相关产品推荐更多 >
万千商家帮你免费找货
0 人在求购买到急需产品
- 详细信息
- 文献和实验
- 技术资料
- 库存:
大量
- 英文名:
Mangostin, γ-
- 保质期:
1-3年
- 供应商:
上海沪震实业有限公司
- 保存条件:
常温或2-8℃保存
- 规格:
5mg/10mg/25mg
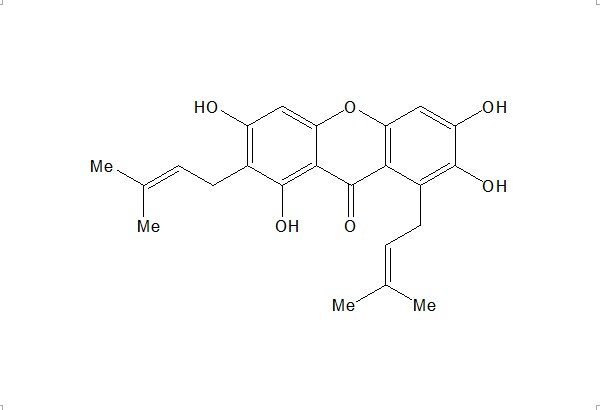
【Product Name】 Mangostin, γ-
【CAS Number】 31271-07-5
【Synonyms】 γ-Mangostin; Normangostin
【中文名称】 γ-倒捻子素
【Chemical Name】 9H-Xanthen-9-one, 1,3,6,7-tetrahydroxy-2,8-bis(3-methyl-2-buten-1-yl)-
【Chemical Formula】 C23H24O6
【Molecular Weight】 396.44
【Chemotaxonomic Group】 呫吨酮类 Xanthones

相关标准品-对照品列表:
| HZ21509-500ml | Walpole乙酸缓冲液(0.01mol/L,pH3.373-6.777) | \N | \N | 500ml | 100.00 | |
| HZ21510-500ml | Walpole乙酸缓冲液(0.2mol/L,pH2.696-6.518) | \N | \N | 500ml | 110.00 | |
| HZ21511-100ml | 咪唑溶液(1mol/L) | \N | \N | 100ml | 70.00 | |
| HZ21512-100ml | 牛血清白蛋白溶液(1% HZSA) | \N | \N | 100ml | 50.00 | |
| HZ21513-100ml | 牛血清白蛋白溶液(5% HZSA) | \N | \N | 100ml | 80.00 | |
| HZ21514-100ml | 牛血清白蛋白溶液(10% HZSA) | \N | \N | 100ml | 110.00 | |
| HZ21515-100ml | 甲醛缓冲吸收液(100×) | \N | \N | 100ml | 110.00 | |
| HZ21515-500ml | 甲醛缓冲吸收液(100×) | \N | \N | 500ml | 420.00 | |
| HZ21517-500ml | EDTA洗液(10%) | \N | \N | 500ml | 90.00 | |
| HZ21518-500ml | 草酸洗液(10%) | \N | \N | 500ml | 60.00 |
风险提示:丁香通仅作为第三方平台,为商家信息发布提供平台空间。用户咨询产品时请注意保护个人信息及财产安全,合理判断,谨慎选购商品,商家和用户对交易行为负责。对于医疗器械类产品,请先查证核实企业经营资质和医疗器械产品注册证情况。
文献和实验动物种 血沉1小时 (毫米) 血清蛋白量 白蛋白 (%) α蛋白 (%) β蛋白 (%) γ蛋白 (%) 寿命 (年) 小鼠
4.8-5.2 4.7-5.0 4.0-4.1 4.5 5.8-6.0 3.83-4.41 1.8-2.7 5.5 3.2-3.3 11.0-11.2 6.99 7.07 7.23 6.92 4.6-6.4 5.6 4.3-4.5 4.6-6.2
第 3 章)。 ( 3 ) 转化植物的再生与选择参见本卷其他部分的描述( 见第 5~11 章)。 ( 4 ) 转基因植物的分子鉴定(见第 13、第 14 章) ( 见第四篇 “转基因植株的鉴定” )。 2. 2 病毒诱导的基因沉默(VIGS ) 2.2.1 BSMV 衍生载体的构建 ( 1 ) 在大麦和小麦中进行基因沉默所使用的 VIGS 载体是基于 γRNA 的 BSMV 载体 [ 37 ] ( 见注 2 和图 12.2)。 ( 2 ) 扩增 300~600
技术资料暂无技术资料 索取技术资料










