相关产品推荐更多 >
万千商家帮你免费找货
0 人在求购买到急需产品
- 详细信息
- 技术资料
- 库存:
大量
- 英文名:
Dipsacoside B
- 保质期:
1-3年
- 供应商:
上海沪震实业有限公司
- 保存条件:
常温或2-8℃保存
- 规格:
5mg/20mg
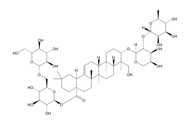
川续断皂苷乙(33289-85-9)
【Product Name】 Dipsacoside B
【CAS Number】 33289-85-9
【Synonyms】 Disacoside B; Nigelloside C
【中文名称】 川续断皂苷乙
【Chemical Name】 Olean-12-en-28-oic acid, 3-[[2-O-(6-deoxy-α-L-mannopyranosyl)-β-D-xylopyranosyl]oxy]-23-hydroxy-,6-O-β-D-glucopyranosyl-β-D-glucopyranosyl ester, (3β,4α)-
【Chemical Formula】 C53H86O22
【Molecular Weight】 1075.25
【Chemotaxonomic Group】 三萜类 Triterpenoids

相关标准品-对照品列表:
| HZ21646-50T | 葡萄糖检测试剂盒(葡萄糖脱氢酶微板法) | \N | \N | 50T | 580.00 | |
| HZ21647-50T | 葡萄糖检测试剂盒(葡萄糖脱氢酶比色法) | \N | \N | 50T | 1070.00 | |
| HZ21648-200T | 葡萄糖检测试剂盒(GOD-POD微板法) | \N | \N | 200T | 100.00 | |
| HZ21648-500T | 葡萄糖检测试剂盒(GOD-POD微板法) | \N | \N | 500T | 130.00 | |
| HZ21650-200T | 葡萄糖检测试剂盒(GOD-POD比色法) | \N | \N | 200T | 120.00 | |
| HZ21652-100T | 葡萄糖检测试剂盒(邻甲苯胺比色法) | \N | \N | 100T | 240.00 | |
| HZ21654-50T | 半乳糖检测试剂盒(半乳糖氧化酶比色法) | \N | \N | 50T | 380.00 | |
| HZ21658-50T | 全血乳酸检测试剂盒(比色法) | \N | \N | 50T | 550.00 | |
| HZ21659-50T | 丙酮酸检测试剂盒(二硝基苯肼比色法) | \N | \N | 50T | 370.00 | |
| HZ21662-50T | 全血丙酮酸检测试剂盒(酶微板法) | \N | \N | 50T | 590.00 | |
| HZ21663-50T | 全血丙酮酸检测试剂盒(酶比色法) | \N | \N | 50T | 590.00 | |
| HZ21664-100T | 血清β-羟丁酸检测试剂盒(酶比色法) | \N | \N | 100T | 2860.00 |
风险提示:丁香通仅作为第三方平台,为商家信息发布提供平台空间。用户咨询产品时请注意保护个人信息及财产安全,合理判断,谨慎选购商品,商家和用户对交易行为负责。对于医疗器械类产品,请先查证核实企业经营资质和医疗器械产品注册证情况。
技术资料暂无技术资料 索取技术资料
川续断皂苷乙(33289-85-9)
¥250 - 600









