相关产品推荐更多 >
万千商家帮你免费找货
0 人在求购买到急需产品
- 详细信息
- 文献和实验
- 技术资料
- 库存:
925
- 英文名:
Baclofen
- 保质期:
长期
- 供应商:
北京百奥莱博科技有限公司
- 保存条件:
冷藏
特别声明:本产品及我公司所售其他产品均为科研类试剂产品,严禁用于药物、医疗及其他非科研用途。
百奥莱博公司致力于为全国科研单位提供药典标准品、对照品、标准溶液、标准样品、对照培养基、国家标准品等可靠标准物质,其中巴*芬标准品大量库存促销的品质过硬,在广大科研人员中有口皆碑!
名称:巴*芬标准品大量库存促销
规格:100mg
编号:BP0702
品牌:百奥莱博
产地:国产|进口
关于巴*芬标准品大量库存促销的更详细说明,请致电我公司咨询,我们将以最饱满的热情为您提供解答,此外,我公司专业供应下列产品:
无水亚硫*(代"酸")* 2′-dG 10117-38-1
9003-98-9 (Dnase Ⅰ)DeoxyribonueleaseⅠ
BTN130924 口腔采样拭子 Oral Swab
亚硫*(代"酸")**溶液 1%|5% 500ml
FMOC-L-亮*酸 D-Prolinol 35661-60-0
11089-65-9 衣霉素 Tunicamycin
ARB12198 大鼠半胱*酸蛋白酶抑制剂/胱抑素C(Cys-C)代做ELISA实验 Rat cystatin c,cys-c ELISA KIT
E0620 抗凝裂解驴血
PY08-027 FRASER增菌液 10ml 10支/盒,用于李斯特氏菌的选择性分离培养
A0101 胎牛血清(无菌采制)
L-天门冬*酸*盐 Egg yolk powder 3792-50-5
F020224 兔抗大鼠IgG抗体 Rabbit Anti-Rat IgG
维生素C检测试剂盒(铜氧化微板法) 100T
65455-52-9 Percoll 细胞分离液(1.131)
ARB11611 人脱氧核糖核酸酶I(DNAse-I)Elisa定量检测 Human deoxyribonuclease i,dnase-i ELISA KIT
改良Weigert弹力纤维染色液 5×50ml
9001-12-1 胶原酶Ⅴ CollagenaseⅤ
ARB12920 小鼠白细胞介素4(IL-4)酶标法分析 Mouse interleukin 4,IL-4 ELISA KIT
ARB14024 植物生长激素(GH)定量分析 Plant growth hormone,gh ELISA KIT
137-16-6 Sodlum Lauroylsarcosine 十二烷基肌*酸*
芥子酸 GSH-Px 530-59-6
CYB166012-D 兔抗大鼠IgG-GOLD
巴*芬标准品大量库存促销关键词:Baclofen,巴*芬,BP0702
·月桂酸甲酯
编号:BP2081
英文名称:Methyl Laurate
规格:1ml/支
本品为月桂酸甲酯化学对照品,仅供月桂山梨坦(司盘20)品种项下脂肪酸组成检查用,使用前不需干燥处理。
CAS号:111-82-0
分子式:C13H26O2
分子量:214.3
包装:棕色安瓿
规格:约1ml/支
储存条件:遮光、常温保存
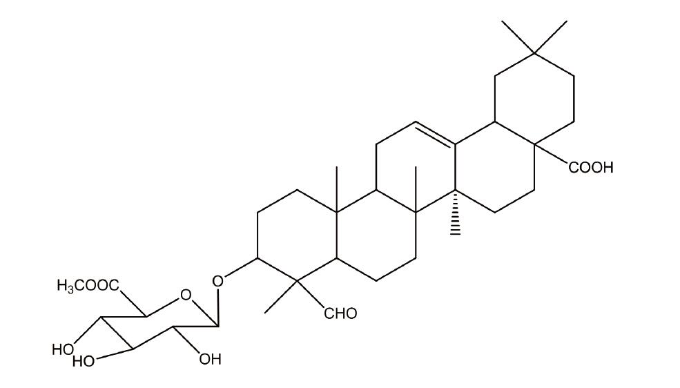
·丝石竹皂苷元-3-O-β-D-葡萄糖醛酸甲酯
编号:BP1489
英文名称:gypsogenin-3-O-β-D-glucuronide methyl ester
规格:20mg
本品为丝石竹皂苷元-3-O-β-D-葡萄糖醛酸甲酯化学对照品,供鉴别和含量测定用,含量以97.5%计。
CAS号:96553-02-5
分子式:C37H56O10
分子量:660
结构式:

包装及装量:棕色安瓿瓶,约20mg/支。
储存条件:干燥避光。
注意事项:本品具有引湿性,打开后一次性使用完毕。使用前无需处理。
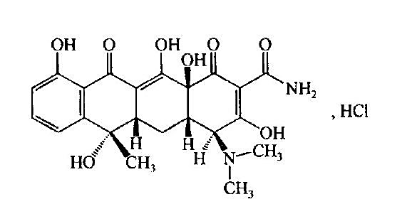
·盐*(代"酸")四环素
编号:BP1640
英文名称:Tetracycline Hydrochloride
规格:200mg
本品为盐*(代"酸")四环素化学对照品,供HPLC法含量测定用,以C22H24N2O8·HCl计,含量为98.4%,使用前不需干燥处理。
CAS号:64-75-5
分子式:C22H24N2O8·HCl
分子量:480.90
结构式:

包装:棕色安瓿
规格:200mg/支
储存条件:2-8℃避光保存
巴*芬标准品大量库存促销关键词:Baclofen,巴*芬,BP0702
我公司立足北京,辐射全国。随着产品战略的不断延伸,产品理念的不断完善,百奥莱博将逐步成长为一流的生化试剂供应商,并一如既往的为您提供优质的巴*芬和完善的售后服务,与您一起携手整合各自的优势资源,竭尽全力支持您的事业,为中国生命科学的发展贡献一份力量。
·去氧*尿苷
编号:BP0490
英文名称:Doxifluridine
规格:100mg
本品为去氧*尿苷(5’-脱氧-5-*尿苷)化学对照品,供含量测定用。
分子式:C9H11FN2O5
分子量:246.20
CAS号:3094-09-5
包装及装量:棕色小瓶装,每支约100毫克。
储存条件:遮光,密闭保存。
注意事项:使用前不需干燥处理。
·肉桂油
编号:BP1202
英文名称:Oleum cinnamomi
规格:0.2ml
本品为去氧*尿苷(5’-脱氧-5-*尿苷)化学对照品,供含量测定用。
分子式:C9H11FN2O5
分子量:246.20
CAS号:3094-09-5
包装及装量:棕色小瓶装,每支约100毫克。
储存条件:遮光,密闭保存。
注意事项:使用前不需干燥处理。
·硫*(代"酸")特布他林
编号:BP0219
英文名称:Terbutaline Sulfate
规格:100mg/支
本品为硫*(代"酸")特布他林的化学对照品,供含量测定用。按(C12H19NO3)2·H2SO4计,供HPLC法测定, 含量为99.8%;供UV法测定,含量为100.0%。
分子式:(C12H19NO3)2·H2SO4
分子量:548.66
CAS号:23031-32-5
包装及装量:棕色小瓶装,每支约100毫克。
储存条件:遮光,密封保存
注意事项:105℃干燥2小时后使用。
·联*(代"*")苄醇
编号:BP0262
英文名称:Bifonol
规格:50mg
本品为硫*(代"酸")特布他林的化学对照品,供含量测定用。按(C12H19NO3)2·H2SO4计,供HPLC法测定, 含量为99.8%;供UV法测定,含量为100.0%。
分子式:(C12H19NO3)2·H2SO4
分子量:548.66
CAS号:23031-32-5
包装及装量:棕色小瓶装,每支约100毫克。
储存条件:遮光,密封保存
注意事项:105℃干燥2小时后使用。
·加巴喷丁
编号:BP0504
英文名称:Gabapentin
规格:100mg/支
本品为加巴喷丁化学对照品,供加巴喷丁胶囊、片剂质量标准中高效液相色谱法含量测定、溶出度检查时作对照用;含量以C9H17NO2计,为99.8%
CAS号:60142-96-3
分子式:C9H17NO2
分子量:171.24
包装及装量:棕色西林瓶装。100mg/支。
储存条件:遮光,密闭保存。
注意事项:使用前不需干燥,可直接使用。
·环孢素
编号:BP1646
英文名称:Ciclosporin
规格:100mg
本品为环孢素化学对照品,供高效液相含量测定用,含量以环孢素(C62H111N11O12)计。
使用方法:使用前不需要干燥处理。精密称取适量,按标准规定的方法,配制至所需浓度的对照品溶液,立即使用。
储存条件:置5℃以下条件低温避光保存。启开安瓿后严密保持干燥,以防吸水。
为何选择百奥莱博公司的巴*芬?
我公司是一家专业从事“产品研发生产、市场销*(代"售")、技术服务”为一体的高科技生物技术公司,公司生产的巴*芬质量有保证,含量高,能够给实验带来准确的结果。同时能为用户更好的解决各种疑难问题。如有需要可联*(代"系")我司销*(代"售")人员,我们将竭诚为您服务。
我公司竭诚为广大科研用户提供最全面,最优质,价格最具优势的巴*芬,免费为您提供全程技术指导,解决您的后顾之忧。公司供应各种高品质科研试剂及各种规格包装定制,如有所需请联*(代"系")我们。
北京百莱博科技有限公司专业生产标准品对照品产品,欢迎来电咨询选购巴*芬标准品大量库存促销。
风险提示:丁香通仅作为第三方平台,为商家信息发布提供平台空间。用户咨询产品时请注意保护个人信息及财产安全,合理判断,谨慎选购商品,商家和用户对交易行为负责。对于医疗器械类产品,请先查证核实企业经营资质和医疗器械产品注册证情况。
文献和实验我最近在网上看到有公司在ELISA试剂盒的促销,好划算啊 我想把这个好消息,好资源与大家分享 几年来,博士德的ELISA试剂盒以优良的品质、卓越的性价比和良好的售后服务受到广大科研工作者的青睐。更因其品种齐全、操作简单、检测时间短、所需样品少而成为细胞因子检测的经典产品。公司生产的近270多种 ELISA 试剂盒,涉及分子生物学、分子免疫学、细胞生物学等生命科学研究的各个领域。公司总部位于武汉,代理商经销商遍及全国各地,形成了覆盖全国的有效服务网络,训练有素的专业人员能为客户提供技术
技术资料暂无技术资料 索取技术资料









