相关产品推荐更多 >
万千商家帮你免费找货
0 人在求购买到急需产品
- 详细信息
- 技术资料
- 库存:
大量
- 英文名:
Soyasaponin I
- 保质期:
1-3年
- 供应商:
上海沪震实业有限公司
- 保存条件:
常温或2-8℃保存
- 规格:
10mg
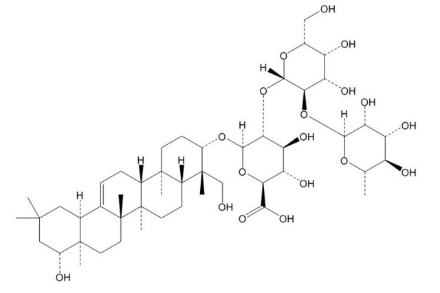
大豆皂苷I(51330-27-9)
【Product Name】 Soyasaponin I
【CAS Number】 51330-27-9
【Del.CASNumber】 55366-25-1,189220-80-2,220640-76-6,868560-68-3
【中文名称】 大豆皂苷I
【Chemical Name】 β-D-Glucopyranosiduronic acid, (3β,4β,22β)-22,23-dihydroxyolean-12-en-3-yl O-6-deoxy-α-L-mannopyranosyl-(1→2)-O-β-D-galactopyranosyl-(1→2)-
【Chemical Formula】 C48H78O18
【Molecular Weight】 943.13
【Chemotaxonomic Group】 三萜类 Triterpenoids

相关标准品-对照品列表:
| HZ18163-5g | 儿茶素(类) | Catechins | 989-51-5 | HZHZ,90% | 5g | 200.00 |
| HZ18165-5g | 阿特拉津 | AtHZazine | 1912-24-9 | HZHZ,97% | 5g | 350.00 |
| HZ18166-100ml | 除草剂 | HZasta | \N | 高纯 | 100ml | 580.00 |
| HZ18167-100g | 萎锈灵 | CaHZHZoxin | 5234-68-4 | HZHZ,97% | 100g | 150.00 |
| HZ18168-100mg | 氯磺隆 | CaHZHZoxin | 64902-72-3 | 95% | 100mg | 300.00 |
| HZ18168-500mg | 氯磺隆 | CaHZHZoxin | 64902-72-3 | 95% | 500mg | 800.00 |
| HZ18169-100mg | 利波腺苷 | 2iP HZiHZoside | 7724-76-7 | HZHZ,98% | 100mg | 1200.00 |
| HZ18169-500mg | 利波腺苷 | 2iP HZiHZoside | 7724-76-7 | HZHZ,98% | 500mg | 3500.00 |
| HZ18172-100g | 草双甘膦 | Glyphosate | 1071-83-6 | HZHZ,95% | 100g | 180.00 |
| HZ18172-500g | 草双甘膦 | Glyphosate | 1071-83-6 | HZHZ,95% | 500g | 400.00 |
| HZ18173-100mg | 嗪草酮 | MetHZiHZuzin | 21087-64-9 | HZHZ | 100mg | 350.00 |
风险提示:丁香通仅作为第三方平台,为商家信息发布提供平台空间。用户咨询产品时请注意保护个人信息及财产安全,合理判断,谨慎选购商品,商家和用户对交易行为负责。对于医疗器械类产品,请先查证核实企业经营资质和医疗器械产品注册证情况。
技术资料暂无技术资料 索取技术资料
大豆皂苷I(51330-27-9)
¥3300










