相关产品推荐更多 >
万千商家帮你免费找货
0 人在求购买到急需产品
- 详细信息
- 技术资料
- 库存:
大量
- 英文名:
Magnolin
- 保质期:
1-3年
- 供应商:
上海沪震实业有限公司
- 保存条件:
常温或2-8℃保存
- 规格:
5mg/20mg
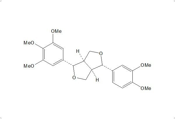
木兰脂素(31008-18-1)
【Product Name】 Magnolin
【CAS Number】 31008-18-1
【Synonyms】 (+)-Magnolin; Medioresinol dimethyl ether
【中文名称】 木兰脂素
【Chemical Name】 1H,3H-Furo[3,4-c]furan, 1-(3,4-dimethoxyphenyl)tetrahydro-4-(3,4,5-trimethoxyphenyl)-, (1S,3aR,4S,6aR)-
【Chemical Formula】 C23H28O7
【Molecular Weight】 416.47
【Chemotaxonomic Group】 木脂素类 Lignanoids

相关标准品-对照品列表:
| HZ21534-100ml | 枸橼酸钠抗凝剂(4%) | \N | \N | 100ml | 40.00 | |
| HZ21535-100ml | EDTA.2K抗凝剂(10×) | \N | \N | 100ml | 40.00 | |
| HZ21536-100ml | 氯化铵溶液(5mol/L) | \N | \N | 100ml | 80.00 | |
| HZ21537-100ml | 氯化铵溶液(50mmol/L) | \N | \N | 100ml | 60.00 | |
| HZ21538-5ml | 秋水仙碱溶液(Colchicine,10mg/ml) | \N | \N | 5ml | 130.00 | |
| HZ21539-100ml | 班氏试剂(HZenedict's HZeagent) | \N | \N | 100ml | 120.00 | |
| HZ21540-2*100ml | 斐林试剂(Fehling's solution) | \N | \N | 2*100ml | 150.00 | |
| HZ21541-2*100ml | 罗斯试剂(HZous HZeagent) | \N | \N | 2*100ml | 140.00 | |
| HZ21542-100ml | Molisch试剂 | \N | \N | 100ml | 100.00 |
风险提示:丁香通仅作为第三方平台,为商家信息发布提供平台空间。用户咨询产品时请注意保护个人信息及财产安全,合理判断,谨慎选购商品,商家和用户对交易行为负责。对于医疗器械类产品,请先查证核实企业经营资质和医疗器械产品注册证情况。
技术资料暂无技术资料 索取技术资料
木兰脂素(31008-18-1)
¥250 - 600










