 保质期:
长期
- 供应商:
北京百奥莱博科技有限公司
特别声明:本产品及我公司所售其他产品均为科研类试剂产品,严禁用于药物、医疗及其他非科研用途。
北京百奥莱博公司供应包括北京木犀草苷标准品现货在内的化学标准品,化学对照品,杂志对照品,HPLC标准品,UV标准品等高品质标准品、对照品
名称:北京木犀草苷标准品现货
产地:国产|进口
品牌:百奥莱博
英文名:Luteolin-7-O-glucoside
本品为木犀草苷化学对照品,供鉴别和含量测定用,含量以94.9%计,使用前不需干燥处理。
CAS号:5373-11-5
分子式:C21H20O11
分子量:448.38
结构式:

包装:棕色安瓿
规格:约20mg/支
储存条件:冷冻保存
注意事项:本品有引湿性,开封后一次使用完毕。
北京木犀草苷标准品现货正在火爆热销,除此之外,为您推荐下别热销产品:
PY01-123 蛋黄粉 250克
BL1414 "Western blotting(小鼠IgG)
61-90-5 L-Leucine L-亮*酸
游离血红蛋白检测试剂盒(邻-甲联*(代"*")*(代"胺")比色法) 50T|100T
ARB12674 大鼠雌激素(E2)elisa检测操作说明书 Rat estradiol,e2 ELISA KIT
1132-61-2 MOPS 3-(N-吗*(代"啡")啉)丙磺酸
ARB12523 大鼠热休克蛋白糖蛋白96(HSP gp96)定量分析 Rat heat shock protein glycoprotein 96,hsp gp96 ELISA KIT
7725-54-0 过硫*(代"酸")胺 Ammonium Persulfate
ARB12646 大鼠游离睾酮(F-TESTO)尿液中含量检测 Rat free testoterone,f-testo ELISA KIT
ARB12276 大鼠纤溶酶抗纤溶酶复合物(PAP)ELISA检测服务 Rat plasmin-antiplasmin complex,pap ELISA KIT
肌醇 Rose Bengal 87-89-8
ARB13142 小鼠总胆汁酸(TBA)酶免分析
Taq Platinum DNA Polymerase
ARB13786 豚鼠白介素12(IL-12/P70)免费代测 Guinea pig interleukin-12,IL-12/p70 ELISA KIT
BTN120628 GTP溶液,100mM GTP Solution
ARB13440 鸡白介素1(IL-1)含量分析 Chicken interleukin 1,IL-1 ELISA KIT
CYB165008 生物素化羊抗人IGM
BTN91106 T7体外转录试剂盒 T7 in vitro Transcription Kit
*黄绿素二*盐 4-(4-Nitrophenylazo)-1-naphthol 108750-13-6
ARB14207 人甲肝病毒抗体IgG(HAV-IgG)ELISA检测服务
BL1240 溶菌酶(100mg/ml)
北京木犀草苷标准品现货关键词:5373-11-5,木犀草苷,Luteolin-7-O-glucoside
·盐*(代"酸")加替沙星
编号:BP1686
英文名称:Gatifloxacin Hydrochloride
规格:100mg
本品为盐*(代"酸")加替沙星化学对照品,供红外鉴别用,使用前不需干燥处理。
CAS号:160738-57-8
分子式:C19H22FN3O4·HCl
分子量:471.50
包装:棕色安瓿
规格:约100毫克/支
储存条件:2-8℃保存
·右旋糖酐分子量标准(套)
编号:BP1799
英文名称:Dextran Standard D0
规格:100mg/瓶
本品为右旋糖酐分子量标准套(10 种)化学对照品,供右旋糖酐系列与右旋糖酐铁分子量与分子量分布检查用,右旋糖酐D0 与D2000 为系统适应性试验用。
分子量:
右旋糖酐D0 Mp180;
右旋糖酐D1 Mp2700;
右旋糖酐D2 Mp5250;
右旋糖酐D3 Mp9750;
右旋糖酐D4 Mp13050;
右旋糖酐D5 Mp36800;
右旋糖酐D6 Mp64650;
右旋糖酐D7 Mp135350;
右旋糖酐D8 Mp300600;
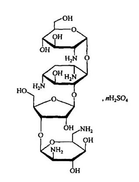
·巴龙霉素
编号:BP1585
英文名称:Paromomycin
规格:200mg
本品为巴龙霉素标准品,供抗生素微生物效价测定用,使用前不需干燥处理。
CAS号:1263-89-4
分子式:C23H45N5O14·nH2SO4
结构式:

包装:白色安瓿
规格:约200毫克/支
储存条件:2-8℃保存
北京木犀草苷标准品现货关键词:5373-11-5,木犀草苷,Luteolin-7-O-glucoside
为何选择百奥莱博公司的木犀草苷?
我公司是一家专业从事“产品研发生产、市场销*(代"售")、技术服务”为一体的高科技生物技术公司,公司生产的木犀草苷质量有保证,含量高,能够给实验带来准确的结果。同时能为用户更好的解决各种疑难问题。如有需要可联*(代"系")我司销*(代"售")人员,我们将竭诚为您服务。
9001-12-1 CollagenaseⅤ 胶原酶Ⅴ
ARB14017 绵羊胰岛素样生长因子1(IGF-1)elisa检测 Sheep insulin-like growth factor-i,igf-i ELISA KIT
Tris-HCl缓冲液(pH7.0~9.0) 0.01mol/L|0.05mol/L|0.1mol/L|0.5mol/L|1mol/L 500ml
ARB12284 大鼠抗IgE受体抗体血清中含量检测 Rat anti-ige receptor antibody ELISA KIT
BTN70104 核酸印迹膜染液 Nucleic Acid Membrane Stain
PY02-303 5%乳糖发酵管培养基 250克
ARB13343 牛α-乳清蛋白(α-lActAlbumIn)代做ELISA实验
蜂蜡 POPSO-2Na 8012-89-3
异硫*酸荧光素 DMPPDA?2HC1 3326-32-7
ARB13155 小鼠诱导型一氧化*(代"氮")合成酶(INOS)检测服务 含量 Mouse inducible nitric oxide synthase,inos ELISA KIT
ARB12572 大鼠脑源性神经营养因子(BDNF)含量分析 Rat brain derived neurotrophic facor,bdnf ELISA KIT
BTN131037 Tfl DNA聚合酶 Tfl DNA Polymerase
脂肪酶(LPS)检测试剂盒(比浊比色法) 50T|100T
头孢*苄 BOC-L-Prolinol 15686-71-2
链亲和素 Sodium phenylpyruvate 9013-20-1
BL1435 1M Tris-HCl(PH=7.5)
PY08-076 磷酸盐缓冲液 9ml 20支/盒 用作稀释液
ARB13520 鱼维生素D3(VD3)ELISA酶免分析
F030229 HRP标记兔抗人Ig抗体 Rabbit Anti-Human Ig*HRP
KG203 快速DNA提取检测试剂盒
B0601 山羊血清(辐照灭菌) 100ml/200ml/500ml/500ml*20瓶
木犀草苷等产品报价含税含运费,全程免费技术支持。我公司产品种类齐全,提供订制包装,免费快递送货上门,质量保证,欢迎来电购买!
木犀草苷由我公司优惠供应,公司常年现货,欢迎广大科研工作者及经销商同仁前来咨询选购,另外公司专业从事进口科研生化试剂的批发及零售业务,产品涉及分子生物学、细胞生物学、免疫学、生物化学等诸多生命科研领域。因公司业务发展的需要,现诚征各地经销代理商,欢迎有志从事本行业的精英、同行莅临指导。
我公司正在火爆促销标准品对照品系列产品,欢迎您的垂询选购北京木犀草苷标准品现货。
风险提示:丁香通仅作为第三方平台,为商家信息发布提供平台空间。用户咨询产品时请注意保护个人信息及财产安全,合理判断,谨慎选购商品,商家和用户对交易行为负责。对于医疗器械类产品,请先查证核实企业经营资质和医疗器械产品注册证情况。
文献和实验就到 有些抗体有现货,有些抗体没有现货,需要订购。 米宝 只有等着了。。 bianbenjamin 中山金桥,北京的,他们的二抗也是jakson分装的,我个人觉得二抗没有那么关键。 米宝 今天做上了。。问公司要了点进口分装的。。明天看出不出结果了。。晕 米宝 出结果了!结果条带比较杂,但是p-akt还是比较清楚的!另外,出现诡异现象就是,无法解释!糖
93311chen 本人在做荧光定量PCR是要用到NF-kB&β-actin标准品,请问哪里有卖!? jmfan Sigma公司应该有卖, 楼主可以直接上sigma公司网页,网址http://www.sigmaaldrich.com/Local/SA_Splash.html 或者和sigma公司中国分公司联系,网址 http://www.sigmaaldrich.com/Area
0.002% (w/w),或在1% BSA溶液中脂肪酸浓度 作用:可用于测定培养的组织细胞释放的游离脂肪酸浓度等。 4、 牛血清白蛋白(无蛋白酶),或者称为无Protease 牛血清白蛋白,或者称为Protease Free BSA,产品不含有DNAse酶、蛋白酶以及IgG,如Equitech bio公司货号为BAH67的BSA(我们公司长期有现货供应)和wako货号为:010-15131的牛血清蛋白。 作用
技术资料暂无技术资料 索取技术资料










